(2016年3月17日交通运输部令第19号公布 自2016年4月17日起施行)
A分部 总 则
第25.1条 适用范围
(a) 本规定是用于颁发和更改运输类飞机型号合格证的适航标准。
(b) 根据中国民用航空规章的规定申请或更改运输类飞机型号合格证的申请人,必须表明符合本规定中适用的要求。
第25.2条 [备用]
第25.3条 ETOPS型号设计批准的专用条款
(a) 适用性:本条适用于对以下飞机进行ETOPS型号设计批准的申请人
(1) 于2016年4月17日已具有型号合格证的;或
(2) 于2016年4月17日之前已递交初始型号合格证申请的。
(b) 双发飞机
(1) 对于不超过180分钟ETOPS型号设计批准的飞机,申请人必须符合第25.1535条,除了无需符合本规章附录K,K25.1.4下列条款以外:
(i) K25.1.4(a),燃油系统压力和流量要求;
(ii) K25.1.4(a)(3),低燃油量警告,和
(iii) K25.1.4(c),发动机滑油箱设计。
(2) 对于超过180分钟ETOPS型号设计批准飞机的申请人必须符合第25.1535条。
(c) 多于两台发动机的飞机。对于2015年2月17日或以后生产的飞机,其ETOPS型号设计批准的申请人必须符合第25.1535条,除非该飞机的配置为三人机组,则申请人无需符合本部附录K的K25.1.4(a)(3)条关于低燃油量告警的要求。
〔交通运输部2016年3月17日第四次修订〕
B分部 飞 行
总则
第25.21条 证明符合性的若干规定
(a) 本分部的每项要求,在申请审定的载重状态范围内,对重量和重心的每种相应组合,均必须得到满足,证实时必须按下列规定:
(1) 用申请合格审定的该型号飞机进行试验,或根据试验结果进行与试验同样准确的计算;
(2) 如果由所检查的各种组合不能合理地推断其符合性,则应对重量与重心的每种预期的组合进行系统的检查。
(b) [备用]
(c) 飞机的操纵性、稳定性、配平和失速特性,必须在直到预期最大使用高度的每一高度予以证实。
(d) 飞行试验中的关键参数,诸如重量、装载(重心和惯量)、空速、功率和风等,在飞行试验期间必须保持在相应关键值的可接受允差内。
(e) 如果依靠增稳系统或其它自动系统或动力作动系统才能满足飞行特性要求时,则必须表明符合25.671条和25.672条。
(f) 在满足25.105(d) 条、25.125条、25.233条和25.237条的要求时,必须在离地面10米高度处测量风速,或按测量风速的高度和10米高度之差进行修正。
(g) 本分部关于结冰条件的要求仅适用于进行结冰条件下飞行的合格审定申请人。
(1) 除25.121(a),25.123(c),25.143(b)(1)以及(b)(2),25.149,25.201(c)(2),25.207(c)以及(d),25.239和25.251(b)到(e)条款之外,在结冰条件下必须满足本分部的各项要求。必须按附录C定义的冰积聚条件表明符合性,并假设飞机及其防冰系统按照申请人制定的并在飞机飞行手册中给出的飞机使用限制和操作程序正常操作。
(2) 在结冰或冰积聚条件下飞行时,第25.23条中规定的载荷分布限制、第25.25条规定的重量限制(受本分部性能要求限制的除外)、第25.27条规定的重心限制与非结冰条件下的限制相比不得改变。
〔交通运输部2016年3月17日第四次修订〕
第25.23条 载重分布限制
(a) 必须制定飞机可以安全运行的重量和重心范围。如果某一重量与重心的组合仅允许落在某种载重分布限制(例如展向分布)内,而该限制又可能无意中被超过,则必须制定这些限制和相应的重量与重心组合。
(b) 载重分布限制不得超过:
(1) 选定的限制;
(2) 证明结构符合要求所使用的限制;
(3) 表明符合本分部每项适用的飞行要求的限制。
第25.25条 重量限制
(a) 最大重量 必须制定对应于飞机运行状态(例如在机坪、地面或水面滑行、起飞、航路和着陆时)、环境条件(例如高度和温度)及载重状态(例如无油重量、重心位置和重量分布)的最大重量,使之不超过:
(1) 申请人针对该特定条件选定的最重的重量;
(2) 表明符合每项适用的结构载荷要求和飞行要求的最重的重量。装有助推火箭发动机的飞机除外,这类飞机的最大重量不得超过按本部附录E规定的最重的重量。
(3) 表明符合中国民用航空局有关噪声审定的最重的重量。
(b) 最小重量 必须制定最小重量(表明符合本部每项适用的要求的最轻重量),使之不低于:
(1) 申请人针对该特定条件选定的最轻的重量;
(2) 设计最小重量(表明符合本部每项结构载荷情况的最轻重量);
(3) 表明符合每项适用的飞行要求的最轻的重量。
〔中国民用航空总局1990年7月18日第一次修订〕
第25.27条 重心限制
必须按每种实际可区分的运行状态制定重心前限和重心后限。这些限制不得超过:
(a) 申请人选定的极限;
(b) 证明结构符合要求所使用的极限;
(c) 表明符合每项适用的飞行要求的极限。
第25.29条 空重和相应的重心
(a) 空重与相应的重心必须用飞机称重的方法确定。称重时飞机上装有:
(1) 固定配重;
(2) 按25.959条确定的不可用燃油;
(3) 全部工作流体,包括:
(i) 滑油;
(ii) 液压油;
(iii) 机上系统正常工作所需的其它流体,但饮用水、厕所预注水和发动机用的喷液除外。
(b) 确定空重时的飞机状态必须是明确定义的并易于再现。
第25.31条 可卸配重
在表明符合本分部的飞行要求时,可采用可卸配重。
第25.33条 螺旋桨转速和桨距限制
(a) 必须对螺旋桨转速和桨距值加以限制,以确保:
(1) 在正常工作状态下安全运行;
(2) 符合25.101条到第25.125条中的性能要求。
(b) 调速器必须有螺旋桨转速限制装置。它必须限制所调发动机的最大可能转速,使之不超过最大允许转速。
(c) 必须调整桨叶低距限位器装置,使发动机在下列条件下不超过其最大允许转速的103%或经批准的最大超转的99%,两者中取大者:
(1) 螺旋桨桨叶在低距限制位置,调速器不工作;
(2) 标准大气,飞机静止,无风;
(3) 对活塞式发动机飞机,发动机在起飞进气压力限制下工作;对涡桨发动机飞机,发动机在最大起飞扭矩限制下工作。
〔中国民用航空总局1995年12月18日第二次修订〕
性能
第25.101条 总则
(a) 除非另有规定,飞机必须按周围大气条件和静止空气满足本分部适用的性能要求。
(b) 受发动机功率(推力)影响的性能必须基于下述相对湿度。
(1) 对于涡轮发动机飞机:
(i) 在等于和低于标准温度时,相对湿度为80%;
(ii) 在等于和高于标准温度加28℃(50℉)时,相对湿度为34%。在这两种温度之间,相对湿度按线性变化。
(2) 对于活塞发动机飞机,标准大气下相对湿度为80%。发动机功率的蒸气压力修正按下表:


(c) 性能必须对应于在特定周围大气条件、特定飞行状态和本条(b)规定的相对湿度下的可用推进力。该可用推进力必须与不超过批准的功率(推力)扣除下列损失后的发动机功率(推力)相对应:
(1) 安装损失;
(2) 特定周围大气条件和特定飞行状态下由附件及辅助装置所吸收的功率或当量推力。
(d) 除非另有规定,申请人必须选择飞机的起飞、航路、进场和着陆形态。
(e) 飞机形态可随重量、高度和温度变化,使之适合本条(f)要求的操作程序。
(f) 除非另有规定,在确定加速-停止距离、起飞飞行航迹、起飞距离和着陆距离时,改变飞机的形态、速度、功率(推力),必须按照申请人为使用操作所制定的程序进行。
(g) 必须制定与第25.119条和第25.121(d)条中规定的条件相应的执行中断着陆和中断进场的程序。
(h) 按本条(f)和(g)所制定的程序必须:
(1) 在飞机服役中能够由具有中等技巧的机组一贯正确的执行;
(2) 采用安全可靠的方法或装置;
(3) 计及在服役中执行这些程序时可合理预期的时间滞后。
(i) 第25.109条和第25.125条所规定的加速-停止距离和着陆距离必须在飞机全部的机轮刹车装置处于它们所允许磨损范围的完全磨损极限状态下确定。
〔中国民用航空总局2001年5月14日第三次修订〕
第25.103条 失速速度
(a) 基准失速速度VSR是申请人确定的校正空速。VSR不得小于1-g失速速度。VSR可表述为:
式中:
=在本条(c)所述的机动过程中当载荷系数-修正升力系数
第一次最大时获得的校正空速。此外,当该机动受在选定迎角突然将机头下推的装置(例如,推杆器)限制时,
不得小于该装置作动那一瞬间存在的速度。
nZW =
在处垂直于飞行航迹的载荷系数
W 飞机总重量;
S 机翼气动参考面积;
q 动压。
(b)
由如下方法确定:
(1) 发动机慢车,或者如果产生的推力导致失速速度明显下降,在此失速速度时不超过零推力;
(2) 螺旋桨桨距操纵装置(如适用)在起飞位置;
(3) 该飞机在其它方面(例如襟翼、起落架和冰积聚)处于使用VSR的试验或性能标准所具有的状态;
(4) 使用将VSR作为确定对要求的性能标准符合性因素时的重量;
(5) 导致基准失速速度值最大的重心位置;和
(6) 按在申请人选定的速度作直线飞行来配平飞机,此速度应不小于1.13VSR且不大于1.3VSR。
(c) 从稳定的配平状态开始,使用纵向操纵减速飞机,使速度降低不超过每秒1节。
(d) 除本条(a)要求之外,当安装有在选定迎角下突然将机头下推的装置(例如,推杆器)时,基准失速速度VSR超过该装置作动时的速度应不小于2节或者2%(取大者)。
〔交通运输部2016年3月17日第四次修订〕
第25.105条 起飞
(a) 第25.107条规定的起飞速度,25.109条规定的加速停止距离,25.111条规定的起飞航迹,25.113条规定的起飞距离和起飞滑跑距离以及25.115条规定的净起飞飞行航迹,必须在由申请人选定的运行限制范围内的每一起飞重量、高度和周围温度条件下选定的起飞构型按以下列条件确定:
(1) 在非结冰条件下,和
(2) 在结冰条件下,如果25.121(b)条规定的起飞形态下,带有附录C中定义的起飞冰积聚:
(i) 最大起飞重量下的失速速度超过非结冰条件下3节校正空速或3%VSR的较大者;或
(ii) 25.121(b)规定的爬升梯度的降低超过25.115(b)所规定的适用实际与净起飞飞行航迹梯度减量的一半;
(b) 为确定本条所需数据而用的起飞,不得要求特殊的驾驶技巧或机敏。
(c) 起飞数据必须基于下列条件:
(1) 对于陆上飞机和水陆两用飞机;
(i) 平整、干和湿的并有硬质道面的跑道;和
(ii) 申请人如有选择时,带沟槽,或多孔摩擦的湿硬质道面的跑道;
(2) 对于水上飞机和水陆两用飞机,平静的水面;
(3) 对于滑橇式飞机,平整、干燥的雪地。
(d) 在所制定的该飞机使用限制范围内,起飞数据必须计及下列项目的使用修正因素:
(1) 沿起飞航迹不大于名义风逆风分量的50%,和沿起飞航迹不小于名义风顺风分量的150%;
(2) 跑道有效坡度。
〔中国民用航空总局2001年5月14日第三次修订,交通运输部2016年3月17日第四次修订〕
第25.107条 起飞速度
(a) V1必须根据VEF制定如下:
(1)VEF是假定临界发动机失效时的校正空速。VEF必须由申请人选定,但不得小于按第25.149(e)条确定的VMCG;
(2) V1是申请人选定的起飞决断速度,以校正空速表示。但V1不得小于VEF加上在下述时间间隔内临界发动机不工作该飞机的速度增量,此时间间隔指从临界发动机失效瞬间至驾驶员意识到该发动机失效并作出反应的瞬间,后一瞬间以驾驶员在加速—停止试验中采取最初的减速措施(例如,施加刹车,减少推力,打开减速装置)为准。
(b) V2MIN,以校正空速表示,不得小于:
(1) 1.13VSR,用于:
(i) 双发和三发涡轮螺旋桨和活塞发动机飞机;
(ii) 无措施使一台发动机不工作带动力失速速度显著降低的涡轮喷气飞机;
(2) 1.08 VSR,用于:
(i) 三发以上的涡轮螺旋桨和活塞式发动机飞机;
(ii) 有措施使一台发动机不工作带动力失速速度显著降低的涡轮喷气飞机;
(3) 1.10VMCA,VMCA按第25.149条确定。
(c) V2,以校正空速表示,必须由申请人选定,以提供至少为第25.121(b)条所要求的爬升梯度。但V2不得小于:
(1) V2MIN
(2) VR加上在达到高于起飞表面10.7米(35英尺)高度时所获得的速度增量(按照第25.111(c)(2)条);和
(3) 提供25.143(h)规定的机动能力的速度。
(d) VMU,为校正空速,在等于和高于该速度时,飞机可以安全离地并继续起飞。VMU速度必须在申请审定的整个推重比范围内由申请人选定。这些速度可根据自由大气数据制定,条件是这些数据为地面起飞试验所证实。
(e) VR,以校正空速表示,必须按照本条(e)(1)至(4)的条件选定:
(1) VR不得小于下列任一速度:
(i) V1;
(ii) 105%VMCA;
(iii) 使飞机在高于起飞表面10.7米(35英尺)以前速度能达到V2的某一速度(按第25.111(c)(2)条确定);
(iv) 某一速度,如果飞机在该速度以实际可行的最大抬头率抬头,得到的VLOF将不小于全发工作VMU的110%,且不小于按单发停车推重比确定的VMU的105%;
(2) 对于任何一组给定的条件(例如重量、形态和温度),必须用根据本款确定的同一个VR值来表明符合单发停车和全发工作两种起飞规定;
(3) 必须表明,当采用比按本条(e)(1)和(2)制定的VR低5节的抬头速度时,单发停车起飞距离不超过与采用所制定的VR对应的单发停车起飞距离。起飞距离必须按第25.113(a)(1)条确定;
(4) 服役中可合理预期的对于所制定飞机起飞操作程序的偏差(如飞机抬头过度及失配平状况),不得造成不安全的飞行特性,或使按第25.113(a)条制定的预定起飞距离显著增加。
(f) VLOF,为飞机开始腾空时的校正空速。
(g) VFTO,以校正空速表示,必须由申请人选定用来提供至少25.121(c)要求的爬升梯度,但不得小于:
(1) 1.18VSR;和
(2) 提供25.143(h)规定的机动能力的速度。
(h) 在确定结冰条件下的起飞速度V1,VR和V2时,可采用非结冰条件下的VMCG,VMC和VMU。
〔中国民用航空总局2001年5月14日第三次修订,交通运输部2016年3月17日第四次修订〕
第25.109条 加速—停止距离
(a) 干跑道上的加速—停止距离是下述两种距离中的大者:
(1) 完成下述过程所需距离之和:
(i) 全发工作情况下,飞机从滑跑始点加速到VEF;
(ii) 假定临界发动机在VEF失效和驾驶员在V1采取中止起飞的第一个减速措施,允许飞机从VEF加速到中止起飞期间所达到的最大速度;和
(iii) 从本条(a)(1)(ii)规定达到的速度到完全停止;加上
(iv) 相当于以V1滑跑2秒钟的距离。
(2) 完成下列过程所需距离之和:
(i) 全发工作情况下,假定驾驶员在V1采取中止起飞的第一个减速措施,飞机从滑跑始点加速至中止起飞期间的最大速度;和
(ii) 全发仍工作情况下,从本条(a)(2)(i)规定达到的速度到完全停止;加上
(iii) 相当于以V1滑跑2秒钟的距离。
(b) 湿跑道上的加速-停止距离是下述两种距离中的大者:
(1) 按照本条(a)款在干跑道上确定的加速—停止距离;或
(2) 在湿跑道上,采用湿跑道的VEF和V1,按照本条(a)款确定的加速—停止距离。在确定湿跑道上的加速—停止距离时,机轮刹车的停止力不得超过:
(i) 满足第25.101(i)条款和本条(a)款要求所确定的机轮刹车的停止力;和
(ii) 按照本条(c)、(d)款基于湿跑道刹车摩擦系数确定的力,如适用,尚须考虑所批准的起飞状态下最不利重心位置刹车机轮与非刹车机轮间的正常载荷分布。
(c) 平整湿跑道上的湿跑道刹车摩擦系数定义为地速的函数,并且必须计算如下:
(1) 湿跑道轮胎—地面最大刹车摩擦系数定义为:
其中,
轮胎压强:飞机使用最大轮胎压强(psi);
μt/gMAX:轮胎—地面最大刹车系数;
V:飞机真地速(节);和
其它未列轮胎压强可线性内插。
(2)湿跑道轮胎—地面最大刹车摩擦系数必须考虑湿跑道上防滑系统的效率加以调整。必须在平整湿跑道上进行飞行试验演示防滑系统的工作,并且必须确定它的效率。除非用来自平整湿跑道上飞行试验的定量分析确定特定防滑系统的效率,本条(c)(1)确定的湿跑道轮胎—地面最大刹车摩擦系数必须乘以与飞机所安装防滑系统类型相关的效率值:
(d) 如果申请人选择带沟槽,或用多孔摩擦材料处理的跑道道面时,可使用较高的湿跑道刹车摩擦系数。对于带沟槽和多孔摩擦跑道,湿跑道刹车摩擦系数定义可为下列两者中的任何一个:
(1) 用于确定干跑道加速—停止距离的干跑道刹车摩擦系数的70%;或
(2) 除了特定防滑系统的效率已被确定之外,本条(c)款所定义的湿跑道刹车系数对于带沟槽,或多孔摩擦湿跑道仍是适当的,但其中湿跑道轮胎—地面最大刹车摩擦系数定义为:
其中,
轮胎压强:飞机使用最大轮胎压强(psi);
μt/gMAX:轮胎—地面最大刹车系数;
V:飞机真地速(节);和
其它未列轮胎压强可线性内插。
(e) 除了本条(f)(1)的规定外,可使用机轮刹车以外的措施来确定加速—停止距离,条件是这些措施:
(1) 安全可靠;
(2) 在正常运行条件下使用时可望获得一贯的效果;
(3) 对操纵飞机不需要特殊技巧。
(f) 反向推力影响:
(1) 当确定干跑道的加速—停止距离时,不应被作为附加的减速措施;和
(2) 当确定湿跑道的加速—停止距离时,在满足本条(e)款规定的要求条件下,使用推荐的反向推力程序,可以作为附加减速措施。
(g) 在加速—停止的全过程中必须保持起落架在放下位置。
(h) 如果加速—停止距离中含有道面特性与平整且有硬质道面的跑道有实质性差别的安全道,其起飞数据必须考虑对于加速—停止距离的使用修正因素。该修正因素必须计及安全道的特定道面特性和这些特性在所制定的使用限制范围内随季节气候条件(例如温度、雨、雪和冰)的变化。
(i) 最大刹车动能加速—停止距离的飞行试验演示必须在飞机的每一个机轮刹车剩余不大于所允许的刹车摩损范围的10%状态下实施。
〔中国民用航空总局2001年5月14日第三次修订〕
第25.111条 起飞航迹
(a) 起飞航迹从静止点起延伸至下列两点中较高者:飞机起飞过程中高于起飞表面450米(1,500英尺),或完成从起飞到航路形态的转变并达到VFTO的一点。此外:
(1) 起飞航迹必须基于第25.101(f)条规定的程序;
(2) 飞机必须在地面加速到VEF,临界发动机必须在该点停车,并在起飞的其余过程中保持停车;
(3) 在达到VEF后,飞机必须加速到V2。
(b) 在加速到V2过程中,前轮可在不小于VR的速度抬起离地。但在飞机腾空之前,不得开始收起落架。
(c) 在按本条(a)和(b)确定起飞航迹的过程中:
(1) 起飞航迹空中部分的斜率在每一点上都必须是正的;
(2) 飞机在达到高于起飞表面10.7米(35英尺)前必须达到V2,并且必须以尽可能接近但不小于V2的速度继续起飞,直到飞机高于起飞表面120米(400英尺)为止;
(3) 从飞机高于起飞表面120米(400英尺)的一点开始,沿起飞航迹每一点的可用爬升梯度不得小于:
(i) l.2%,对于双发飞机;
(ii) 1.5%,对于三发飞机;
(ili) 1.7%,对于四发飞机。
(4) 直到飞机高于起飞表面120米(400英尺)为止,除收起落架和螺旋桨自动顺桨外,不得改变飞机的形态,而且驾驶员不得采取动作改变功率或推力。
(5) 如果25.105(a)(2)要求确定结冰条件下的起飞航迹,起飞的空中段必须基于飞机阻力:
(i) 在附录C中规定的冰积聚条件下,从超过起飞表面10.7米(35英尺)的高度到飞机高于起飞表面120米(400英尺)的点;和
(ii) 在附录C中规定的起飞最后阶段冰积聚条件下,从飞机高于起飞表面120米(400英尺)直到起飞航迹末端。
(d) 起飞航迹必须由连续的演示起飞或分段综合法来确定。如果起飞航迹由分段法确定,则:
(1) 分段必须明确定义,而且必须在形态、功率(推力)以及速度方面有清晰可辨的变化;
(2) 飞机的重量、形态、功率(推力)在每一分段内必须保持不变,而且必须相应于该分段内主要的最临界的状态;
(3) 飞行航迹必须基于无地面效应的飞机性能;
(4) 起飞航迹数据必须用若干次连续的演示起飞(直到飞机脱离地面效应而且其速度达到稳定的一点)来校核,以确保分段综合航迹相对于连续航迹是保守的。当飞机达到等于其翼展的高度时,即认为脱离地面效应。
(e) 对于装有助推火箭发动机的飞机,起飞航迹可按附录E的第II条确定。
〔交通运输部2016年3月17日第四次修订〕
第25.113条 起飞距离和起飞滑跑距离
(a) 干跑道的起飞距离是下述距离中的大者:
(1) 沿着按第25.111条确定的起飞航迹,从起飞始点到飞机高于起飞表面10.7米(35英尺)一点所经过的水平距离;
(2) 全发工作,沿着由其余与第25.111条一致的程序确定的起飞航迹,从起飞始点到飞机高于起飞表面10.7米(35英尺)的一点所经过水平距离的115%。
(b) 湿跑道的起飞距离是下述距离中的大者:
(1) 按照本条(a)款确定的干跑道起飞距离;或
(2) 沿着按第25.111条确定的湿跑道起飞航迹从起飞始点到飞机高于起飞表面4.6米(15英尺)的一点所经过的水平距离,以完成距起飞表面10.7米(35英尺)之前达到V2一致的方法。
(c) 对于起飞距离不包含净空道情况,起飞滑跑距离等于起飞距离。对于起飞距离含有净空道情况:
(1) 干跑道的起飞滑跑距离是下述距离中的大者:
(i) 沿着按第25.111条确定的起飞航迹,从起飞始点到下列两点的中点所经过的水平距离,在一点速度达到VLOF,在另一点飞机高于起飞表面10.7米(35英尺)。
(ii) 全发工作,沿着由其余与第25.111条一致的程序确定的起飞航迹,从起飞始点到下列两点的中点所经过水平距离的115%,在一点速度达到VLOF,在另一点飞机高于起飞表面10.7米(35英尺)。
(2) 湿跑道的起飞滑跑距离是下述距离中的大者:
(i) 沿着按第25.111条确定的湿跑道起飞航迹从起飞始点到飞机距起飞表面4.6米(15英尺)的一点所经过的水平距离,以完成高于起飞表面10.7米(35英尺)之前达到V2一致的方法;或
(ii) 全发工作,沿着由其余与按第25.111条一致的程序确定的起飞航迹,从起飞始点到下列两点的中点所经过水平距离的115%,在一点速度达到VLOF,在另一点飞机高于起飞表面10.7米(35英尺)。
〔中国民用航空总局2001年5月14日第三次修订〕
第25.115条 起飞飞行航迹
(a) 起飞飞行航迹,依据适当的道面情况,从按第25.113(a)或(b)条确定的起飞距离末端处高于起飞表面10.7米(35英尺)的一点计起。
(b) 净起飞飞行航迹数据必须为真实起飞飞行航迹(按第25.111条及本条(a)确定)在每一点减去下列数值的爬升梯度。
(1) 0.8%,对于双发飞机;
(2) 0.9%,对于三发飞机;
(3) 1.0%,对于四发飞机。
(c) 沿起飞飞行航迹飞机水平加速部分的加速度减少量,可使用上述规定的爬升梯度减量的当量值。
〔中国民用航空总局2001年5月14日第三次修订〕
第25.117条 爬升:总则
必须在为飞机制定的使用限制范围内的每一重量、高度和周围温度,并在每种飞机形态的最不利重心位置表明符合第25.119条和第25.121条的要求。
第25.119条 着陆爬升:全发工作
当发动机功率(推力)是将油门操纵杆从最小飞行慢车位置开始移向复飞设置位置后8秒钟时的可用功率(推力),着陆形态的定常爬升梯度不得小于3.2%:
(a) 在非结冰条件下,爬升速度VREF由25.125(b)(2)(i)确定;
(b) 在结冰条件下,带有附录C定义的着陆冰积聚,爬升速度VREF由25.125(b)(2)(ii)确定。
〔中国民用航空总局2001年5月14日第三次修订,交通运输部2016年3月17日第四次修订〕
第25.121条 爬升:单发停车
(a) 起落架在放下位置的起飞 在下列条件下,以沿飞行航迹(在飞机达到VLOF和起落架完全收起两点之间)的临界起飞形态,和以第25.111条中所采用的形态(无地面效应),在速度VLOF的定常爬升梯度,对于双发飞机必须是正的,对于三发飞机不得小于0.3%,对于四发飞机不得小于0.5%:
(1) 临界发动机停车,而其余发动机(除非随后沿飞行航迹在起落架完全收起之前,存在更临界的动力装置运转状态)处于按第25.111条开始收起落架时的可用功率(推力)状态;
(2) 重量等于按第25.111条确定的开始收起落架时的重量。
(b) 起落架在收起位置的起飞 在下列条件下,以飞行航迹上起落架完全收起点的起飞形态,和以第25.111条中所采用的形态(无地面效应):
(1) 在速度V2的定常爬升梯度,对于双发飞机不得小于2.4%,对于三发飞机不得小2.7%,对于四发飞机不得小于3.0%:
(i) 临界发动机停车,而其余发动机(除非随后沿飞行航迹在飞机达到高于起飞表面120米(400英尺)高度之前,存在更临界的动力装置运转状态)处于按第25.111条确定的起落架完全收起时的可用起飞功率(推力)状态;
(ii) 重量等于按第25.111条确定的起落架完全收起时的重量。
(2) 本条(b)(1)要求如下:
(i) 在非结冰条件下;
(ii) 在结冰条件下,如果25.121(b)规定的起飞形态下,带有附录C中定义的起飞冰积聚:
(A) 最大起飞重量下的失速速度超过非结冰条件下3节校正空速或3%VSR的较大者;或
(B) 25.121(b)规定的爬升梯度的降低超过25.115(b)所规定的适用实际与净起飞飞行航迹梯度减量的一半。
(c) 起飞最后阶段 在下列条件下,以按第25.111条确定的起飞航迹末端的航路形态:
(1) 在VFTO的定常爬升梯度,对于双发飞机不得小于1.2%,对于三发飞机不得小于1.5%,对于四发飞机不得小于1.7%:
(i) 临界发动机停车,其余发动机处于可用的最大连续功率(推力)状态;
(ii) 重量等于按第25.111条确定的起飞航迹末端的重量。
(2) 本条(c)(1)要求如下:
(i) 在非结冰条件下;
(ii) 在结冰条件下,如果25.121(b)条规定的起飞形态下,带有附录C中定义的起飞最后阶段冰积聚:
(A) 最大起飞重量下的失速速度超过非结冰条件下3节校正空速或3%VSR的较大者;或
(B) 25.121(b)规定的爬升梯度的降低超过25.115(b)所规定的适用实际与净起飞飞行航迹梯度减量的一半。
(d) 进场 在下列条件下,以相应于正常全发工作操作程序的进场形态,此形态的VSR不超过对应着陆形态VSR的110%:
(1) 定常爬升梯度,对于双发飞机不得小于2.1%,对于三发飞机不得小于2.4%,对于四发飞机不得小于2.7%:
(i) 临界发动机停车,其余发动机处于复飞设置可用功率(推力)状态;
(ii) 最大着陆重量;
(iii) 按正常着陆程序制定的爬升速度,但不大于1.4VSR;
(iv) 起落架收起。
(2) 本条(d)(1)段要求如下:
(i) 在非结冰条件下;
(ii) 在结冰条件下,如果带有附录C定义的进场冰积聚,按照本条(d)(1)(iii)中计算出的结冰条件下的爬升速度不超过非结冰条件下的爬升速度3节校正空速或3%的较大者,则可以采用非结冰条件下的爬升速度。
〔中国民用航空总局2001年5月14日第三次修订,交通运输部2016年3月17日第四次修订〕
第25.123条 航路飞行航迹
(a) 对于航路形态,必须在为该飞机制定的使用限制范围内的每一重量、高度和周围温度下确定本条(b)及(c)规定的飞行航迹。在计算中可计及由于发动机工作逐渐消耗燃油和滑油而造成的沿飞行航迹的重量变化。必须按下列条件以不小于VFTO的速度确定飞行航迹:
(1) 重心在最不利位置;
(2) 临界发动机不工作;
(3) 其余发动机处于可用的最大连续功率(推力)状态;
(4) 发动机冷却空气供应的控制装置处于在热天条件下提供足够冷却的位置。
(b) 单发停车净飞行航迹数据必须为真实爬升性能数据减去一定数值的爬升梯度,所减去的爬升梯度,对于双发飞机为1.1%,对于三发飞机为1.4%,对于四发飞机为1.6%:
(1) 在非结冰条件下;
(2) 在结冰条件下,带有附录C定义的飞行途中冰积聚,如果:
(i) 航路上结冰条件下1.18VSRO超过非结冰条件下航路速度3节校正空速或3%的VSR较大者,或者;
(ii) 爬升梯度的降低超过本条(b)部分中所规定的可用净起飞飞行航迹减量的一半。
(c) 对于三发或四发飞机,双发停车净飞行航迹数据必须为真实爬升性能数据减去一定数值的爬升梯度,所减去的爬升梯度,对于三发飞机为0.3% ,对于四发飞机为0.5%。
〔交通运输部2016年3月17日第四次修订〕
第25.125条 着陆
(a) 必须按下列条件确定(按标准温度,在申请人为该飞机制定的飞机使用范围内每一重量、高度和风的条件下)从高于着陆表面15米(50英尺)到飞机着陆至完全停止(对于着水,为3节左右速度)所需的水平距离:
(1) 在非结冰条件下;
(2) 在结冰条件下,带有附录C定义的着陆冰积聚,如果结冰条件下的VREF超过非结冰条件下的最大着陆重量所对应的VREF5节以上,
(b) 确定本条(a)的距离时:
(1) 飞机必须处于着陆形态;
(2) 以不小于VREF的校正空速稳定进场到15米(50英尺)的高度。
(i) 在非结冰条件下,VREF不得小于:
(A) 1.23 VSRO;
(B) 按25.149(f)确定VMCL;
(C) 提供25.143(h)规定的机动能力的速度;
(ii) 在结冰条件下,VREF不得少于:
(A) 本条(b)(2)(i)所规定的速度;
(B) 在附录C所规定的着陆冰积聚条件下,如果1.23VSR0大于非结冰条件下的VREF5节以上则取1.23VSR0;和
(C) 在附录C所规定的着陆冰积聚条件下,能保证25.143(h)规定的机动能力的速度。
(3) 必须按照所制定的使用操作程序改变形态,功率(推力)和速度;
(4) 着陆时应避免过大的垂直加速度,无弹跳、前翻、地面打转、海豚运动和水面打转的趋势;
(5) 着陆时不得要求特殊的驾驶技巧或机敏;
(c) 陆上飞机和水陆两用飞机的着陆距离必须在水平、平整、干燥、并有硬质道面的跑道上确定。而且:
(1) 机轮刹车系统的压力不得超过刹车装置制造商所规定的值;
(2) 不得以造成刹车或轮胎过度磨损的方式使用刹车;和
(3) 可以使用除机轮刹车以外符合下列条件的其他方式:
(i) 安全和可靠;
(ii) 使用时能在服役中获得始终一致的效果;和
(iii) 操纵飞机不需要特殊的技巧。
(d) 水上飞机和水陆两用飞机的着水距离应在平静的水面上确定;
(e) 滑橇式飞机的雪上着陆距离必须在平整、干燥的雪地上确定;
(f) 着陆距离数据必须按照沿着陆航迹不大于逆风分量的50%,和沿着陆航迹不小于顺风分量的150%进行修正;
(g) 如果采用了必须依靠某一台发动机的运转方能工作的装置,并且在该发动机停车时进行着陆会显著增加着陆距离,则必须按照该发动机停车状态来确定着陆距离,但在采用了补偿手段使此时的着陆距离仍不大于全发工作时着陆距离的情况除外。
〔中国民用航空总局1995年12月18日第二次修订,2001年5月14日第三次修订,交通运输部2016年3月17日第四次修订〕
操纵性和机动性
第25.143条 总则
(a) 在下述过程中,飞机必须可以安全地操纵并可以安全地进行机动:
(1) 起飞;
(2) 爬升;
(3) 平飞;
(4) 下降;
(5) 着陆。
(b) 必须能从一种飞行状态平稳地过渡到任何其它飞行状态,而不需要特殊的驾驶技巧、机敏或体力,并且在任何可能的使用条件下没有超过飞机限制载荷系数的危险,这些使用条件包括:
(1) 临界发动机突然失效;
(2) 对于三发或三发以上的飞机,当飞机处于航路、进场或着陆形态,临界发动机停车并已配平时,第二台临界发动机突然失效;和
(3) 形态改变,包括打开或收起减速装置。
(c) 在附录C中规定的飞行各阶段的临界结冰条件下,必须表明飞机在下列条件下有足够的安全操纵性能和机动能力,并且临界发动机不工作且其螺旋桨(如果适用)处于最小阻力位置:
(1) 起飞最小V2;
(2) 在进场和复飞过程中;和
(3) 进场和着陆过程中。
(d) 在本条(a)到(c)所需的试验中,对于常规盘式操纵,下表规定所允许的最大操纵力:
(e) 当演示本条(d)所规定短时操纵力限制的符合性时,必须遵循经批准的操作程序或常规的操作方法(包括在前一个定常飞行状态尽可能地接近配平,但起飞时飞机必须按经批准的操作程序配平)。
(f) 当演示本条(d)所规定持久操纵力限制的符合性时,飞机必须配平,或尽可能接近配平。
(g) 在恒定空速或马赫数(直至VFC/MFC)机动飞行时,杆力和杆力梯度相对于机动载荷系数必须处于满意的限制条件之内。飞机机动飞行时,杆力必须不得有过度的驾驶员体力要求,也不得太低致使飞机可能轻易无意地进入超应力状态。随载荷系数变化出现的梯度变化必须不得引起保持飞机操纵的过度困难,以及局部梯度不得太低导致过度操纵的危险。
(h) 前重心情况下恒速协调转弯时的机动性,如下表所示,不得出现失速警告或其它可能干扰正常机动的特性:
* 使得推力或功率设置产生在该飞行条件下第25.121条规定的最小爬升梯度的重量、高度和温度(WAT)的组合。
** 全发工作初始爬升中的批准空速。
*** 在临界发动机失效以及机组没有采取措施调整其余发动机推力或功率的情况下,该推力或功率设置可能导致为在V2时下起飞条件规定的推力或功率,或者被用于全发工作初始爬升程序的较小的推力或功率设置。
(i) 演示结冰条件下第25.143条的符合性时:
(1) 必须用附录C中规定的特定飞行阶段最临界的冰积聚演示可操纵性;
(2) 必须表明,在推杆使飞机低头到过载为零或由升降舵或飞控系统的其他设计特点限制所能产生的最小过载系数的全过程中需要一定的推杆力。必须表明能够用不超过23公斤(50磅)的拉力即可迅速从该机动中恢复过来;和
(3) 除非杆力的变化是逐渐的和易于控制的,并且不需要特别的技巧、机敏或体力,随着侧滑角不断增加,驾驶员通过俯仰操纵保持速度时杆力必须是稳定增加的,不出现杆力反逆现象。
(j) 在结冰条件下飞行时,在防冰系统开启并执行其预期功能之前,采用以下要求:
(1) 如果该防冰系统的开启取决于驾驶员看到参考表面上规定的冰积聚(并不是刚刚开始结冰),则第25.143条的要求适用于附录C第II部分(e)所定义的冰积聚;
(2) 如果用其他方式启动防冰系统,则必须用附录C第II部分(e)所规定的冰积聚在飞行中演示:
(i) 在直至1.5g过载系数的拉起机动中飞机是可操纵的;和
(ii) 在直至0.5g过载系数的推杆机动中不出现俯仰操纵力反逆。
〔中国民用航空总局2001年5月14日第三次修订,交通运输部2016年3月17日第四次修订〕
第25.145条 纵向操纵
(a) 在25.103(b)(6)条中规定的配平速度和失速标志(按第25.201(d)条所定义的)之间的任一速度下,必须有可能使机头下沉,以便很快加速到这一所选定的配平速度,飞机状态如下:
(1) 在第25.103(b)(6)条中规定的配平速度配平;
(2) 起落架在放下位置;
(3) 襟翼分别在:
(i) 收起位置;
(ii) 放下位置。
(4) 发动机分别处于:
(i) 无动力;
(ii) 最大连续功率(推力)状态。
(b) 起落架在放下位置,在下述机动中不需要改变配平操纵,并且不需要施加超过222牛(23公斤;50磅)的操纵力(即用一只手易于施加的最大短时作用力):
(1) 发动机无动力,襟翼在收起位置,飞机在1.3VSR1配平,尽快放下襟翼,同时,在整个机动过程中维持空速比每一瞬间具有的失速速度高30%左右;
(2) 重复(b)(1),但先放下襟翼然后尽快收起;
(3) 重复(b)(2),但发动机处于复飞设置功率(推力)状态;
(4) 发动机无动力,襟翼在收起位置,飞机在1.3VSR1配平,迅速施加复飞设置功率(推力),同时维持空速不变;
(5) 重复(b)(4),但襟翼在放下位置;
(6) 发动机无动力,襟翼在放下位置,飞机在1.3VSR1配平,获得并维持在VSW至1.6VSR1或VFE(取小者)之间的空速。
(c) 在空速为1.08VSR1(对于螺旋桨飞机)或1.13VSR1(对于涡轮喷气飞机)的定常直线水平飞行中,当增升装置从任一位置开始完全收起时,必须在下列条件下无需特殊的驾驶技巧就可能防止掉高度:
(1) 同时施加复飞设置功率(推力)状态;
(2) 起落架在放下位置;
(3) 着陆重量和高度的临界组合。
(d) 如果增升装置的操纵手柄位置是分挡限定的,本条(c)款的要求适用于从下列区间的任何位置验证收起增升装置:从最大着陆位置到第一限定位置,各限定位置之间以及从最后限定位置到完全收起位置。该要求也适用于从每一批准的着陆位置收起到复飞程序要求的增升装置构形的操纵位置。此外,从最大着陆位置算起的第一限定操纵手柄位置,必须对应于用以制定从着陆形态开始复飞程序的增升装置形态。操纵手柄的每一限定位置必须要用独立的和明显的动作才能通过,并且必须具有防止无意中移动操纵手柄通过限定位置的特性。操纵手柄的这种独立明显的运动必须在手柄到达分档限定位置时才能进行。
〔中国民用航空总局2001年5月14日第三次修订,交通运输部2016年3月17日第四次修订〕
第25.147条 航向和横向操纵
(a) 航向操纵:总则 必须能在机翼保持水平情况下,使飞机向工作发动机一侧偏航和向不工作的临界发动机一侧安全地作直到15°的合理的航向突然改变。这必须在下列条件下于1.3VSR1以直到15°的航向偏转量(但不必超过方向舵脚蹬力达667牛(68公斤;150磅)时的航向偏转量)来证实:
(1) 临界发动机停车,其螺旋桨在最小阻力位置;
(2) 发动机具有以1.3VSR1平飞所需的功率(推力),但不超过最大连续功率(推力);
(3) 重心在最不利的位置;
(4) 起落架在收起位置;
(5) 襟翼在进场位置;
(6) 最大着陆重量。
(b) 四发或四发以上飞机的航向操纵 四发或四发以上的飞机必须满足本条(a)的要求,不同之处是:
(1) 两台临界发动机停车,其螺旋桨(如果装有)处于最小阻力位置;
(2) [备用]
(3) 襟翼必须在最有利的爬升位置。
(c) 横向操纵:总则 必须在下列条件下能从速度等于1.3VSR1的定常飞行中,分别向停车发动机一侧和相反方向作20°坡度的转弯:
(1) 临界发动机停车,其螺旋桨(如果装有)处于最小阻力位置;
(2) 其余发动机处于最大连续功率(推力)状态;
(3) 重心在最不利的位置;
(4) 起落架分别在:
(i) 收起位置;
(ii) 放下位置;
(5) 襟翼在最有利的爬升位置;
(6) 最大起飞重量。
(d) 横向操纵:滚转能力 临界发动机不工作时滚转响应必须使飞机能作正常机动。在一发不工作时很有可能使用的速度下,必须有足够的横向操纵,以提供安全所需的滚转率,而不需要过度的操纵力或操纵行程。
(e) 四发或四发以上飞机的横向操纵 四发或四发以上的飞机必须能以最大连续功率(推力)以及本条(b)规定的飞机形态,从速度等于1.3VSR1的定常飞行中,分别向停车发动机一侧和相反方向作20°坡度的转弯。
(f) 全发工作的横向操纵 全发工作时滚转响应必须使飞机能作正常机动(例如从突风造成的颠倾中恢复和开始作规避机动)。在侧滑(直到正常运行中有可能需要的侧滑角为止)中必须有足够的横向操纵余量,以能作有限量的机动和突风修正。在直到VFC/MFC的任一速度下,必须有足够的横向操纵,以提供安全所需的滚转率峰值,而不需要过度的操纵力或操纵行程。
〔中国民用航空总局1995年12月18日第二次修订,交通运输部2016年3月17日第四次修订〕
第25.149条 最小操纵速度
(a) 在制定本条要求的最小操纵速度时,用以模拟临界发动机失效的方法,必须体现在服役中预期对操纵性最临界的动力装置失效模式。
(b) VMC,空中最小操纵速度 VMC是校正空速,在该速度,当临界发动机突然停车时,能在该发动机继续停车情况下保持对飞机的操纵,并维持坡度不大于5°的直线飞行。
(c) 在下列条件下,VMC不得超过1.13VSR:
(1) 发动机处于最大可用起飞功率(推力)状态;
(2) 重心在最不利的位置;
(3) 飞机按起飞状态配平;
(4) 海平面最大起飞重量(或验证VMC所需的任何较小的重量);
(5) 飞机处于腾空后沿飞行航迹最临界的起飞形态,但起落架在收起位置;
(6) 飞机已腾空,地面效应可忽略不计;
(7) 停车发动机的螺旋桨按适用情况处于下列状态之一:
(i) 风车状态;
(ii) 在对于该螺旋桨操纵装置的特定设计最可能的位置;
(iii) 如果飞机具有表明符合第25.121条的爬升要求时可接受的自动顺桨装置,则顺桨。
(d) 在速度VMC,为维持操纵所需的方向舵脚蹬力不得超过667牛(68公斤;150磅),也不得要求减少工作发动机的功率(推力),在纠偏过程中,为防止航向改变超过20°,飞机不得出现任何危险的姿态,或要求特殊的驾驶技巧、机敏或体力。
(e) VMCG,地面最小操纵速度 是起飞滑跑期间的校正空速,在该速度,当临界发动机突然停车时,能仅使用操纵力限制在667牛(68公斤;150磅)的方向舵操纵(不使用前轮转向)和使用机翼保持水平的横向操纵来保持对飞机的操纵,使得采用正常驾驶技巧就能安全地继续起飞。在确定VMCG时,假定全发工作时飞机加速的航迹沿着跑道中心线,从临界发动机停车点到航向完全恢复至平行于该中心线的一点的航迹上任何点偏离该中心线的横向距离不得大于9米(30英尺)。VMCG必须按下列条件制定:
(1) 飞机处于每一种起飞形态,或者按申请人的选择,处于最临界的起飞形态;
(2) 工作发动机处于最大可用起飞功率(推力)状态;
(3) 重心在最不利的位置;
(4) 飞机按起飞状态配平;
(5) 起飞重量范围内的最不利重量。
(f) VMCL,全发工作着陆进场期间的最小操纵速度 VMCL是校正空速,在此速度,当临界发动机突然停车时,能在该发动机继续停车的情况下保持对飞机的操纵,并维持坡度不大于5°的直线飞行。VMCL必须按下列条件制定:
(1) 飞机处于全发工作进场和着陆的最临界形态,或申请人如有选择则为所选取的每一形态;
(2) 重心在最不利的位置;
(3) 飞机按全发工作的进场状态配平;
(4) 最不利重量,或申请人如有选择作为重量的函数;
(5) 对于螺旋桨飞机,假定在保持3°进场航迹角所需的功率(推力)时发动机失效,失效发动机的螺旋桨处于不需驾驶员采取措施达到的位置;和
(6) 工作发动机在复飞设置功率(推力)状态。
(g) VMCL-2,三发或三发以上的飞机,一台临界发动机停车时进场和着陆进场期间的最小操纵速度 是校正空速,在此速度,当第二台临界发动机突然停车时,能在这两台发动机继续停车的情况下保持对飞机的操纵,并维持坡度不大于5°的直线飞行。VMCL-2必须按下列条件制定:
(1) 飞机处于一台临界发动机停车进场和着陆的最临界形态,或申请人如有选择则为所选取的每一形态;
(2) 重心在最不利的位置;
(3) 飞机按一台临界发动机停车进场状态配平;
(4) 最不利重量,或申请人如有选择作为重量的函数;
(5) 对于螺旋桨飞机,假定在保持3°进场航迹角所需的功率(推力)时发动机失效,并且其它不工作发动机的螺旋桨顺桨,更临界的失效发动机的螺旋桨处于不需驾驶员采取措施达到的位置;
(6) 当一台临界发动机失效时,工作发动机设定在保持3°进场航迹角所需的功率(推力)状态;和
(7) 工作发动机的功率(推力)在第二台临界发动机停车后立即迅速从本条(g)(6)规定的功率(推力)状态分别改变到:
(i) 最小功率(推力);
(ii) 复飞设置功率(推力)。
(h) 在VMCL和VMCL-2的演示中:
(1) 方向舵操纵力不得超过667牛(68公斤;150磅);
(2) 飞机不得呈现危险的飞行特性,或要求特殊的驾驶技巧、机敏和体力;
(3) 横向操纵必须有足够的滚转能力,从稳定飞行的初始状态,飞机必须能在不大于5秒钟的时间内改变20度的坡度,滚转的方向应使飞机从不工作发动机向工作发动机一侧转变航向;和
(4) 对于螺旋桨飞机,在发动机失效后螺旋桨达到的任何位置,及随后的发动机或螺旋桨任何可能的操纵运动期间,均不得呈现危险的飞行特性。
〔中国民用航空总局1995年12月18日第二次修订,2001年5月14日第三次修订,交通运输部2016年3月17日第四次修订〕
配平
第25.161条 配平
(a) 总则 飞机配平后,在驾驶员或自动驾驶仪对主操纵装置或其相应的配平操纵装置不再施力,并不再将其移动时,必须满足本条的配平要求。
(b) 横向和航向配平 在正常预期的运行(包括以1.3VSR1到VMO/MMO之间的任何速度运行)条件下,当重心在有关的使用限制范围内有最不利的横向移动时,飞机必须能维持横向和航向配平。
(c) 纵向配平 在下述过程中飞机必须能维持纵向配平:
(1) 最大连续功率(推力)爬升,速度不大于1.3VSR1,起落架在收起位置,襟翼分别在:
(i) 收起位置;
(ii) 起飞位置。
(2) 无动力下滑,速度不大于1.3VSR1;或者在相应于3度下滑角的功率设置的适当重量和形态下,速度在正常范围内的进场;取两者最严重情况,起落架放下,襟翼分别在:
(i) 收起位置;和
(ii) 放下位置,且经批准的着陆重心位置和重量的最不利组合;
(3) 平飞,起落架和襟翼在收起位置,速度从1.3VSR1至VMO/MMO,以及起落架在放下位置,速度从1.3VSR1至VLE。
(d) 纵向、航向和横向配平 在下列状态的爬升飞行过程中,飞机必须在1.3VSR1能维持纵向、航向和横向配平(对于横向配平,坡度不得超过5°):
(1) 临界发动机停车;
(2) 其余发动机处于最大连续功率(推力)状态;
(3) 起落架和襟翼在收起位置。
(e) 四发或四发以上的飞机 四发或四发以上的飞机必须在下列状态的直线飞行中能维持配平:重心在最不利的位置;和按第25.123条(a)为确定两发不工作状态下的航路飞行航迹所要求的爬升速度、形态和功率。
〔交通运输部2016年3月17日第四次修订〕
稳定性
第25.171条 总则
飞机必须按照第25.173条至第25.177条的规定,是纵向、航向和横向稳定的。此外,如果试飞表明对安全运行有必要,则在服役中正常遇到的任何条件下,要求有合适的稳定性和操纵感觉(静稳定性)。
第25.173条 纵向静稳定性
在第25.175条中规定的条件下,升降舵操纵力(包括摩擦力)必须有如下的特性:
(a) 为获得并维持低于所规定的配平速度的速度,必须用拉力,为获得并维持高于所规定的配平速度的速度,必须用推力。该特性必须在能够获得的任何速度予以证实,但速度不必超过对应于该形态的最大限制速度:起落架放下形态时不超过起落架收放限制速度,襟翼放下形态时不超过襟翼收放限制速度,光洁形态时不超过VFC/MFC,并不必低于定常不失速飞行的最小速度。
(b) 当从本条(a)规定范围内的任何速度缓慢地松除操纵力时,空速必须恢复到初始配平速度,对第25.175(a)、(c)、(d)条中所规定的爬升、进场和着陆状态,速度允差为10%,对第25.175(b)条中所规定的巡航状态,速度允差为7.5%。
(c) 杆力-速度曲线的稳定的平均斜率不得低于1牛每1.3节(l公斤每13.2节;1磅每6节)。
(d) 在本条(b)所规定的自由恢复速度带内,如果不要求驾驶员特别注意,就能恢复到并维持所希望的配平速度和高度,则允许飞机不加操纵力而稳定在高于或低于所希望的配平速度的速度。
第25.175条 纵向静稳定性的演示
必须按下列各项来表明纵向静稳定性:
(a) 爬升 飞机速度在下列状态速度的85%至115%之间时,杆力—速度曲线均必须具有稳定的斜率:
(1) 飞机配平,其条件为:
(i) 襟翼在收起位置;
(ii) 起落架在收起位置;
(iii) 最大起飞重量;
(iv) 对于活塞发动机,75%的最大连续功率;对于涡轮发动机,由申请人选为爬升期间使用限制的最大功率(推力)。
(2) 飞机配平在最佳爬升率速度,但此速度不必小于1.3VSR1。
(b) 巡航 在巡航状态,必须按下列各项来表明纵向静稳定性:
(1) 起落架收起作高速巡航时,在配平速度附近的下列速度范围内,杆力—速度曲线均必须具有稳定的斜率,该速度范围为:从自由恢复速度带上下界分别扩展配平速度的15%或50节,取大者(但该速度范围不必包括低于1.3VSR1和高于VFC/MFC的速度,也不必包括要求杆力超过222牛(23公斤;50磅)的速度)。上述要求必须在下列条件下予以满足:
(i) 襟翼在收起位置;
(ii) 重心在最不利的位置(见第25.27条);
(iii) 最大起飞重量与最大着陆重量之间最临界的重量;
(iv) 对于活塞发动机,75%的最大连续功率;对于涡轮发动机,由申请人选为使用限制的最大巡航功率(推力)(见第25.1521条),但此功率(推力)不必超过在VMO/MMO时所需的值;
(v) 飞机按本条(b)(1)(iv)所需的功率(推力)作平飞配平。
(2) 起落架收起作低速巡航时,在配平速度附近的下列速度范围内杆力—速度曲线均必须具有稳定的斜率,该速度范围为:从自由恢复速度带上下界分别扩展配平速度的15%或50节,取大者(但该速度范围不必包括低于1.3VSR1,和高于本条(b)(1)规定的速度范围中最小速度的速度,也不必包括要求杆力超过222牛(23公斤;50磅)的速度)。上述要求必须在下列条件下予以满足:
(i) 本条(b)(1)规定的襟翼位置,重心位置和重量;
(ii) 速度等于(VMO+1.3VSR1)/2平飞所需的功率(推力);
(iii) 飞机按本条(b)(2)(ii)所需功率(推力)作平飞配平。
(3) 起落架放下巡航时,在配平速度附近的下列速度范围内,杆力—速度曲线均必须具有稳定的斜率,该速度范围为:从自由恢复速度带上下界分别扩展配平速度的15%或50节,取大者(但该速度范围不必包括低于1.3VSR1和高于VLE的速度,也不必包括要求杆力超过222牛(23公斤;50磅)的速度)。上述要求必须在下列条件下予以满足:
(i) 本条(b)(1)规定的襟翼位置,重心位置和重量;
(ii) 对于活塞发动机,75%的最大连续功率,对于涡轮发动机,由申请人选为使用限制的最大巡航功率(推力),但此功率(推力)不必超过以VLE平飞所需的值;
(iii) 飞机按本条(b)(3)(ii)所需的功率(推力)作平飞配平。
(c) 进场 速度在VSW和1.7VSR1之间,在下列条件下,杆力—速度曲线均必须具有稳定的斜率;
(1) 襟翼在进场位置;
(2) 起落架在收起位置;
(3) 最大着陆重量;
(4) 飞机在1.3VSR1配平,具有足以在该速度维持平飞所需的功率(推力)。
(d) 着陆 速度在VSW和1.7VSRO之间,在下列条件下,杆力—速度曲线均必须具有稳定的斜率,并且杆力不得超过356牛(36公斤;80磅):
(1) 襟翼在着陆位置;
(2) 起落架在放下位置;
(3) 最大着陆重量;
(4) 发动机在1.3VSRO配平:
(i) 无功率(推力);和
(ii) 平飞功率(推力)。
(5) 飞机按无功率(推力)在1.3VSRO配平。
〔交通运输部2016年3月17日第四次修订〕
第25.177条 横向和航向静稳定性
(a) [备用]
(b) [备用]
(c) 在直线定常侧滑飞行中,副翼和方向舵操纵行程和操纵力,必须基本上稳定地正比于侧滑角,并且该比例系数必须在与该飞机使用状态相应的整个侧滑角范围内,不超出安全运行所必需的限制。对更大的角度,直到相应于蹬满舵或方向舵脚蹬力达到800牛(82公斤,180磅)的角度为止,方向舵脚蹬力不得有反逆现象,增加方向舵偏度必须使侧滑角增加。对于本款的符合性,必须根据适用情况,按所有起落架位置和襟翼位置以及对称动力状态,以1.13VSR1至VFE、VLE或VFC/MFC的速度进行演示验证。
(d) 在速度VMO/MMO和VFC/MFC之间的方向舵梯度必须满足(c)款的要求,但只要发散是逐渐的且易于为驾驶员识别和控制,则(副翼偏度与相应的方向舵输入相反的)上反效应可以是负的。
〔中国民用航空总局1995年12月18日第二次修订,交通运输部2016年3月17日第四次修订〕
第25.181条 动稳定性
(a) 在相应于飞机形态的1.13VSR1和最大允许速度之间产生的任何短周期振荡(不包括横向和航向的组合振荡),在主操纵处于下列状态时,必须受到重阻尼:
(1) 松浮状态;
(2) 固定状态。
(b) 在相应于飞机形态的1.13VSR1和最大允许速度之间产生的任何横向和航向组合振荡(“荷兰滚”),在操纵松浮情况下,必须受到正阻尼,而且必须依靠正常使用主操纵就可加以控制,无需特殊的驾驶技巧。
〔中国民用航空总局1995年12月18日第二次修订,交通运输部2016年3月17日第四次修订〕
失速
第25.201条 失速演示
(a) 必须在下列状态的直线飞行和30°坡度转弯中演示失速:
(1) 无动力;
(2) 维持1.5VSR1平飞所需的功率(推力)(VSR1为相应于襟翼在进场位置,起落架在收起位置和最大着陆重量的基准失速速度)。
(b) 本条(a)规定的两种状态,均必须能在下列条件下满足第25.203条适用的要求:
(1) 使用批准的襟翼位置及起落架和减速装置位置每一可能的组合;
(2) 申请合格审定范围内各种有代表性的重量;
(3) 最不利于改出失速的重心位置;和
(4) 飞机直线飞行按第25.103(b)(6)条规定的速度配平。
(c) 必须用下列程序来表明符合第25.203条的要求:
(1) 从失速速度之上足以保证建立稳定减速率的某速度开始,采用纵向操纵,使飞机速度降低不超过每秒1节,直到飞机失速;
(2) 此外,对于转弯飞行失速,采用纵向操纵,以实现直至每秒3节减速率;
(3) 飞机一旦失速,即用正常的改出方法来改出。
(d) 当固有的飞行特性向驾驶员显示清晰可辨的飞机失速现象时,可认为该飞机已失速。可接受的失速现象如下,这些现象既可单独出现,也可以组合出现:
(1) 不能即刻阻止的机头下沉;
(2) 抖振,其幅度和剧烈程度能强烈而有效地阻止进一步减速;或
(3) 俯仰操纵达到后止动点,并且在改出开始前操纵器件在该位置保持一短暂的时间后不能进一步增加俯仰姿态。
〔中国民用航空总局2001年5月14日第三次修订,交通运输部2016年3月17日第四次修订〕
第25.203条 失速特性
(a) 直到飞机失速时为止,必须能操纵副翼和方向舵产生和修正滚转及偏航,不得出现反操纵现象,不得出现异常的机头上仰,直到失速以及在整个失速过程中,纵向操纵力必须是正的。此外,必须能以正常的操纵迅速防止失速和从失速中改出。
(b) 对于机翼水平失速,在失速和完成改出之间发生的滚转大约不得超过20°左右。
(c) 对于转弯飞行失速,飞机失速后的运动不得过于剧烈或幅度过大,以至难以用正常的驾驶技巧迅速改出并恢复对飞机的操纵。改出期间出现的最大坡度不能超过:
(1) 对于小于并直到每秒1节的减速率的情况,在原转弯方向大约60°,或相反方向大约30°;和
(2) 对于超过每秒1节的减速率的情况,在原转弯方向大约90°,或相反方向大约60°。
〔中国民用航空总局2001年5月14日第三次修订〕
第25.205条 [删除]
〔中国民用航空总局1995年12月18日第二次修订〕
第25.207条 失速警告
(a) 在直线和转弯飞行中,为防止襟翼和起落架在任一正常位置时无意中造成失速,必须给驾驶员以有效的清晰可辨的具有足够余量的失速警告。
(b) 警告可以通过飞机固有的气动力品质来实现,也可以借助在预期要发生失速的飞行状态下能作出清晰可辨的警告的装置(如振杆器)来实现。但是,仅用要求驾驶舱内机组人员给予注意的目视失速警告装置是不可接受的。如果使用警告装置,则该警告装置必须在本条(c)和(d)中规定的速度,在本条(a)中规定的每一种飞机形态都提供警告。除了本条(h)(2)(ii)中所描述的失速警告外,本条(e)中规定的结冰条件下的失速警告必须以非结冰条件下的失速警告同样的方式给出。
(c) 当速度以不超过每秒1节减速时,在每个正常形态,失速警告必须能在VSW速度开始。此速度应超出按照25.201(d)确定的失速速度不小于5节或5%校正空速(取大者)。失速警告一旦开始,必须持续到攻角减小至接近失速警告开始时的攻角。
(d) 除了满足本条(c)的要求,在发动机慢车状态且飞机处于25.103(b)(5)规定的重心位置下的直线飞行,当速度以不超过每秒1节减速时,每个正常形态下的VSW必须超出VSR不少于3节或3%校正空速(两者取大者)。
(e) 在结冰条件下,直线飞行和转弯飞行中的失速警告裕度应足够保证飞行员防止失速(按25.201(d)中定义的),当失速警告出现后飞行员在不少于3秒开始改出机动。当验证本条的符合性时,飞行员应采取和非结冰条件下相同方式的改出机动。验证飞行时的飞机减速率应不超过每秒1节,且:
(1) 对于起飞阶段使用的每一形态,按附录C中定义的更临界的起飞冰积聚和起飞最后阶段冰积聚条件;
(2) 飞机航路形态按附录C中定义的航路冰积聚条件;
(3) 飞机等待形态按附录C中定义的等待冰积聚条件;
(4) 飞机进场形态按附录C中定义的进场冰积聚条件;
(5) 飞机着陆形态按附录C中定义的着陆冰积聚条件。
(f) 在结冰和非结冰条件下,必须有足够的失速警告裕度,以使在至少以1.5g的航迹法向过载及至少每秒2节的减速率减速转弯中出现失速警告1秒后,驾驶员开始改出机动可以避免失速。当在结冰条件下演示本要求的符合性时,驾驶员应采取和非结冰条件下相同方式的改出机动。应按以下条件用飞行试验表明符合性:
(1) 襟翼和起落架在任一正常位置;
(2) 飞机配平于1.3VSR的直线飞行;和
(3) 保持飞机以1.3VSR平飞的功率或推力。
(g) 对于系统失效后飞行中很可能使用的增升装置的每一个非正常形态,必须提供失速警告(包括飞机飞行手册程序中的所有形态)。
(h) 在结冰条件下飞行时,防冰系统开启并执行其预期功能之前,用附录C第II部分(e)所定义的冰积聚,实施下列要求:
(1) 如果该防冰系统的开启取决于驾驶员看到参考表面上规定的冰积聚(并不是刚刚开始结冰),按本条要求实施,但本条(c)和(d)除外;
(2) 对于启动防冰系统的其他方法,当飞机以不超过每秒1节的减速率进行减速时,在直线和转弯飞行的失速警告裕度必须足以允许驾驶员防止飞机进入失速且不会出现任何不利的飞行状况,驾驶员应采取和非结冰条件下相同方式的改出机动。
(i) 如果提供失速警告的方式和非结冰条件下相同,驾驶员不得在警告出现后1秒内开始改出机动。
(ii) 如果提供失速警告的方式和非结冰条件下不同,驾驶员不得在警告出现后3秒内开始改出机动。此外,必须用25.201条的演示表明25.203条的符合性,但第25.201(c)(2)条中的减速率不需要进行演示。
〔交通运输部2016年3月17日第四次修订〕
地面和水面操纵特性
第25.231条 纵向稳定性和操纵性
(a) 陆上飞机在任何可合理预期的运行条件下,或者在着陆或起飞期间发生回跳时,不得有不可控制的前翻倾向。此外还要求:
(1) 机轮刹车工作必须柔和,不得引起任何过度的前翻倾向;
(2) 如采用尾轮式起落架,在混凝土跑道上起飞滑跑时,必须可能在75%VSR1的速度,维持直至推力线水平的任何姿态。
(b) 对于水上飞机和水陆两用飞机,必须制定对起飞、滑行和着水的安全最不利的水面条件。
〔交通运输部2016年3月17日第四次修订〕
第25.233条 航向稳定性和操纵性
(a) 飞机在地面运行可预期的任何速度,在风速直到20节或0.2VSRO(取大者,但不必高于25节)的90°侧风中,不得有不可控制的地面打转倾向。这可在制定第25.237条要求的90°侧风分量时予以表明。
(b) 陆上飞机在以正常着陆速度作无动力着陆中必须有满意的操纵性,而不要求特殊的驾驶技巧或机敏,无需利用刹车或发动机动力来维持直线航迹。这可在结合其它试验一起进行的无动力着陆中予以表明。
(c) 飞机在滑行时必须有足够的航向操纵性。这可在结合其它试验一起进行的起飞前滑行的过程中予以表明。
〔交通运输部2016年3月17日第四次修订〕
第25.235条 滑行条件
当飞机在正常运行中可合理预期的最粗糙地面上滑行时,减震机构不得损伤飞机的结构。
第25.237条 风速
(a) 对于陆上飞机和水陆两用飞机,满足如下要求:
(1) 应制定在干跑道上对起飞和着陆演示是安全的90º侧风分量,该分量必须至少为20节或0.2VSRO(取大者,但不必超过25节)。
(2) 在结冰条件下,没有冰积聚情况下确定的起飞侧风分量是有效的;
(3) 必须为下列条件确定着陆时的侧风分量:
(i) 非结冰条件;和
(ii) 附录C中规定的着陆冰积聚的结冰条件。
(b) 对于水上飞机和水陆两用飞机,有下述要求:
(1) 必须制定在正常运行中可合理预期的一切水面条件下起飞和着水均安全的最大的90°侧风分量,该分量必须至少是20节或0.2VSRO(取大者,但不必超过25节)。
(2) 必须制定在正常运行中可合理预期的一切水面条件下往任何方向滑行均为安全的风速,该风速必须至少是20节或0.2VSRO(取大者,但不必超过25节)。
〔交通运输部2016年3月17日第四次修订〕
第25.239条 水面喷溅特性、操纵性和稳定性
(a) 对于水上飞机和水陆两用飞机,在起飞、滑行和着水期间以及本条(b)所列条件下,必须符合下列要求:
(1) 不得有妨碍驾驶员视线、引起损坏或造成进水量过大的喷贱特性;
(2) 不得有危险的不可控制的海豚运动、弹跳或摇摆倾向;
(3) 辅助浮筒或翼梢浮筒、机翼翼尖、螺旋桨桨叶或其它未按承受水载荷设计的部分不得浸入水中。
(b) 必须在下述条件下表明符合本条(a)的要求:
(1) 从平静的水面到按第25.231条制定的最不利的水面条件;
(2) 水面运行时可合理预期的风速和侧风速度、水流和相应的浪涌条件;
(3) 水面运行时可合理预期的速度;
(4) 在水面上任何时刻临界发动机突然停车;
(5) 在申请审定的载重状态范围内,相应于每种运行条件的每一重量和重心位置。
(c) 在本条(b)的水面条件和相应的风的条件下,水上飞机或水陆两用飞机必须能在发动机停车情况下漂流5分钟,必要时可借助海锚。
其它飞行要求
第25.251条 振动和抖振
(a) 飞机必须通过飞行演示在任何很可能的运行情况下,都不会发生任何妨碍继续安全飞行的振动和抖振。
(b) 必须通过飞行演示飞机的每一部件,在不超过VDF/MDF的任何相应速度和动力条件下,不会发生过度的振动。必须使用验证过的最大速度来按第25.1505条的要求制定飞机的使用限制。
(c) 除本条(d)的规定外,在正常飞行中,包括巡航期间的形态变化,不得存在强烈程度足以干扰操纵飞机、引起空勤人员过度疲劳或引起结构损伤的抖振状态,在上述限度以内的失速警告抖振是允许的。
(d) 在速度直到VMO/MMO的直线飞行巡航形态,不得有可觉察的抖振,但失速警告抖振是允许的。
(e) 对于MD大于0.6或最大使用高度超过7,600米(25,000英尺)的飞机,必须按飞机申请审定的空速或马赫数、重量和高度范围,确定其巡航形态下发生可察觉抖振的正机动载荷系数。该载荷系数、速度、高度和重量的包线必须为正常运行提供足够的速度和载荷系数范围。可能发生的无意中对抖振边界的超越,不得导致不安全的状态。
〔中国民用航空总局1995年12月18日第二次修订,交通运输部2016年3月17日第四次修订〕
第25.253条 高速特性
(a) 增速特性和速度恢复特性 必须满足下列对增速特性和速度恢复特性的要求:
(1) 很可能引起无意中增速(包括俯仰和滚转的颠倾)的运动状态和特性,必须用配平在直至VMO/MMO的任一很可能使用的巡航速度的飞机来模拟。这些运行状态和特性包括突风颠倾、无意的操纵动作、相对于操纵系统摩擦来说,较低的杆力梯度、旅客的走动、由爬升改为平飞以及由M数限制高度下降到空速限制高度。
(2)计及有效的固有或人为速度警告发出后驾驶员作出反应的时间,必须表明在下述条件下能够恢复到正常的姿态,并且速度降低到VMO/MMO:
(i) 不需要特别大的驾驶杆力或特殊的技巧;
(ii) 不超过VD/MD,VDF/MDF及各种结构限制;
(iii) 不出现会削弱驾驶员判读仪表或操纵飞机恢复正常的能力的抖振。
(3) 飞机在不超过VMO/MMO的任一速度配平,在直到VDF/MDF的任一速度下,对绕任一轴的操纵输入不得有反逆响应。飞机的俯仰、横滚或偏航的倾向必须轻微,并可用正常驾驶技巧即刻控制。当飞机在VMO/MMO配平后,在大于VFC/MFC的速度下,升降舵操纵力相对速度的关系曲线斜率不一定要稳定,但是在直到VDF/MDF的所有速度下,必须为推力,而且在达到VDF/MDF时,升降舵的操纵力不得有突然或过度的减小。
(b) 具有稳定性的最大速度VFC/MFC VFC/MFC是襟翼和起落架收起时,必须满足第25.143(g)条、第25.147(e)条、第25.175(b)(1)条、第25.177条和第25.181条要求的最大速度。除非第25.253条(c)中另有规定,该速度不得小于VMO/MMO和VDF/MDF的平均值,但在M数成为限制因素的高度,MFC不必超过发出有效速度警告的M数。
(c) 结冰条件下具有稳定性的最大速度 在附录C所规定的冰积聚条件下具有稳定性的最大速度,应当满足25.143(g),25.147(e)、25.175(b)(1)、25.177和25.181条的要求,取下列值中较小值:
(1) 校正空速300节;
(2) VFC;或
(3) 经演示由于动压的增加使机体不会产生冰积聚的速度。
〔中国民用航空总局1995年12月18日第二次修订,2001年5月14日第三次修订,交通运输部2016年3月17日第四次修订〕
第25.255条 失配平特性
(a) 从飞机在不超过VMO/MMO的巡航速度配平的初始状态开始,在机头上仰和下沉两个方向上的失配平程度为下列两者中之大者时,飞机必须有满意的机动稳定性和操纵性:
(1) 纵向配平系统以其对应于特定飞行状态的正常速率,在没有气动载荷的情况下移动3秒钟(对于没有动力作动配平系统的飞机为相应的失配平程度),除非是受到配平系统止动器的限制(包括第25.655(b)条对于可调水平安定面要求的止动器)。
(2) 在高速巡航状态维持平飞时,自动驾驶仪所能承受的最大误配量。
(b) 在本条(a)规定的失配平状态,当法向加速度从+lg变为本条(c)规定的正值和负值时,要求:
(1) 杆力对g的曲线在直到和包括VFC/MFC的任何速度必须有正的斜率;
(2) 在VFC/MFC和VDF/MDF之间的各种速度,纵向主操纵力的方向不得反逆。
(c) 除本条(d)和(e)规定者外,必须在下述两种法向加速度范围之一的飞行中演示对本条(a)规定的符合性:
(1) -1g到+2.5g;
(2) 0g至2.0g,并用可接受的方法外推到-1g和+2.5g。
(d) 如果用本条(c)(2)规定的程序来演示符合性,而在关于纵向主操纵力反逆的试飞中存在临界情况,则必须从发现存在该临界情况时的法向加速度到本条(c)(1)规定的相应限制范围进行试飞。
(e) 在本条(a)要求的试飞中,不必超过第25.333(b)条和第25.337条规定的限制机动载荷系数以及与很可能无意中超越按第25.251(e)条确定的抖振边界相关的机动载荷系数。此外,法向加速度小于1g的试飞演示的进入速度,必须在不超过VDF/MDF就能完成改出的限度以内。
(f) 在本条(a)规定的失配平状态,必须从VDF/MDF的超速情况,施加不大于556牛(57公斤;125磅)的纵向操纵力,就能产生至少1.5g的法向加速度改出,此时可仅用纵向主操纵或辅以纵向配平系统,如果采用纵向配平辅助产生所要求的载荷系数,必须在VDF/MDF表明能沿使飞机抬头的方向驱动纵向配平机构,而主操纵面承受的载荷对应于下列使飞机抬头操纵力中的最小者:
(1) 按第25.301条和第25.397条所规定的服役中预期最大操纵力;
(2) 产生1.5g所需的操纵力;
(3) 对应于抖振或其它现象的操纵力,这些现象的剧烈程度足以强有力地制止进一步施加纵向主操纵力。
C分部 结 构
总则
第25.301条 载荷
(a) 强度的要求用限制载荷(服役中预期的最大载荷)和极限载荷(限制载荷乘以规定的安全系数)来规定。除非另有说明,所规定的载荷均为限制载荷。
(b) 除非另有说明,所规定的空气、地面和水载荷必须与计及飞机每一质量项目的惯性力相平衡。这些载荷的分布必须保守地近似于或接近地反映真实情况。除非表明确定受载情况的方法可靠,否则用以确定载荷大小和分布的方法必须用飞行载荷测量来证实。
(c) 如果载荷作用下的变形会显著改变外部载荷或内部载荷的分布,则必须考虑载荷分布变化的影响。
第25.303条 安全系数
除非另有规定,当以限制载荷作为结构的外载荷时,必须采用安全系数l.5;当用极限载荷来规定受载情况时,不必采用安全系数。
第25.305条 强度和变形
(a) 结构必须能够承受限制载荷而无有害的永久变形。在直到限制载荷的任何载荷作用下,变形不得妨害安全运行。
(b) 结构必须能够承受极限载荷至少三秒钟而不破坏,但是当用模拟真实载荷情况的动力试验来表明强度的符合性时,则此三秒钟的限制不适用。进行到极限载荷的静力试验必须包括加载引起的极限变位和极限变形。当采用分析方法来表明符合极限载荷强度要求时,必须表明符合下列三种情况之一:
(1) 变形的影响是不显著的;
(2) 在分析中已充分考虑所涉及的变形;
(3) 所用的方法和假设足以计及这些变形影响。
(c) 如果结构的柔度特性使在飞机运行情况中很可能出现的任一加载速率会产生比相应于静载荷的应力大得多的瞬态应力,则必须考虑这种加载速率的影响。
(d) [备用]
(e) 飞机必须设计成能承受在直到VD/MD的任何可能的运行条件下(包括失速和可能发生的无意中超出抖振包线边界)会发生的任何振动和抖振。这一点必须通过分析、飞行试验、或中国民用航空局适航部门认为必要的其它试验进行验证。
(f) 除经证明为极不可能的情况外,飞机必须设计成能承受因飞行操纵系统的任何故障、失效或不利情况而引起的结构强迫振动。这些强迫振动必须视为限制载荷,并必须在直到VC/MC的各种空速下进行研究。
〔中国民用航空总局1995年12月18日第二次修订,2001年5月14日第三次修订〕
第25.307条 结构符合性的证明
(a) 必须表明每一临界受载情况下均符合本分部的强度和变形要求。只有在经验表明某种结构分析方法对某种结构是可靠的情况下,对于同类的结构,才可用结构分析来表明结构的符合性。当限制载荷试验可能不足以表明符合性时,适航当局可以要求作极限载荷试验。
(b) [备用]
(c) [备用]
(d) 当用静力或动力试验来表明符合第25.305(b)条对飞行结构的要求时,对于试验结果必须采用合适的材料修正系数。如果被试验的结构或其一部分具有下列特征:多个元件对结构总强度均有贡献,而当一个元件损坏以后,载荷通过其它路径传递导致重新分布,则不必采用材料修正系数。
〔中国民用航空总局1995年12月18日第二次修订〕
飞行载荷
第25.321条 总则
(a) 飞行载荷系数是气动力分量(垂直作用于假设的飞机纵轴)与飞机重力之比。正载荷系数是气动力相对飞机向上作用时的载荷系数。
(b) 必须按下列各条表明符合本分部的飞行载荷要求,此时要考虑每一速度下的压缩性影响:
(1) 在申请人选定的高度范围内的每一临界高度;
(2) 从相应于每个特定飞行载荷情况的设计最小重量到设计最大重量的每一重量;
(3) 对于每一要求的高度和重量,按在飞机飞行手册规定的使用限制内可调配载重的任何实际分布。
(c) 必须研究设计包线上和设计包线内足够多的点,以保证获得飞机结构中每个部分的最大载荷。
(d) 作用在飞机上的重要的力必须以合理或保守的方式处于平衡。线惯性力必须与推力和全部气动载荷相平衡,而角(俯仰)惯性力必须与推力和全部气动力矩(包括作用在诸如尾翼和短舱等部件上的载荷引起的力矩)相平衡,必须考虑从零到最大连续推力范围内的临界推力值。
〔中国民用航空总局2001年5月14日第三次修订〕
飞行机动和突风情况
第25.331条 对称机动情况
(a) 方法 对本条(b)和(c)规定的机动飞行情况进行分析,采用下列规定:
(1) 当规定操纵器件突然移动时,所采用的操纵面偏转速率不得小于驾驶员通过操纵系统能施加的偏转速率;
(2) 在确定飞机在转弯和拉起时的升降舵偏角和弦向载荷分布(根据本条(b)和(c)的机动情况)时,必须计及相应的俯仰角速度的影响。必须考虑第25.255条规定的配平和失配平飞行情况。
(b) 机动平衡情况 必须研究第25.333(b)条中的机动包线上A到I的机动情况,假定飞机在俯仰角加速度为零的情况下处于平衡。
(c) 俯仰机动情况 必须研究本条(c)(1)和(2)规定的情况。可以调整俯仰操纵面的运动以考虑第25.397(b)条规定的最大驾驶员作用力的限制值、操纵系统止动器和操纵系统输出的限制值引起的任何间接影响(例如:有动力操纵系统可以达到的失速力矩或最大速率)。
(1) VA时的升降舵最大偏转 假定飞机正在进行定常平飞(A1点,第25.333(b)条),此时,突然移动俯仰操纵器件来获得极大的抬头俯仰加速度。在确定尾翼载荷时,必须考虑飞机的响应。在重心处的法向加速度超过正限制机动载荷系数(第25.333(b)条的A2点)或引起的尾翼法向载荷达到最大值(两者中取先到者)以后的飞机载荷不必加以考虑。
(2) 规定的操纵器件移动 必须根据合理的俯仰操纵运动相对时间的剖面图确定校验机动,在此机动中不应超出第25.337条规定用于设计的限制载荷系数。飞机的响应必须产生不小于下述值的俯仰角加速度,但不可能达到或超过该值的情况除外:
(i) 假定正俯仰角加速度(抬头)与等于1.0的飞机载荷系数(A1点到D1点,第25.333(b) 条)同时达到。此正俯仰角加速度必须至少等于
式中:
n为所考虑速度下的正载荷系数;
V为飞机的当量速度(节)。
(ii) 假定负俯仰角加速度(低头)与正机动载荷系数(A2点到D2点,第25.333(b)条)同时达到。此负俯仰角加速度必须至少等于
式中:
n为所考虑速度下的正载荷系数;
V为飞机的当量速度(节)。
〔中国民用航空总局2001年5月14日第三次修订〕
第25.333条 飞行机动包线

(a) 总则 位于本条(b)中典型的机动包线(V-n图)边界上和边界内的空速和载荷系数的任一组合,均必须满足强度要求。在确定第25.1501条中规定的飞机结构使用限制时也必须采用此包线。
(b) 机动包线
(c) [删除]
〔中国民用航空总局2001年5月14日第三次修订〕
第25.335条 设计空速
选定的设计空速均为当量空速(EAS)。估算的VSO和VS1值必须是保守的。
(a) 设计巡航速度VC 对于VC,采用下列规定:
(1) VC的最小值必须充分大于VB,以应付严重大气紊流很可能引起的意外的速度增加;
(2) 除第25.335(d)(2)条以外,VC不得小于VB+1.32UREF(UREF按第25.341(a)(5)(i)条的规定),但VC也不必超过飞机在相应的高度以发动机最大连续功率(推力)平飞时的最大速度;
(3) 在VD受M数限制的高度上,VC可限制在一选定的M数。
(b) 设计俯冲速度VD 必须选定VD以使VC/MC不大于0.8VD/MD,或使VC/MC和VD/MD之间的最小速度余量是下列值中的大者:
(1) 从以VC/MC定常飞行的初始情况开始,飞机颠倾,沿着比初始航迹低7.5°的飞行航迹飞行20秒钟,然后以载荷系数1.5(0.5g的加速度增量)拉起。只要所使用的气动数据是可靠的或保守的,则上述机动中出现的速度增量可采用计算值。开始拉起之前假定具有第25.175(b)(1)(iv)条规定的功率(推力),开始拉起时可以假定功率(推力)减小并使用驾驶员操纵的阻力装置;
(2) 最小速度余量必须足以应付大气条件的变动(例如水平突风和穿过急流与冷峰),以及应付仪表误差和飞机机体的制造偏差。这些因素可以基于概率来考虑。但是在MC受到压缩性效应限制的高度上,该余量不得小于0.07M,除非用合理的分析考虑了所有自动系统的影响得到了更低的余度。在任何情况下,该余量不得小于0.05M。
(c) 设计机动速度VA 对于VA,采用下列规定:
(1) VA不得小于
式中:
(i) n为VC时的正限制机动载荷系数;
(ii) VS1为襟翼收起形态的失速速度。
(2) VA和VS1必须按所考虑的设计重量和高度进行计算;
(3) VA不必大于VC,或不必大于同正CNmax曲线与正机动载荷系数线交点相对应的速度,两者中取小值。
(d) 对应最大突风强度的设计速度VB
(1) VB不得小于

式中:
VS1为以CNAmax为基础在所考虑的特定重量下,襟翼收起形态的1g失速速度
VC为设计巡航速度(米/秒,节,当量空速)
Uref为从第25.341(a)(5)(i)条得到的参考突风速度(米/秒,英尺/秒,当量空速)
W为在所考虑的特定重量下的平均机翼载重(公斤/米2,磅/英尺2)

ρ为空气密度(公斤·秒2/米4,斯拉格/英尺3)
c为机翼的平均几何弦长(米,英尺)
g为重力加速度(米/秒2,英尺/秒2)
a为飞机法向力系数曲线的斜率,CNA/弧度
(2) 在VC受马赫数限制的高度上
(i) VB的选择可以在低和高的速度抖振边界之间给出最佳余度;
(ii) VB不必大于VC。
(e) 设计襟翼速度VF 对于VF,采用下列规定:
(1) 对应每一襟翼位置(按第25.697(a)条制定)的设计襟翼速度,必须充分大于对各相应飞行阶段(包括中断着陆)所推荐的飞行速度,以计及空速控制的预期变化和由一种襟翼位置到另一种襟翼位置的转换;
(2) 如采用襟翼自动定位装置或载荷限制装置,则可取此装置程序规定的或装置许可的速度和相应襟翼位置;
(3) VF不得小于:
(i) 1.6VS1,襟翼在以最大起飞重量起飞时的位置;
(ii) 1.8VS1,襟翼在以最大着陆重量进场时的位置;
(iii) 1.8VSO,襟翼在最大着陆重量着陆时的位置。
(f) 设计阻力装置速度VDD 对每一阻力装置所选定的设计速度,必须充分大于使用该装置时所推荐的速度,以计及速度控制的预期变化,对于供高速下降时使用的阻力装置,VDD不得小于VD。当阻力装置采用自动定位措施或载荷限制措施时,设计中必须取此自动措施程序规定的或自动措施许可的速度和相应的阻力装置位置。
〔中国民用航空总局2001年5月14日第三次修订〕
第25.337条 限制机动载荷系数
(a) 除受到最大(静)升力系数的限制外,假定飞机经受对称机动并达到本条所规定的限制机动载荷系数。必须考虑相应于飞机拉起和定常转弯机动的合适的俯仰速度。
(b) 对于直到VD的任一速度,正限制机动载荷系数“n”不得小于

但是“n”不得小于2.5,不必大于3.8,此处W为设计最大起飞重量。
(c) 对于负限制机动载荷系数,采用下列规定:
(1) 在直到VC的各种速度下,不得小于-1.0;
(2) 必须随速度从VC时的对应值线性变化到VD时的零值。
(d) 如果飞机具有的设计特征使其在飞行中不可能超过本条规定的机动载荷系数,则可采用小于本条规定的值。
第25.341条 突风和紊流载荷
(a) 离散突风设计准则 假定飞机在平飞中遇到对称的垂直和横向突风,限制突风载荷的确定必须根据下列规定:
(1) 必须通过动态分析确定结构各部分的载荷。分析必须考虑非定常气动特性和包括刚体运动在内的所有重要的结构自由度。
(2) 突风形状必须是:
对于0≤s≤2H 
式中:
s为进入突风区的距离(米,英尺) ;
Uds为用本条(a)(4)规定的当量空速表示的设计突风速度;
H为突风梯度,即突风达到其峰值速度时与飞机飞行航迹的平行距离(米,英尺)。
(3) 必须在9.1米(30英尺)到106.7米(350英尺)范围内对突风梯度进行足够的研究,找出每个载荷数值的临界响应。
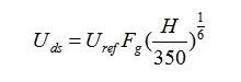
(4) 设计突风速度必须是:
式中:
Uref为用本条(a)(5)确定的当量空速表示的参考突风速度
Fg为本条(a)(6)确定的飞行剖面缓和系数
(5) 采用下列参考突风速度:
(i) 在飞机设计速度VC时:必须考虑海平面上参考突风速度为17.07米/秒(56.0英尺/秒)EAS的正负突风。参考突风速度可以从海平面17.07米/秒(56.0英尺/秒)EAS线性下降到4575米(15,000英尺)13.41米/秒(44.0英尺/秒)EAS。参考突风速度还可以进一步线性下降,从4575米(15,000英尺)13.41米/秒(44.0英尺/秒)EAS下降到15200米(50,000英尺)7.92米/秒(26.0英尺/秒)EAS。
(ii) 在飞机设计速度VD时:参考突风速度必须是从第25.341(a)(5)(i)条得到的值的0.5倍。
(6) 飞行剖面缓和系数Fg必须从海平面值起线性增加到第25.1527条确定的最大使用高度时的1.0。在海平面时,飞行剖面缓和系数由下列公式确定:
Fg=0.5(Fgz+Fgm)
式中:
Fgm=R2Tan(πR1/4)的平方根
R1为最大着陆重量/最大起飞重量
R2为最大零燃油重量/最大起飞重量
Zmo为第25.1527条确定的最大使用高度
(7) 当分析中包括了增稳系统时,在从限制突风情况得到限制载荷时必须考虑任何显著的系统非线性影响。
(b) 连续突风设计准则 必须考虑飞机对垂直和横向连续紊流的动态响应。除非证明有更合理的准则,否则必须用本部附录G的连续突风设计准则来确定动态响应。
〔中国民用航空总局2001年5月14日第三次修订〕
第25.343条 设计燃油和滑油载重
(a) 可调配载重的各种组合,必须包括从零燃油和滑油到选定的最大燃油和滑油载重范围内的每一燃油和滑油载重。可选定在第25.1001(e)和(f)条(取适用者)所限定的运行条件下不超过45分钟余油的某种结构储油情况。
(b) 如果选定了某种结构储油情况,则该情况必须用来作为表明符合本分部规定的飞行载荷要求的最小燃油重量情况,此外还要求:
(1) 结构必须按在机翼内零燃油和滑油的情况进行设计,此情况的限制载荷相应于下列规定:
(i) 机动载荷系数为+2.25;
(ii) 第25.341(a)条的突风情况,但假定为第25.341(a)(4)条规定的设计速度的85%。
(2) 结构的疲劳评定必须计及由本条(b)(1)的设计情况所获得的任何使用应力的增量;
(3) 颤振、变形和振动要求,也必须在零燃油情况下得到满足。
〔中国民用航空总局2001年5月14日第三次修订〕
第25.345条 增升装置
(a) 如果在起飞、进场或着陆期间要使用襟翼,则假定在对应于这些飞行阶段的设计襟翼速度(按第25.335(e)条制定)下,且襟翼处于相应的位置,飞机经受对称机动和对称突风,必须由下列情况得到限制载荷:
(1) 机动到正限制载荷系数2.0;
(2) 垂直作用于水平飞行航迹的正、负突风速度为7.60米/秒(25英尺/秒)EAS。必须用合理的分析确定结构各部分的突风载荷。分析必须考虑非定常气动特性和飞机的刚体运动。突风形状必须按照第25.341(a)(2)条的规定,其中:
Uds=7.60米/秒(25英尺/秒)EAS
H=12.5c;且
c为机翼的平均几何弦长(米,英尺)
(b) 飞机必须按本条(a)规定的条件设计,但是在分别计及下列条件的影响时,飞机载荷系数不必大于1.0:
(1) 在设计襟翼速度VF时,对应于发动机最大连续功率的螺旋桨滑流,以及对应于发动机起飞功率,飞机速度不小于1.4倍的失速速度(此时襟翼处于特定位置,飞机为相应的最大重量)下的螺旋桨滑流;
(2) 迎面突风,其风速为7.60米/秒(25英尺/秒)(EAS)。
(c) 如果在航路飞行情况中要使用襟翼或类似的增升装置,此时襟翼处在适当的位置,飞机速度直到按这些情况选定的襟翼设计速度,则假定飞机经受对称机动和对称突风,其范围由下列条件确定:
(1) 机动到第25.337(b)条规定的正限制载荷系数;
(2) 第25.341(a)条的离散垂直突风准则。
(d) 飞机必须按最大起飞重量、襟翼和类似的增升装置处于着陆构型、机动载荷系数为1.5进行设计。
〔中国民用航空总局2001年5月14日第三次修订〕
第25.349条 滚转情况
飞机必须按本条(a)和(b)规定的情况引起的滚转载荷进行设计。对重心的不平衡气动力矩,必须由惯性力以合理的或保守的方式予以平衡,认为此惯性力由主要质量提供。
(a) 机动 必须把下列各种情况、速度和副翼偏转(可能受驾驶员作用力限制的偏转除外),同数值为零及等于设计中所用正机动载荷系数的三分之二的飞机载荷系数组合起来考虑。在确定所要求的副翼偏转时,必须按第25.301(b)条考虑机翼的扭转柔度。
(1) 必须研究相应于各种定常滚转速度的情况。此外,对于机身外面有发动机或其它集中重量的飞机,还必须研究相应于最大角加速度的情况。对于角加速度情况,在对机动的时间历程缺少合理的研究时,可以假定滚转速度为零;
(2) 速度VA时,假定副翼突然偏转到止动器;
(3) 速度VC时,副翼的偏转必须为产生不小于按本条(a)(2)得到的滚转率所要求的偏转;
(4) 速度VD时,副翼的偏转必须为产生不小于按本条(a)(2)得到的滚转率的三分之一所要求的偏转。
(b) 非对称突风 假定平飞的飞机遇到非对称垂直突风,必须用由第25.341(a)条直接得到的机翼最大空气载荷或由第25.341(a)条计算出的垂直载荷系数间接得到的机翼最大空气载荷确定限制载荷。必须假定100%的机翼空气载荷作用于飞机的一侧,80%作用于另一侧。
〔中国民用航空总局2001年5月14日第三次修订〕
第25.351条 偏航机动情况
飞机必须按本条(a)到(d)规定的偏航机动情况引起的载荷进行设计,速度范围从VMC到VD。对重心的不平衡气动力矩必须以合理或保守的方式予以平衡,并考虑飞机惯性力。在计算尾翼载荷时,可以假定偏航速度为零。
(a) 当飞机以零偏航角非加速飞行时,假定方向舵操纵器件突然移动使方向舵偏转到受下列条件限制的偏转量;
(1) 操纵面止动器;或
(2) 驾驶员作用力的限制值,从VMC到VA为1330牛(136公斤,300磅),从VC/MC到VD/MD为890牛(90.7公斤,200磅),在VA与VC/MC之间按线性变化。
(b) 当方向舵操纵器件偏转,以始终保持在本条(a)中规定的限制值内可用的最大方向舵偏转时,假定飞机偏航到过漂侧滑角。
(c) 当飞机偏航到静平衡侧滑角时,假定方向舵操纵器件保持,以获得在本条(a)中规定的限制值内最大可用方向舵偏转。
(d) 当飞机偏航到本条(c)的静平衡侧滑角时,假定方向舵操纵器件突然回到中立位置。
〔中国民用航空总局1995年12月18日第二次修订, 2001年5月14日第三次修订〕
补充情况
第25.361条 发动机扭矩
(a) 发动机架及其支承结构,必须按下列组合效应进行设计:
(1) 相应于起飞功率及螺旋桨转速的发动机限制扭矩,和第25.333(b)条中飞行情况A的限制载荷的75%同时作用;
(2) 相应于最大连续功率及螺旋桨转速的发动机限制扭矩,和第25.333(b)条中飞行情况A的限制载荷同时作用;
(3) 对于涡轮螺旋桨装置,除了本条(a)(1)和(2)的规定情况外,相应于起飞功率及螺旋桨转速的发动机限制扭矩乘以下述系数后和1g平飞载荷同时作用。该系数是用于考虑螺旋桨操纵系统故障(包括快速顺桨),在缺少详细的分析时,必须取为1.6。
(b) 对于涡轮发动机装置,发动机架及其支承结构必须设计成能承受下列每一种载荷:
(1) 由于故障或结构损坏(例如压气机卡住)造成发动机突然停车所产生的发动机限制扭矩载荷;
(2) 发动机最大加速所产生的发动机限制扭矩载荷。
(c) 本条(a)考虑的发动机限制扭矩,必须由相应于规定的功率和转速的平均扭矩乘以下列系数得出:
(1) 对于涡轮螺旋桨装置,为1.25;
(2) 对于有5个或5个以上汽缸的活塞发动机,为1.33;
(3) 对于有4、3、2个汽缸的发动机,分别为2、3、4。
第25.363条 发动机和辅助动力装置支架的侧向载荷
(a) 发动机和辅助动力装置支架及其支承结构必须按横向限制载荷系数(作为作用在发动机和辅助动力装置支架上的侧向载荷)进行设计,此系数至少等于由偏航情况得到的最大载荷系数,但不小于下列数值:
(1) 1.33;
(2) 第25.333(b)条所述的飞行情况A的限制载荷系数的三分之一。
(b) 可假定本条(a)规定的侧向载荷与其它飞行情况无关。
〔中国民用航空总局2001年5月14日第三次修订〕
第25.365条 增压舱载荷
下列规定适用于有一个或一个以上增压舱的飞机:
(a) 飞机结构必须有足够的强度来承受飞行载荷和由零到释压活门最大调定值的压差载荷的组合作用;
(b) 必须计及在飞行中的外部压力分布以及应力集中和疲劳影响;
(c) 如允许机舱带压差着陆,则着陆载荷必须和由零到着陆期间所允许的最大压差载荷相组合;
(d) 飞机结构必须设计成能承受下述压差载荷,对于申请批准在直到13700米(45,000英尺)的高度运行的飞机,该载荷为释压活门最大调定值的1.33倍;对于申请批准在13700米(45,000英尺)以上运行的飞机,该载荷为释压活门最大调定值的1.67倍,并略去其它载荷。
(e) 增压舱内部和外部的任何结构、组件或零件,如因其破坏而可能妨碍继续安全飞行和着陆时,则必须设计成能够承受在任何使用高度由于以下每一情况使任何舱室出现孔洞而引起的压力突降:
(1) 发动机碎裂后发动机的一部分穿通了增压舱;
(2) 在任何增压舱有尺寸不超过HO的任何孔洞,但对无法合理预期会局限于小舱室的孔洞,可以将小舱室与其相邻增压舱合并起来作为一个舱室考虑。尺寸HO须按下式计算:
HO=PAs
式中:
HO为最大孔洞面积,米2(英尺2),不超过1.86米2(20英尺2);

AS为增压壳体垂直于纵轴的最大横截面积,米2(英尺2);
(3) 未经表明是极不可能出现的由于飞机或设备损坏而造成的最大孔洞。
(f) 在符合本条(e)款,确定损坏或穿通的概率和可能的孔洞尺寸时,如果还考虑到关闭装置可能有的使用不当以及误开舱门的情况,则可以考虑设计的破损—安全特征。而且,合成的压差载荷还必须以合理和保守的方式与1g平飞载荷以及由于应急泄压情况引起的任何载荷相组合。这类载荷可以按极限载荷考虑,但是,因这些情况引起的任何变形均不得妨碍继续安全飞行和着陆。也可考虑由于各舱之间的通风所提供的减压。
(g) 载人增压舱内的隔框、地板和隔板必须设计成能承受本条(e)所规定的情况。此外,还必须采取合理的设计预防措施,以尽量减小由于零件的脱落而伤害座位上乘员的概率。
〔中国民用航空总局1995年12月18日第二次修订,2001年5月14日第三次修订〕
第25.367条 发动机失效引起的非对称载荷
(a) 飞机必须按由临界发动机失效引起的非对称载荷进行设计。涡轮螺旋桨飞机必须按下列情况和螺旋桨阻力限制系统单个故障的组合进行设计,同时要考虑驾驶员在飞行操纵器件上预期的纠正动作:
(1) 在VMC与VD之间的各种速度下,由于燃油流动中断而引起功率丧失所产生的载荷作为限制载荷;
(2) 在VMC与VC之间的各种速度下,由于发动机压气机与涡轮脱开或由于涡轮叶片丢失所产生的载荷作为极限载荷;
(3) 上述发动机失效引起的推力减少和阻力增加的时间历程,必须由试验或其它适用此特定发动机—螺旋桨组合的资料予以证实;
(4) 对于驾驶员预期的纠正动作的时间和纠偏量的大小,必须保守地加以估计。在估计时要考虑特定的发动机—螺旋桨—飞机组合的特性。
(b) 可以假定驾驶员的纠正动作在达到最大偏航速度时开始,但不早于发动机失效后二秒钟。纠偏量的大小可以根据第25.397(b)条中规定的操纵力确定,但如果分析或试验表明较小的力能够控制由上述发动机失效情况所产生的偏航和滚转,也可以取较小的力。
第25.371条 陀螺载荷
任何发动机或辅助动力装置的支承结构必须按第25.331条、第25.341(a)条、第25.349条、第25.351条、第25.473条、第25.479条、第25.481条中规定情况产生的包括陀螺载荷在内的载荷进行设计,且发动机或辅助动力装置处于与该情况相应的最大转速。为了符合本条的要求,必须满足第25.331(c)(1)条的俯仰机动的要求直到达到正的限制机动载荷系数(第25.333(b)条的A2点)。
〔中国民用航空总局2001年5月14日第三次修订〕
第25.373条 速度控制装置
如果装有供航路飞行中使用的速度控制装置(例如扰流板和阻力板),采用下列规定:
(a) 飞机必须根据每个调定位置和与此相应的最大速度,按第25.333条和第25.337条规定的对称机动、第25.351条规定的偏航机动和第25.341(a)条规定的垂直和横向突风情况进行设计。
(b) 如果速度控制装置具有自动操纵或载荷限制机构,则飞机必须根据该机构所允许的各种速度和相应的速度控制装置的位置,按本条(a)规定的机动和突风情况进行设计。
〔中国民用航空总局2001年5月14日第三次修订〕
操纵面和操纵系统载荷
第25.391条 操纵面载荷:总则
操纵面必须按第25.331条、第25.341(a)条、第25.349条和第25.351条中的各种飞行情况及第25.415条中的地面突风情况产生的限制载荷进行设计,并考虑下列要求:
(a) 第25.393条中的平行于铰链线的载荷;
(b) 第25.397条中的驾驶员作用力的影响;
(c) 第25.407条中的配平调整片的影响;
(d) 第25.427条中的非对称载荷;
(e) 第25.445条中的辅助气动力面。
〔中国民用航空总局2001年5月14日第三次修订〕
第25.393条 平行于铰链线的载荷
(a) 操纵面及支承铰链架必须按平行于铰链线作用的惯性载荷进行设计。
(b) 在缺少更合理的资料时,可以假定此惯性载荷等于KWg(公制和英制:KW),式中:
(1) K=24,对于垂直安装的操纵面;
(2) K=12,对于水平安装的操纵面;
(3) W为操纵面重量,公斤(磅);
g为重力加速度,米/秒2。
第25.395条 操纵系统
(a) 纵向、横向、航向和阻力操纵系统及其支承结构,必须按相应于第25.391条中规定情况计算的操纵面铰链力矩的125%的载荷进行设计。
(b) 系统限制载荷,除地面突风所引起的载荷外,不必超过一名(或两名)驾驶员和自动的或带动力的装置操作操纵系统时所能产生的载荷。
(c) 系统限制载荷不得小于施加第25.397(c)条规定的最小作用力所产生的载荷。
第25.397条 操纵系统载荷
(a) 总则 假定本条(c)中规定的驾驶员最大和最小作用力作用在相应的操纵器件握点或脚蹬上(以模拟飞行情况的方式),并且在操纵系统与操纵面操纵支臂的连接处受到反作用。
(b) 驾驶员作用力的影响 在操纵面飞行受载情况中,作用在操纵面上的空气载荷和相应的偏转量,不必超过在飞行中施加本条(c)规定范围内的任何驾驶员作用力可能导致的值。如果按可靠的数据获得操纵面铰链力矩,则对于副翼和升降舵可取规定的最大值的三分之二,在应用此准则时,必须考虑伺服机构、调整片和自动驾驶系统的影响。
(c) 驾驶员限制作用力和扭矩 驾驶员限制作用力和扭矩如下:
驾驶盘副翼操纵系统部分还必须按单个切向力进行设计,此切向力的限制值等于表中确定的力偶力的1.25倍。
D为驾驶盘直径,米(英寸)。
非对称力必须作用在驾驶盘周缘的一个正常握点上。
第25.399条 双操纵系统
(a) 双操纵系统必须按两个驾驶员反向操纵情况进行设计,此时所采用的每个驾驶员作用力不小于下述载荷:
(1) 按第25.395条所得载荷的75%;
(2) 按第25.397(c)条中规定的最小作用力。
(b) 双操纵系统必须按两个驾驶员同向施加的作用力进行设计,此时所采用的每个驾驶员作用力不小于按第25.395条所得载荷的75%。
第25.405条 次操纵系统
次操纵器件,例如机轮刹车、扰流板和调整片的操纵器件,必须按一个驾驶员很可能施于这些操纵器件的最大作用力进行设计。可以采用下列数值:
驾驶员操纵作用力限制值(次操纵器件)
[1] 限于襟翼、调整片、安定面、扰流板和起落架使用的操纵器件。
第25.407条 配平调整片的影响
配平调整片对操纵面设计情况的影响,只有在操纵面载荷受到驾驶员最大作用力的限制时才必须计入。在这些情况下,认为配平调整片朝帮助驾驶员的方向偏转,其偏转量如下:
(a) 对于升降舵配平调整片,除受止动器限制外,是在第25.333(b)条中相应的飞行包线正值部分内任一点配平飞机所要求的偏转量;
(b) 对于副翼和方向舵配平调整片,是在临界的非对称动力和受载情况下配平飞机所要求的偏转量,并要考虑适量的装配允差。
第25.409条 调整片
(a) 配平调整片 配平调整片必须设计成能承受下述载荷:当调整片效应靠驾驶员作用力(可直到第25.397(b)条中的规定值)抵住时,由调整片的调定位置、主操纵面的位置和飞机速度各种很可能的组合产生的载荷(这种组合不应超过把飞机作为一个整体时所规定的飞行载荷情况)。
(b) 平衡调整片 平衡调整片必须按与主操纵面受载情况相一致的各种偏转情况进行设计。
(c) 伺服调整片 伺服调整片必须按与主操纵面受载情况相一致的各种偏转情况进行设计,而这种偏转是在驾驶员的机动能力之内能获得的,并考虑可能的与配平调整片方向相反的操纵情况。
第25.415条 地面突风情况
(a) 操纵系统必须按下列地面突风和顺风滑行产生的操纵面载荷进行设计:
(1) 在最靠近操纵面的止动器和驾驶舱内操纵器件之间的操纵系统,必须按相应于本条(a)(2)的限制铰链力矩H的载荷进行设计。这些载荷不必超过下列数值:
(i) 每个驾驶员单独操纵时,与第25.397(c)条中的驾驶员最大作用力相对应的载荷;
(ii) 驾驶员同向施加作用力时,与每个驾驶员最大作用力的75%相对应的载荷。
(2) 最靠近操纵面的操纵系统止动器、操纵系统的锁以及在这些止动器和锁与操纵面操纵支臂之间的操纵系统零件(如果装有),必须按下列公式中得到的限制铰链力矩H(公斤米,英尺磅)进行设计,
H=0.0017KV2cS (H=0.0034KV2cS),
式中:
V=65(风速,节);
K为本条(b)中得到的地面突风情况的限制铰链力矩系数;
c为铰链线后操纵面的平均弦长(米,英尺);
S为铰链线后操纵面的面积(米2,英尺2)。
(b) 地面突风情况的限制铰链力矩系数K必须取自下表:
*K为正值表示力矩使操纵面下偏,而K为负值表示力矩使操纵面上偏。
〔中国民用航空总局2001年5月14日第三次修订〕
第25.427条 非对称载荷
(a) 对于按横向突风、偏航机动和滚转机动情况设计飞机时必须考虑到滑流及由于机翼、垂直安定面和其它气动表面气动干扰效应所产生的飞机尾翼上的非对称载荷。
(b) 必须假定平尾受到由下列情况确定的非对称载荷情况:
(1) 第25.331条的对称机动情况和第25.341(a)条的垂直突风情况最大载荷的100%分别作用于对称面一侧的平尾上;和
(2) 此载荷的80%作用于另一侧。
(c) 对平尾有大于±10°的上反角或平尾支承在垂尾上的尾翼布局,各翼面及其支承结构必须按第25.341(a)条中规定的作用于与航迹成直角的任何方位的突风速度进行设计。
(d) 必须考虑到第25.305(e)条中因抖振情况所造成的尾翼上的非对称载荷。
〔中国民用航空总局2001年5月14日第三次修订〕
第25.445条 辅助气动力面
(a) 对包括俯仰、滚转、偏航机动和第25.341(a)条中规定的作用于与航迹成直角的任何方位的突风的受载情况下,在对辅助气动力面,如外侧垂直安定面、翼尖小翼和其支承气动表面之间的气动影响显著时,应将其考虑在内。
(b)当平尾将外侧垂直安定面分成上、下两部分时,为了考虑非对称载荷,由第25.391条确定的临界垂尾载荷(单位面积载荷)还必须按下列规定施加:
(1) 平尾以上(或以下)的垂尾受到100%的载荷;
(2) 平尾以下(或以上)的垂尾受到80%的载荷。
〔中国民用航空总局2001年5月14日第三次修订〕
第25.457条 襟翼
襟翼及其操纵机构与支承结构必须按第25.345条中规定情况得出的临界载荷进行设计,并计及从某一襟翼位置和空速转换到另一襟翼位置和空速时所产生的载荷。
第25.459条 特殊装置
对于采用气动操纵面的特殊装置(例如翼缝、缝翼和扰流板),其受载情况必须由试验数据确定。
地面载荷
第25.471条 总则
(a) 载荷和平衡 对于限制地面载荷,采用下列规定:
(1) 按本分部得到的限制地面载荷,认为是施加于飞机结构的外力;
(2) 在每一规定的地面载荷情况中,外载荷必须以合理的或保守的方式与线惯性载荷和角惯性载荷相平衡。
(b) 临界重心 必须在申请合格审定的重心范围内选择临界重心。使每一起落架元件获得最大设计载荷。必须考虑前后、垂直和横向的飞机重心。如果下列两项成立,且偏离飞机中心线的重心横向位移使主起落架的载荷不超过对称受载情况下临界设计载荷的103%,则可以选用这种重心横向位移,而不必考虑其对主起落架元件载荷或对飞机结构的影响:
(1) 重心横向位移是由于旅客或货物在机身内随机布置,或由于燃油的随机非对称装载或非对称使用造成的;
(2) 按第25.1583(c)(2)条所制定的对随机可调配载重的适当装载说明,保证重心的横向位移不超过上述限制范围。
(c) 起落架尺寸数据 附录A图1示出起落架基本尺寸数据。
第25.473条 着陆载荷情况和假定
(a) 对于第25.479条至第25.485条中规定的着陆情况,假定飞机按下列情况接地:
(1) 以第25.479条和第25.481条中定义的姿态;
(2) 设计着陆重量(以最大下沉速度着陆情况中的最大重量)时的限制下沉速度为3.05米/秒(10英尺/秒);和
(3) 设计起飞重量(以减小的下沉速度着陆情况中的最大重量)时的限制下沉速度为1.83米/秒(6英尺/秒);
(4) 如果能表明飞机具有不能达到上述规定的下沉速度的设计特征,可以修改此下沉速度。
(b) 除系统或程序显著影响升力外,可假定飞机升力不超过飞机重力。
(c) 飞机和起落架载荷的分析方法至少应考虑下列要素:
(1) 起落架动态特性;
(2) 起旋和回弹;
(3) 刚体响应;
(4) 机体结构动态响应(若显著)。
(d) 起落架动态特性必须按第25.723(a)条中确定的试验来验证。
(e) 可以通过考虑滑行速度和轮胎压力的效应来确定轮胎与地面之间的摩擦系数,此摩擦系数不必大于0.8。
〔中国民用航空总局2001年5月14日第三次修订,交通运输部2016年3月17日第四次修订〕
第25.477条 起落架布置
当采用正常的操纵技术时,第25.479条至第25.485条适用于具有常规布置的前、主起落架或主、尾起落架的飞机。
第25.479条 水平着陆情况
(a) 假定飞机以水平姿态接地,与地面平行的向前速度分量在VL1到1.25VL2的范围内并处于第25.473条中规定的情况下:
(1) VL1等于相应着陆重量和标准海平面条件下的VSO(TAS);和
(2) VL2等于相应着陆重量和高度,以及比标准温度高22.8℃(41℉)的热天温度下的VSO(TAS)。
(3) 申请获准在超过10节的风速下顺风着陆,则必须研究增大接地速度的影响。
(b) 对于尾轮式飞机的水平着陆姿态,必须检查本条规定的情况。此时飞机水平基准线是水平的,按本部附录A图2。
(c) 对于本部附录A图2所示的前轮式飞机的水平着陆姿态,必须检查本条规定的情况并假定飞机处于下列姿态:
(1) 主轮接地,前轮稍离地面;和
(2) 前轮和主轮同时接地(如果在规定的下沉和向前速度下能够合理地获得这种姿态)。
(d) 除本条(a)款中规定的受载情况外,对(a)款中计算的最大地面垂直反作用力,采用下列规定:
(1) 必须将起落架和直接受影响的连接结构设计成最大地面垂直反作用力与一个向后的且不小于该最大地面垂直反作用力25%的阻力相结合。
(2) 必须考虑在侧偏着陆中可能出现的最严重的载荷组合。缺乏对此情况的更合理的分析时,应作下列研究:
(i) 应考虑一个等于第25.473条中最大地面反作用力75%的垂直载荷与分别为该垂直载荷的40%和25%的向后和侧向载荷相结合。
(ii) 假定减震器和轮胎变形相当于第25.473(a)(2)条的最大地面反作用力产生的变形的75%。不必考虑该载荷与轮胎泄气的组合情况。
(3) 认为垂直分力和阻力分力的合力作用在轮轴中心线上。
〔中国民用航空总局2001年5月14日第三次修订〕
第25.481条 尾沉着陆情况
(a) 假定飞机以尾沉姿态接地,与地面平行的向前速度分量在VL1至VL2的范围内,并在第25.473条中规定的情况下,其中:
(1) VL1等于相应着陆重量和标准海平面条件下的VSO(TAS);和
(2) VL2等于相应着陆重量和高度,以及比标准温度高22.8℃(41℉)的热天温度下的VSO(TAS)。
(3) 认为垂直分力和阻力分力的合力是作用在主轮轴的中心线上。
(b) 对于尾轮式飞机的尾沉着陆情况,假定按附录A图3,主、尾机轮同时接地,且作用于尾轮上的地面反作用力方向如下:
(1) 垂直向上;
(2) 与地平线成45°角通过轮轴指向后上方。
(c) 对于前轮式飞机的尾沉着陆情况,假定飞机姿态按附录A图3相应于失速迎角,或相应于除主轮外飞机所有部分均不触地时所允许的最大迎角,两者中取小者。
〔中国民用航空总局2001年5月14日第三次修订〕
第25.483条 单起落架着陆情况
对于单起落架着陆情况,假定按本部附录A图4飞机处于水平姿态,以一个主起落架接地,在这种姿态下采用下列规定:
(a) 地面反作用力必须与按第25.479(d)(1)条规定得到的该侧载荷相同;
(b) 每一不平衡的外侧载荷必须由飞机的惯性力以合理的或保守的方式予以平衡。
〔中国民用航空总局2001年5月14日第三次修订〕
第25.485条 侧向载荷情况
除第25.479(d)(2)条外,还应考虑下列情况:
(a) 对于侧向载荷情况,假定按附录A图5,飞机处于水平姿态,仅以主轮接地。
(b) 向内作用且等于垂直反作用力80%的侧向载荷(在一侧)和向外作用且等于垂直反作用力60%的侧向载荷(在另一侧)必须与在水平着陆情况下得到的最大地面垂直反作用力的一半相组合。假定这些载荷作用在轮胎接地点上并为飞机的惯性力所平衡。可以假定阻力载荷为零。
〔中国民用航空总局2001年5月14日第三次修订〕
第25.487条 回跳着陆情况
(a) 起落架及其支承结构,必须按飞机从着陆表面回跳过程中出现的载荷进行检查。
(b) 在起落架完全伸出但不与地面接触情况下,20.0的载荷系数必须作用在起落架非弹起部份上,此载荷系数的作用方向必须与非弹起部分相对于起落架弹起部分伸出到极限位置时的运动方向相一致。
第25.489条 地面操纵情况
除非另有规定,起落架和飞机结构必须按第25.491条至第25.509条中的情况进行检查。此时,飞机为设计机坪重量(地面操作情况的最大重量),不考虑机翼升力,可以假定起落架减震支柱和轮胎处于静态位置。
第25.491条 滑行、起飞和着陆滑跑
在相应的地面速度和批准的重量范围内,假定飞机结构和起落架承受不小于飞机在正常运行时可以合理预期的最粗糙地面上得到的载荷。
〔中国民用航空总局2001年5月14日第三次修订〕
第25.493条 滑行刹车情况
(a) 假定按附录A图6,尾轮式飞机处于水平姿态,载荷作用在主轮上。飞机限制垂直载荷系数,在设计着陆重量时为1.2,在设计机坪重量时为1.0。阻力载荷(等于垂直反作用力乘以数值为0.8的摩擦系数)必须与地面垂直反作用力相组合,并作用在轮胎接地点上。
(b) 对于前轮式飞机,限制垂直载荷系数,在设计着陆重量时为1.2,在设计机坪重量时为1.0。阻力载荷(等于垂直反作用力乘以数值为0.8的摩擦系数)必须与地面垂直反作用力相组合,并作用在每个带刹车机轮的接地点上,按附录A图6,必须考虑下列两种姿态:
(1) 所有机轮都接地的水平姿态,载荷分配给主起落架和前起落架,并假定俯仰加速度为零;
(2) 仅以主轮接地的水平姿态,俯仰力矩由角惯性力平衡。
(c) 如果证实在每一很可能的受载情况下,有效阻力载荷均不能达到垂直反作用力的80%,则可取低于本条规定的阻力载荷。
(d) 装有前起落架的飞机必须承受由于突然施加的最大刹车力使飞机动态俯仰运动而产生的载荷。假定飞机在设计起飞重量下,前起落架和主起落架接地并且稳态垂直载荷系数为1.0。稳态前起落架反作用力必须与本条(b)和(c)所规定的由于突然施加最大刹车力而产生的最大前起落架垂直反作用力增量相组合。
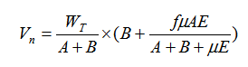
(e) 在缺乏更合理的分析的情况下,本条(d)所规定的前起落架垂直反作用力必须依照下式计算:
式中:
Vn为前起落架垂直反作用力;
WT为设计起飞重量;
A为飞机重心与前起落架之间的水平距离;
B为主轮中心连线与飞机重心间的水平距离;
E为在1.0g静态情况飞机重心距地面的垂直高度;
μ为摩擦系数,取0.8;
f为动态响应系数;除能证实更低的系数外,采用2.0。在缺乏其它资料的情况下,可由下式确定动态响应系数f;
f=1+exp((-πξ)/(1-ξ2)1/2)
式中:
ξ为针对主起落架有效接地点的刚体俯仰模态的有效临界阻尼比。
〔中国民用航空总局2001年5月14日第三次修订,交通运输部2016年3月17日第四次修订〕
第25.495条 转弯
按附录A图7,假定飞机处于静态位置,用操纵前起落架或采用足够的发动机动力差的方法进行定常转弯,以使作用在重心处的限制载荷系数在垂直方向为1.0,在横向为0.5。每一个机轮的侧向地面反作用力必须是垂直反作用力的50%。
第25.497条 尾轮侧偏
(a) 假定等于尾轮静载荷的地面垂直反作用力与等值的侧向分力相组合。
(b) 如果尾轮可偏转,则假定尾轮相对飞机纵轴转动90度,其合成载荷通过轮轴。
(c) 如果装有锁、转向操纵装置或减摆器,仍假定尾轮处于拖曳位置,且侧向载荷作用于轮胎接地点上。
第25.499条 前轮侧偏与操纵
(a) 假定飞机重心处的垂直载荷系数为1.0,前轮接地点处的侧向分力等于该处地面垂直反作用力的80%。
(b) 假定在使用一侧主起落架刹车而产生的载荷情况下飞机处于静态平衡,前起落架及其连接结构和重心以前的机身结构,必须按下列载荷设计:
(1) 飞机重心处的垂直载荷系数为1.0;
(2) 飞机重心处向前作用的载荷为一侧主起落架上垂直载荷的80%;
(3) 作用于前起落架接地点处的侧向载荷和垂直载荷是为保持静态平衡所需的载荷;
(4) 飞机重心处的侧向载荷系数为零。
(c) 如果本条(b)款规定的载荷导致前起落架的侧向载荷超过前起落架垂直载荷的80%,则可以把设计前起落架的侧向载荷限制为垂直载荷的80%,而未被平衡的侧偏力矩假定由飞机的惯性力所平衡。
(d) 除前起落架及其连接结构和前机身结构以外的其它结构,受载情况即为本条(b)款规定的情况,但作如下补充:
(1) 如果在每一很可能的受载情况下,有效阻力载荷均不能达到垂直反作用力的80%,则可取用较低的阻力载荷;和
(2) 重心处向前作用的载荷,不必超过按第条25.493(b)规定的作用于一个主起落架上的最大阻力载荷。
(e) 在设计前起落架及其连接结构和前机身结构时,必须考虑正常满操纵扭矩和等于前起落架最大静态反作用力1.33倍的垂直力的组合作用,此时,取飞机设计机坪重量,前起落架处于任一转向操纵位置。
〔中国民用航空总局2001年5月14日第三次修订〕
第25.503条 回转
(a) 假定飞机绕一侧主起落架回转,且该侧的刹车刹住。限制垂直载荷系数必须为1.0,摩擦系数为0.8。
(b) 假定按附录A图8飞机处于静态平衡,而载荷作用在轮胎接地点上。
第25.507条 倒行刹车
(a) 飞机必须处于三点静止地面姿态,与地面平行的向前水平反作用力必须施加在每个带刹车机轮的接地点上,此限制载荷必须等于每一机轮垂直截荷的55%,或等于由1.2倍名义最大静刹车扭矩产生的载荷。两者中取小值。
(b) 对于前轮式飞机,俯仰力矩必须由角惯性力平衡。
(c) 对于尾轮式飞机,地面反作用力的合力必须通过飞机重心。
〔交通运输部2016年3月17日第四次修订〕
第25.509条 牵引载荷
(a) 本条(d)规定的牵引载荷必须分别考虑。这些载荷必须施加于牵引接头上,且平行于地面。此外,采用下列规定:
(1) 作用于重心处的垂直载荷系数必须等于1.0;
(2) 减震支柱和轮胎必须处于其静态位置;
(3) WT为设计机坪重量,牵引载荷FTOW取下列数值:
(i) 0.3WTg(牛顿),对WT小于13,600公斤的飞机;
(ii) [(6WT+204,100)/70]×g(牛顿),对WT在13,600公斤到45,400公斤的飞机;
(iii) 0.15WTg(牛顿),对WT超过45,400公斤的飞机;
公制:
(i) 0.3WT(公斤),对WT小于13,600公斤的飞机;
(ii) (6WT+204,100)/70(公斤),对WT在13,600公斤到45,400公斤的飞机;
(iii) 0.15WT(公斤),对WT超过45,400公斤的飞机;
英制:
(i) 0.3WT(磅),对WT小于30,000磅的飞机;
(ii) (6WT+450,000)/7(磅),对WT在30,000磅到100,000磅的飞机;
(iii) 0.15WT(磅),对WT超过100,000磅的飞机;
(b) 对于牵引点不在起落架上但靠近飞机对称平面的情况,采用为辅助起落架规定的阻力和侧向牵引载荷分量。对于牵引点位于主起落架外侧的情况,采用为主起落架规定的阻力和侧向牵引载荷分量,在不能达到规定的旋转角时,必须采用可能达到的最大旋转角。
(c) 本条(d)规定的牵引载荷必须受到如下的反作用:
(1) 在主起落架上的牵引载荷的侧向分量,必须受到侧向力反作用,该侧向力作用于承受此载荷的机轮的静地面线上:
(2) 在辅助起落架上的牵引载荷以及在主起落架上的牵引载荷的阻力方向分量,必须受到下述载荷的反作用:
(i) 在承受牵引载荷的机轮轴线上,必须施加一个反作用力,其最大值等于垂直反作用力,为达到平衡,必须施加足够的飞机惯性力;
(ii) 所有载荷必须由飞机惯性力相平衡。
(d) 规定的牵引载荷如下:
第25.511条 地面载荷:多轮起落架装置上的非对称载荷
(a) 总则 假定多轮起落架装置承受本分部本条(b)至(f)规定的限制地面载荷。此外,采用下列规定:
(1) 串列支柱式起落架结构是一种多轮装置;
(2) 依据本条(b)至(f)确定起落架装置的总载荷时,可以忽略因轮组上载荷非对称分配所引起的载荷合力作用点的横向位移。
(b) 限制载荷在轮组上的分布、充气轮胎 对于每一着陆、滑行和地面操作情况,必须计及下列因素的影响来确定起落架轮组上限制载荷的分配:
(1) 机轮数目及其实际排列。对于车架式起落架装置,在确定前、后各对机轮的最大设计载荷时,必须考虑着陆撞击过程中车架的任何跷板运动的影响;
(2) 由于制造允差、轮胎膨胀和轮胎磨损的组合引起的各轮胎直径的任何差异。可以假定轮胎直径的最大差异等于计及制造允差、轮胎膨胀和轮胎磨损以后得到的各种直径变化最不利组合的2/3;
(3) 任何不等的轮胎充气压力,假定最大变化量为轮胎名义充气压力的±5%;
(4) 拱度为零的跑道,以及可近似表示为与水平面成1.5%斜率的上拱型跑道。对前起落架装置,路拱的影响必须按位于路拱每一侧斜坡上的状态来考虑;
(5) 飞机姿态;
(6) 任何结构变位。
(c) 泄气轮胎 必须根据本条(d)至(f)规定的载荷情况考虑泄气轮胎对结构的影响,并计及机轮的实际排列情况。此外,采用下列规定:
(1) 对于多轮起落架装置,必须考虑其中任何一个轮胎泄气,对于有四个或更多机轮的起落架装置,必须考虑其中任何两个临界轮胎的泄气;
(2) 地面反作用力必须施加在轮胎充气的那些机轮上。但是,对于有一个以上减震支柱的多轮起落架装置,可以考虑由于轮胎泄气引起的减震支柱伸出长度的差异,把地面反作用力合理地分配给泄气和充气轮胎。
(d) 着陆情况 对于有一个和两个轮胎泄气的情况,施加于每个起落架装置上的载荷,假定分别为每一规定着陆情况中作用在每一起落架的限制载荷的60%和50%。但是,对于第25.485条侧向载荷情况,必须施加垂直载荷的100%。
(e) 滑行和其它地面操作情况 对于有一个和两个轮胎泄气的情况,采用下列规定:
(1) 重心处施加的侧向载荷系数或阻力载荷系数或同时作用的此两者,必须是最临界的数值,其值可分别达到规定的滑行和其它地面操作情况中最严重情况的限制载荷系数(限制侧向载荷系数或限制阻力载荷系数或同时作用的此两者)的50%(一轮泄气)和40%(两轮泄气);
(2) 对于第25.493(a)和(b)(2)条的滑行刹车情况,每个充气轮胎上的阻力载荷,不得小于无泄气轮胎载荷对称分配时每个轮胎上的阻力载荷;
(3) 重心处的垂直载荷系数必须分别为无泄气轮胎时载荷系数的60%(一轮泄气)和50%(两轮泄气),但不得小于1.0;
(4) 不必考虑回转情况。
(f) 牵引情况 对于有一个和两个泄气轮胎的情况,牵引载荷FTOW必须分别为规定载荷的60%和50%。
〔交通运输部2016年3月17日第四次修订〕
第25.519条 顶升和系留装置
(a) 总则 飞机必须设计成在最临界的重量和重心组合情况下,能够承受本条(b)和(当适用时)本条(c)的地面静载荷情况所引起的限制载荷。必须规定每个千斤顶垫的最大允许限制载荷。
(b) 顶升 飞机上必须有顶升用的设施,当飞机支承于千斤顶上时,这些设施必须能承受下列限制载荷:
(1) 当由起落架顶升飞机的最大停机坪重量时,飞机结构必须设计成能承受单独作用于每个顶升点的垂直静反作用力1.33倍的垂直载荷,以及该垂直载荷与0.33倍垂直静反作用力的沿任何方向作用的水平载荷的组合;
(2) 当由飞机其它结构顶升飞机的最大批准顶升重量时:
(i) 飞机结构必须设计成能承受单独作用于每个顶升点的垂直静反作用力1.33倍的垂直载荷,以及该垂直载荷与0.33倍垂直静反作用力的沿任何方向作用的水平载荷的组合;
(ii) 千斤顶垫与局部结构必须设计成能承受单独作用于每个顶升点的垂直静反作用力2.0倍的垂直载荷,以及该垂直载荷与0.33倍垂直静反作用力的沿任何方向作用的水平载荷的组合;
(c) 系留 提供系留点时,主系留点及局部结构必须能承受任何方向的120公里/小时(65节)水平风引起的限制载荷。
〔中国民用航空总局1995年12月18日第二次修订,交通运输部2016年3月17日第四次修订〕
水载荷
第25.521条 总则
(a) 水上飞机必须根据在很可能遇到的最恶劣海上条件下正常运行时很可能出现的任何姿态,以相应的向前和下沉速度起飞和着水过程中所产生的水载荷进行设计。
(b) 除非对水载荷作出更合理的分析,否则采用第25.523条至第25.537条的规定。
(c) 本条和第25.523条至第25.537条的要求也适用于水陆两用机。
第25.523条 设计重量和重心位置
(a) 设计重量 必须在直到设计着水重量的各种运行重量下满足水载荷要求。但对于第25.531条中所述的起飞情况,必须采用水面设计起飞重量(水面滑行和起飞滑跑的最大重量)。
(b) 重心位置 必须考虑在申请合格审定的重心限制范围内的临界重心,以获得水上飞机结构每一部分的最大设计载荷。
第25.525条 载荷的假定
(a) 除非另有规定,否则假定水上飞机作为一个整体承受与第25.527条规定的载荷系数相应的载荷。
(b) 在施加按第25.527条中规定的载荷系数得到的载荷时,可以用不小于第25.533(b)条中规定的压力把该载荷分布于整个船体或主浮筒的底部(以避免在水载荷作用部位出现过大的局部剪切载荷和弯矩)。
(c) 对于双浮筒水上飞机,每个浮筒必须作为一架假想的水上飞机的一个等效船体,其重量等于该双浮筒水上飞机重量的一半。
(d) 除第25.531条的起飞情况外,在着水时,假定水上飞机的气动升力为水上飞机重力的2/3。
第25.527条 船体和主浮筒载荷系数
(a) 水面反作用载荷系数nw必须以下列方法计算:
(1) 对于断阶着水情况:

(2)对于船首和船尾着水情况:

式中:
nw为水面反作用载荷系数(即水面反作用力除以水上飞机重力);
C1=0.00922(公制:C1=0.00922;英制:C1=0.012),为水上飞机操纵经验系数(但此系数不得小于为获得断阶载荷系数最小值2.33所需要的数值);
VSO为襟翼打开在相应的着水位置,不考虑滑流影响的水上飞机失速速度,节;
β为在确定载荷系数的纵向站位处的斜升角,度,按附录B图1;
W为水上飞机设计着水重量,公斤(磅);
K1为船体站位的经验加权系数,按附录B图2;
rx为平行于船体基准轴,从水上飞机重心到进行载荷系数计算的船体纵向站位的距离与水上飞机的俯仰回转半径之比。船体基准轴为一条在对称平面内与主断阶处龙骨相切的直线。
(b)对于双浮筒水上飞机,由于浮筒与水上飞机连接的柔性影响,可以将船首和船尾处的系数K1减少到附录B图2所示值的80%,这种减少仅适用于传力构架和水上飞机机体结构的设计。
第25.529条 船体和主浮筒着水情况
(a) 对称断阶、船首和船尾着水 对于对称断阶、船首和船尾着水,水面反作用限制载荷系数按第25.527条计算确定。此外,采用下列规定:
(1) 对于对称断阶着水,水载荷的合力必须在龙骨上,通过重心且与龙骨线垂直;
(2) 对于对称船首着水,水载荷的合力必须作用在从船首到断阶的纵向距离1/5处的龙骨上,且与龙骨线垂直;
(3) 对于对称船尾着水,水载荷的合力必须作用在从断阶到尾柱的纵向距离85%处的龙骨上,且与龙骨线垂直。
(b) 非对称着水:船体式水上飞机和单浮筒水上飞机 必须检查非对称的断阶、船首和船尾着水情况。此外,采用下列规定:
(1) 每一情况的载荷均由向上分量和侧向分量组成,其值分别等于相应的对称着水情况合力乘以0.75和0.25tanβ;
(2) 载荷向上分量的作用点和方向与对称情况相同,侧向分量的作用点在向上分量的同一纵向站位处,作用于龙骨线和舭线之间的中点,但方向朝内并垂直于对称平面。
(c) 非对称着水:双浮筒水上飞机 非对称载荷由作用于每一浮筒断阶处的向上载荷和仅作用于一个浮筒上的侧向载荷组成,其值分别等于按第25.527条获得的断阶着水载荷乘以0.75和0.25tanβ。侧向载荷作用在浮筒龙骨线和舭线之间的中点,位于与向上载荷相同的纵向站位处,但方向朝内并垂直于对称平面。
第25.531条 船体和主浮筒起飞情况
对于机翼及其与船体或主浮筒的连接,采用下列规定:
(a) 假定机翼的气动升力为零;
(b) 必须施加向下的惯性载荷,其对应的载荷系数按下式计算:

式中:
n为惯性载荷系数;
CTO=0.00307(公制:CTO=0.00307;英制:CTO=0.004),为水上飞机操作经验系数;
VS1为襟翼打开在相应的起飞位置,在水面设计起飞重量下的水上飞机失速速度,节;
β为主断阶处的斜升角,度;
W为水上设计起飞重量,公斤(磅)。
第25.533条 船体和主浮筒底部压力
(a) 总则 必须按本条规定设计船体和主浮筒结构,包括构架、隔框、长桁和底板。
(b) 局部压力 对于底板、长衍及其与支承结构连接的设计,必须采用下列的压力分布:
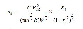
(1) 对于无舭弯的船底,舭处的压力为龙骨处压力的75%,龙骨与舭之间的压力按附录B图3成线性变化。龙骨处的压力按下式计算:

式中:
Pk为龙骨上的压力,帕(公斤/厘米2;磅/英寸2);
C2=14.7(公制:C2=0.00015;英制:C2=0.00213);
K2为船体站位加权系数,按附录B图2;
VS1为襟翼打开在相应的起飞位置,水面设计起飞重量下的水上飞机失速速度,节;
βk为在龙骨处的斜升角,度,按附录B图1。
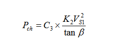
(2) 对于带舭弯的船底,舭弯起点处的压力与无舭弯船底的压力相同。舭和舭弯起点之间的压力按附录B图3成线性变化。压力分布与本条(b)(1)无舭弯船底的规定相同,但舭处的压力按下式计算:

式中:
Pch为舭处的压力,帕(公斤/厘米2;磅/英寸2);
C3=11.0(公制:C3=0.000113;英制:C3=0.0016);
K2为船体站位加权系数,按附录B图2;
VS1为襟翼打开在相应的起飞位置,水面设计起飞重量下的水上飞机失速速度,节;
β为相应站位处的斜升角,度。
在压力作用区域内必须模拟船体或浮筒受高度集中的撞击时所产生的压力,但不必扩大到对框架或整个结构会引起关键性应力的那些区域。
(c) 压力分布 对于框架、龙骨和舭结构的设计,采用下列压力分布:
(1) 对称压力按下式计算:

式中:
P为压力,帕(公斤/厘米2;磅/英寸2);
C4=700.0C1(公制:C4=0.00549C1;英制:C4=0.078C1)。C1按第25. 527条计算;
K2为船体站位加权系数,按附录B图2;
VS0为襟翼打开在相应的着水位置,不考虑滑流影响的水上飞机失速速度,节;
β为相应站位处的斜升角,度。
(2) 非对称压力分布由本条(c)(1)规定的作用在船体或主浮筒中心线一侧的压力和作用在船体或主浮筒中心线另一侧的该压力的一半组成,按附录B图3。
这些压力是均匀的,且必须同时作用于整个船体或主浮筒底部,所得到的载荷必须传给船体本身的侧壁结构,但不必作为剪切和弯曲载荷向前后传递。
第25.535条 辅助浮筒载荷
(a) 总则 辅助浮筒和其连接以及支承结构,必须按本条规定的情况进行设计。在本条(b)至(e)规定的情况中,为避免局部载荷过大,可将规定的水载荷分布于整个浮筒底部,所采用的底部压力不小于本条(g)规定的数值。
(b) 断阶载荷 水载荷的合力必须作用在浮筒的对称平面内,作用点位于从筒首到断阶的距离的3/4处,方向必须与龙骨垂直,限制载荷的合力按下式计算,但L值不必超过浮筒完全浸没时排水量的三倍:

式中:
L为限制载荷,牛顿(公斤;磅);
C5=0.0399(公制:C5=0.00898;英制:C5=0.0053);
VSO为襟翼打开在相应的着水位置,不考虑滑流影响的水上飞机失速速度,节;
W为水上飞机设计着水重量,公斤(磅);
βS为从筒首到断阶的距离的3/4站位处的斜升角,但不必小于15度;
ry为重心和浮筒对称面之间的横向距离与滚转时的回转半径之比。
(c) 筒首载荷 限制载荷的合力必须作用在浮筒的对称平面内,作用点位于筒首到断阶的距离的1/4处;方向必须与通过该点的龙骨线的切线垂直,载荷合力的大小为本条(b)规定的值。
(d) 非对称断阶载荷 水载荷的合力由等于本条(b)规定载荷的75%的向上分量和等于本条(b)规定载荷乘以0.25tanβ的侧向分量组成。侧向载荷必须作用于龙骨和舭之间的中点并垂直于浮筒的对称平面。
(e) 非对称筒首载荷 水载荷的合力由等于本条(c)规定载荷的75%的向上分量和等于本条(c)规定载荷乘以0.25tanβ的侧向分量组成。侧向载荷必须作用于龙骨和舭之间的中点并垂直于浮筒的对称平面。
(f) 浮筒浸没情况 载荷的合力必须作用在浮筒横截面的形心上,且位于从筒首到断阶的距离的1/3处,限制载荷分量如下:

式中:
ρ为水的质量密度,公斤/米3(公斤·秒2/米4;斯勒格/英尺3);
V为浮筒体积,米3(英尺3);
Cx=0.0124(公制:Cx=0.0124;英制:Cx=0.133),阻力系数;
Cy=0.0098(公制:Cy=0.0098;英制:Cy=0.106),侧向力系数;
K=0.8,如果表明,在正常操作情况下,速度为0.8VSO时浮筒不能浸没,则可用较小的数值;
VSO为襟翼打开在相应的着水位置,不考虑滑流影响的水上飞机失速速度,节;
g为重力加速度,米/秒2(英尺/秒2);
(g) 浮筒底部压力 浮筒底部压力必须根据第25.533条制定,但公式中的K2值取为1.0。用以确定浮筒底部压力的斜升角按本条(b)规定。
第25.537条 水翼载荷
用于设计的水翼载荷必须根据适用的试验数据得出。
应急着陆情况
第25.561条 总则
(a) 尽管飞机在陆上或水上应急着陆情况中可能损坏,但飞机必须按本条规定进行设计,以在此情况下保护乘员。
(b) 结构的设计必须能在轻度撞损着陆过程中并在下列条件下,给每一乘员以避免严重受伤的一切合理机会:
(1) 正确使用座椅、安全带和所有其它为安全设计的设备;
(2) 机轮收起(如果适用);
(3) 乘员分别经受到下列每一项相对于周围结构的极限惯性载荷系数:
(i) 向上,3.0g;
(ii) 向前,9.0g;
(iii) 侧向,对于机身为3.0g;对于座椅及其连接件为4.0g;
(iv) 向下,6.0g;
(v) 向后,1.5g。
(c) 设备、客舱中的货物和其它大件物品应符合下列要求:
(1) 除了本条(c)(2)中的要求之外,必须妥善安置这些物体,如果松脱也不太可能:
(i) 直接伤及乘员;
(ii) 穿透油箱、管路或损坏相邻系统而引发火灾或伤害性的爆炸;
(iii) 使应急着陆后使用的任何撤离设施失效。
(2) 如果这种安置方式(例如,机身安装的发动机或辅助动力装置)不可行的话,则这种设计应能在本条(b)(3)所确立的载荷条件下固定住每一物件。若这些物件因为经常拆卸而承受严重磨损和撕拉(例如:快速更换内部物件)那么这些局部连接设计应可承受1.33倍的规定载荷。
(d) 在直到本条(b)(3)所规定的各种载荷作用下,座椅和物件(及其支撑结构)不得变形以至妨碍乘员相继迅速撤离。
〔中国民用航空总局1990年7月18日第一次修订,2001年5月14日第三次修订,交通运输部2016年3月17日第四次修订〕
第25.562条 应急着陆动力要求
(a) 座椅和约束系统必须设计成在应急着陆时并在下列条件下能保护乘员:
(1) 正确使用在设计中规定得有的座椅、安全带和肩带;
(2) 乘员受到本条规定条件所产生的载荷。
(b) 凡批准在起飞和着陆时用于机组成员和乘客的每种座椅型号设计,必须按照下述每一应急着陆条件,成功地完成动力试验,或根据类似型号座椅的动力试验结果经合理分析给予证明。进行动力试验,必须用适航当局认可的拟人试验模型(ATD)模拟乘员,其名义重量为77公斤(170磅),坐在正常的向上位置。
(1) 向下垂直速率变化(ΔV)不得小于10.7米/秒(35英尺/秒);飞机纵轴相对于水平面向下倾斜30度且机翼呈水平状态,在地板处产生的最大负加速度必须在撞击后0.08秒内出现,并且至少达到14.0g。
(2) 向前纵向速率变化(ΔV)不得小于13.4米/秒(44英尺/秒),飞机纵轴水平且向右或向左偏摆10度。取最有可能使上部躯干约束系统(在安装的情况下)脱离乘员肩部的方向,同时机翼呈水平状态。在地板处产生的最大负加速度必须在撞击后0.09秒内出现,并且必须至少达到16.0g。若使用地板导轨或地板接头将座椅连接到试验装置上,则导轨或接头相对于相邻的导轨或接头必须在垂直方向至少偏移10度(即不平行)并且滚转10度。
(c) 在按本条(b)进行动力试验时,下述性能测量值不得超出:
(1) 在机组成员使用上部躯干系带的情况下,单系带上的拉伸载荷不得超过7,784牛(793公斤,1,750磅)。如果使用双系带约束上部躯干,则系带总拉伸载荷不得超过8,896牛(906公斤,2,000磅)。
(2) 在拟人模型骨盆和腰部脊柱之间测得的最大压缩载荷不得超过6,672牛(680公斤,1,500磅)。
(3) 上部躯干约束系带(在安装的情况下)在撞击时必须保持在乘员肩上。
(4) 在撞击时安全带必须保持在乘员骨盆处。
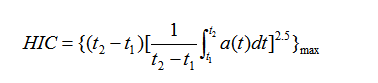
(5) 在本条(b)规定的条件下,必须保护每一乘员使头部免受严重伤害。在头部可能触及座椅或其它构件的情况下,必须提供保护措施以使头部伤害判据(HIC)不超过1,000。头部伤害判据(HIC)由下式确定:

式中:
t1——积分初始时间(秒);
t2——积分终止时间(秒);
a(t)——头部撞击总加速度对时间的关系曲线(a用g的倍数表示)。
(6) 在可能与座椅或其它构件碰撞导致腿部受伤的情况下,必须提供防护措施使每一股骨上的轴向压缩载荷不超过10,008牛(1,019公斤,2,250磅)。
(7) 尽管结构可能屈服,但座椅必须始终连接在所有连接点上。
(8) 在本条(b)(1)和(b)(2)规定的试验中,座椅不得屈服变形到阻碍飞机乘员迅速撤离的程度。
〔中国民用航空总局1990年7月18日第一次修订,交通运输部2016年3月17日第四次修订〕
第25.563条 水上迫降的结构要求
水上迫降要求的结构强度,必须按第25.801(e)条的规定来考虑。
疲劳评定
第25.571条 结构的损伤容限和疲劳评定
(a) 总则 对强度、细节设计和制造的评定必须表明,飞机在整个使用寿命期间将避免由于疲劳、腐蚀、制造缺陷或意外损伤引起的灾难性破坏。对可能引起灾难性破坏的每一结构部分(诸如机翼、尾翼、操纵面及其系统,机身、发动机架、起落架、以及上述各部分有关的主要连接),除本条(c)规定的情况以外,必须按本条(b)和(e)的规定进行这一评定。对于涡轮喷气飞机,可能引起灾难性破坏的结构部分,还必须按本条(d)评定。此外,采用下列规定:
(1) 本条要求的每一评定,必须包括下列各点:
(i) 服役中预期的典型载荷谱、温度和湿度;
(ii) 判明其破坏会导致飞机灾难性破坏的主要结构元件和细节设计点;
(iii) 对本条(a)(1)(ii)判明的主要结构元件和细节设计点,进行有试验依据的分析。
(2) 在进行本条要求的评定时,可以采用结构设计类似的飞机的服役历史,并适当考虑它们在运行条件和方法上的差别;
(3) 根据本条要求的评定,必须制订为预防灾难性破坏所必须的检查工作或其它程序,并必须将其载入第25.1529条要求的“持续适航文件”中的“适航限制章节”中。对于下列结构类型,必须在裂纹扩展分析和/或试验的基础上建立其检查门槛值,并假定结构含有一个制造或使用损伤可能造成的最大尺寸的初始缺陷:
(i) 单传力路径结构;和
(ii) 多传力路径“破损-安全”结构以及“破损-安全”止裂结构,如果不能证明在剩余结构失效前传力路径失效、部分失效或止裂在正常维修、检查或飞机的使用中能被检查出来并得到修理的话。
(b) 损伤容限评定 评定必须包括确定因疲劳、腐蚀或意外损伤引起的预期的损伤部位和型式,评定还必须结合有试验依据和服役经验(如果有服役经验)支持的重复载荷和静力分析来进行。如果设计的结构有可能产生广布疲劳损伤,则必须对此作出特殊考虑。必须用充分的全尺寸疲劳试验依据来证明在飞机的设计使用目标寿命期内不会产生广布疲劳损伤。型号合格证可以在全尺寸疲劳试验完成前颁发,前提是适航当局已批准了为完成所要求的试验而制定的计划,并且在本部第25.1529条要求的持续适航文件适航限制部分中规定,在该试验完成之前,任何飞机的使用循环数不得超过在疲劳试验件上累积的循环数的一半。在使用寿命期内的任何时候,剩余强度评定所用的损伤范围,必须与初始的可觉察性以及随后在重复载荷下的扩展情况相一致。剩余强度评定必须表明,其余结构能够承受相应于下列情况的载荷(作为极限静载荷考虑):
(1) 限制对称机动情况,在直到VC的所有速度下按第25.337条的规定,以及按第25.345条的规定;
(2) 限制突风情况,在直到VC的速度下按第25.341条的规定,以及按第25.345条的规定;
(3) 限制滚转情况,按第25.349条的规定;限制非对称情况按第25.367条的规定,以及在直到VC的速度下,按第25.427(a)到(c)条的规定;
(4) 限制偏航机动情况,按第25.351(a)条对最大到VC诸规定速度下的规定;
(5) 对增压舱,采用下列情况:
(i) 正常使用压差和预期的外部气动压力相组合,并与本条(b)(1)到(4)规定的飞机载荷情况同时作用(如果后者有重要影响);
(ii) 正常使用压差的最大值(包括1g平飞时预期的外部气动压力)的1.15倍,不考虑其它载荷。
(6) 对于起落架和直接受其影响的机体结构,按第25.473、25.491和25.493条规定的限制地面载荷情况。
如果在结构破坏或部分破坏以后,结构刚度和几何形状,或此两者有重大变化,则必须进一步研究它们对损伤容限的影响。
(c) 疲劳(安全寿命)评定 如果申请人确认,本条(b)对损伤容限的要求不适用于某特定结构,则不需要满足该要求。这些结构必须用有试验依据的分析表明,它们能够承受在其服役寿命期内预期的变幅重复载荷作用而没有可觉察的裂纹。必须采用合适的安全寿命分散系数。
(d) 声疲劳强度 必须用有试验依据的分析,或者用具有类似结构设计和声激励环境的飞机的服役历史表明下列两者之一:
(1) 承受声激励的飞行结构的任何部分不可能产生声疲劳裂纹;
(2) 假定本条(b)规定的载荷作用在所有受疲劳裂纹影响的部位,声疲劳裂纹不可能引起灾难性破坏。
(e) 损伤容限(离散源)评定 在下列任一原因很可能造成结构损伤的情况下,飞机必须能够成功地完成该次飞行。
(1) 受到1.80公斤(4磅)重的鸟的撞击,飞机与鸟沿着飞机飞行航迹的相对速度取海平面VC或2,450米(8,000英尺)0.85VC,两者中的较严重者;
(2) 风扇叶片的非包容性撞击;
(3) 发动机的非包容性破坏;
(4) 高能旋转机械的非包容性破坏。
损伤后的结构必须能够承受飞行中可合理预期出现的静载荷(作为极限载荷考虑)。不需要考虑对这些静载荷的动态影响。必须考虑驾驶员在出现事故后采取的纠正动作,诸如限制机动,避开紊流以及降低速度。如果在结构破坏或部份破坏以后引起结构刚度或几何形状,或此两者有重大变化,则须进一步研究它们对损伤容限的影响。
〔中国民用航空总局2001年5月14日第三次修订,交通运输部2016年3月17日第四次修订〕
闪电防护
第25.581条 闪电防护
(a) 飞机必须具有防止闪电引起的灾难性后果的保护措施。
(b) 对于金属组件,下列措施之一可表明符合本条(a)的要求:
(1) 该组件合适地搭接到飞机机体上;
(2) 该组件设计成不致因闪击而危及飞机。
(c) 对于非金属组件,下列措施之一可表明符合本条(a)的要求:
(1) 该组件的设计使闪击的后果减至最小;
(2) 具有可接受的分流措施,将产生的电流分流而不致危及飞机。
D分部 设计与构造
总则
第25.601条 总则
飞机不得有经验表明是危险的或不可靠的设计特征或细节。每个有疑问的设计细节和零件的适用性必须通过试验确定。
第25.603条 材料
其损坏可能对安全性有不利影响的零件所用材料的适用性和耐久性必须满足下列要求:
(a) 建立在经验或试验的基础上;
(b) 符合经批准的标准(如工业或军用标准,或技术标准规定),保证这些材料具有设计资料中采用的强度和其它性能;
(c) 考虑服役中预期的环境条件,如温度和湿度的影响。
第25.605条 制造方法
(a) 采用的制造方法必须能生产出一个始终完好的结构。如果某种制造工艺(如胶接、点焊或热处理)需要严格控制才能达到此目的,则该工艺必须按照批准的工艺规范执行。
(b) 飞机的每种新制造方法必须通过试验大纲予以证实。
第25.607条 紧固件
(a) 下列任一情况下,每个可卸的螺栓、螺钉、螺母、销钉或其它可卸紧固件,必须具有两套独立的锁定装置:
(1) 它的丢失可能妨碍在飞机的设计限制内用正常的驾驶技巧和体力继续飞行和着陆;
(2) 它的丢失可能使俯仰、航向或滚转操纵能力或响应下降至低于本部B分部的要求。
(b) 本条(a)规定的紧固件及其锁定装置,不得受到与具体安装相关的环境条件的不利影响。
(c) 使用过程中经受转动的任何螺栓都不得采用自锁螺母,除非在自锁装置外还采用非摩擦锁定装置。
第25.609条 结构保护
每个结构零件必须满足下列要求:
(a) 有适当的保护,以防止使用中由于任何原因而引起性能降低或强度丧失,这些原因中包括:
(1) 气候;
(2) 腐蚀;
(3) 磨损。
(b) 在必须保护的部位有通风和排水措施。
第25.611条 可达性措施
(a) 必须具有措施,使能进行为持续适航所必需的检查(包括检查主要结构元件和操纵系统)、更换正常需要更换的零件、调整和润滑。每一项目的检查方法对于该项目的检查间隔时间必须是切实可行的。如果表明无损检查是有效的并在第25.1529条要求的维护手册中规定有检查程序,则在无法进行直接目视检查的部位可以借助无损检查手段来检查结构元件。
(b) EWIS必须满足25.1719条的可达性要求。
〔交通运输部2016年3月17日第四次修订〕
第25.613条 材料的强度性能和材料的设计值
(a) 材料的强度性能必须以足够的材料试验为依据(材料应符合经批准的标准),在试验统计的基础上制定设计值。
(b) 材料的设计值必须使因材料偏差而引起结构破坏的概率降至最小。除本条(e)和(f)的规定外,必须通过选择确保材料强度具有下述概率的设计值来表明其符合性:
(1) 如果所加的载荷最终通过组件内的单个元件传递,因而该元件的破坏会导致部件失去结构完整性,则概率为99%,置信度95%。
(2) 对于单个元件破坏将使施加的载荷安全地分配到其它承载元件的静不定结构,概率为90%,置信度95%。
(c) 在飞机运行包线内受环境影响显著的至关重要的部件或结构,必须考虑环境条件,如温度和湿度,对所用材料的设计值的影响。
(d) [备用]
(e) 如果在使用前对每一单项取样进行试验,确认该特定项目的实际强度性能等于或大于设计使用值,则通过这样“精选”的材料可以采用较高的设计值。
(f) 如果经中国民用航空局适航部门批准,可以使用其它的材料设计值。
〔中国民用航空总局1995年12月18日第二次修订,交通运输部2016年3月17日第四次修订〕
第25.615条 [删除]
〔中国民用航空总局1995年12月18日第二次修订〕
第25.619条 特殊系数
对于每一结构零件,如果属于下列任一情况,则第25.303条规定的安全系数必须乘以第25.621条至第25.625条规定的最高的相应特殊安全系数:
(a) 其强度不易确定;
(b) 在正常更换前,其强度在服役中很可能降低;
(c) 由于制造工艺或检验方法中的不定因素,其强度容易有显著变化。
第25.621条 铸件系数
(a) 总则 在铸件质量控制所需的规定以外,还必须采用本条(b)至(d)规定的系数、试验和检验。检验必须符合经批准的规范,除作为液压或其它流体系统零件而要进行充压试验的铸件和不承受结构载荷的铸件外,本条(c)和(d)适用于任何结构铸件。
(b) 支承应力和支承面 本条(c)和(d)规定的铸件的支承应力和支承面,其铸件系数按下列规定:
(1) 不论铸件采用何种检验方法,对于支承应力取用的铸件系数不必超过1.25;
(2) 当零件的支承系数大于铸件系数时,对该零件的支承面不必采用铸件系数。
(c) 关键铸件 对于其损坏将妨碍飞机继续安全飞行和着陆或严重伤害乘员的每一铸件,采用下列规定:
(1) 每一关键铸件必须满足下列要求:
(i) 具有不小于1.25的铸件系数;
(ii) 100%接受目视、射线和磁粉(或渗透)检验,或经批准的等效的无损检验方法的检验。
(2) 对于铸件系数小于1.50的每项关键铸件,必须用三个铸件样品进行静力试验并表明下列两点:
(i) 在对应于铸件系数为1.25的极限载荷作用下满足第25.305条的强度要求;
(ii) 在1.15倍限制载荷的作用下满足第25.305条的变形要求。
(3) 典型的关键铸件有:结构连接接头,飞行操纵系统零件,操纵面铰链和配重连接件,座椅、卧铺、安全带、燃油箱、滑油箱的支座和连接件以及座舱压力阀。
(d) 非关键铸件 除本条(c)规定的铸件外,对于其它铸件采用下列规定:
(1) 除本条(d)(2)和(3)规定的情况外,铸件系数和相应的检验必须符合下表:
(2) 如果已制定质量控制程序并经批准,本条(d)(1)规定的非目视检验的铸件百分比可以减少;
(3) 对于按照技术条件采购的铸件(该技术条件确保铸件材料的机械性能,并规定按抽样原则从铸件上切取试件进行试验来证实这些性能),规定如下:
(i) 可以采用1.0的铸件系数;
(ii) 必须按本条(d)(1)中铸件系数为“1.25至1.50”的规定进行检验,并按本条(c)(2)进行试验。
第25.623条 支承系数
(a) 除本条(b)规定的情况外,每个有间隙(自由配合)并承受敲击或振动的零件,必须有足够大的支承系数以计及正常的相对运动的影响。
(b) 对于规定有更大的特殊系数的零件,不必采用支承系数。
第25.625条 接头系数
对于接头(用于连接两个构件的零件或端头),采用以下规定:
(a)未经限制载荷和极限载荷试验(试验时在接头和周围结构内模拟实际应力状态)证实其强度的接头,接头系数至少取1.15。这一系数必须用于下列各部分:
(1) 接头本体;
(2) 连接件或连接手段;
(3) 被连接构件上的支承部位。
(b) 下列情况不必采用接头系数:
(1) 按照批准的工艺方法制成并有全面试验数据为依据的接合(如金属钣金连续接合、焊接和木质件中的嵌接);
(2) 任何采用更大特殊系数的支承面。
(c) 对于整体接头,一直到截面性质成为其构件典型截面为止的部分必须作为接头处理;
(d) 对于每个座椅、卧铺、安全带和肩带,采用第25.785(f)(3)条规定的接头系数。
〔中国民用航空总局1995年12月18日第二次修订〕
第25.629条 气动弹性稳定性要求
(a) 总则 本条所要求的气动弹性稳定性评定包括颤振、发散、操纵反效以及任何因结构变形引起的稳定性、操纵性的过度丧失。气动弹性的评定必须包括与产生显著动态力的任何螺旋桨或旋转装置有关的旋转模态。必须通过分析、风洞试验、地面振动试验、飞行试验或中国民用航空局适航部门认为必要的其它方法来表明对本条的符合性。
(b) 气动弹性稳定性包线 飞机必须设计成在下述气动弹性稳定性包线内的所有形态和设计情况下,都不发生气动弹性的不稳定性:
(1) 对于无失效、故障或不利条件的正常情况,在将VD/MD对高度的包线上所有点的当量空速按等马赫数和等高度两种方式各放大15%后所包围的所有高度和速度的组合。此外,在直至VD/MD,的所有速度下,都必须有适当的稳定性余量,而且在接近VD/MD时,飞机的稳定性不得有大幅度的迅速减小。当所有设计高度上的MD都小于1.0时,放大后的包线可以限制在马赫数1.0;
(2) 对下面第25.629(d)条所述的情况,在所有经批准的高度,任何空速直至下述两项中确定的大者:
(i) 由第25.335(b)条确定的VD/MD包线;
(ii) 由以下条件确定的高度—空速包线:在从海平面至1.15VC线与等巡航马赫数MC线延长线交点的高度范围内,按等高度,将当量空速在VC以上放大15%,然后,在最低的VC/MC交点的高度,当量空速线性变化到MC+0.05,之后,在更高的高度直至最大飞行高度,按等高度,由MC的0.05马赫数增量所限定的边界。
(c) 配重 如果采用集中配重,则这些配重及其支持结构的有效性和强度必须得到证实。
(d) 失效、故障与不利条件 在表明对本条的符合性时必须考虑的失效、故障与不利条件为:
(1) 未被表明为极不可能的任何临界燃油装载情况,这类情况可能是由于燃油配置不当而引起的。
(2) 任何颤振阻尼器系统的任何单一失效。
(3) 对于没有批准在结冰条件下运行的飞机,由于偶然遭遇结冰条件所预期的最大可能的冰积聚。
(4) 任何发动机、独立安装的螺旋桨轴、大型辅助动力装置或大型外挂气动力物体(如外挂油箱)的支持结构的任何单个元件的失效。
(5) 对于其发动机带有螺旋桨或具有能产生显著动态力的大型旋转装置的飞机,将引起降低旋转轴刚度的发动机结构的任何单一失效。
(6) 由顺桨螺旋桨或能产生显著动态力的其它旋转装置最不利组合引起的气动力或陀螺力的丧失。此外,单个顺桨螺旋桨或旋转装置的影响必须同本条(d)(4)和(d)(5)的失效情况相耦合。
(7) 任何单个螺旋桨或能产生显著动态力的旋转装置,以可能的最大超速旋转;
(8) 第25.571条要求或选择进行审查的任何损伤或失效情况。在表明符合本条要求时,如存在下列条件,不必考虑本条(d)(4)和(d)(5)所规定的单一结构失效:
(i) 结构元件不会因第25.571(e)条所述情况造成的离散源损伤而失效;
(ii) 根据第25.571(b)条进行的损伤容限审查表明,用于剩余强度评定所假设的最大损伤程度不涉及结构元件的完全失效。
(9) 按第25.631、25.671、25.672和25.1309条考虑的任何损伤、失效或故障。
(10) 任何未表明为极不可能的其它失效、故障或不利条件的组合。
(e) 颤振飞行试验 对于新的型号设计和某型号设计的改型(除非已表明这种改型对气动弹性稳定性无重大影响)都必须进行直至VDF/MDF的各种速度下的全尺寸颤振飞行试验。这些试验必须证实飞机在直至VDF/MDF的所有速度下,都有合适的阻尼余量,以及在接近VDF/MDF时,阻尼无大幅度的迅速减小。在表明符合本条(d)的飞行试验中,如果模拟了某种失效、故障或不利条件,而且通过飞行试验数据与其它试验数据或分析之间的关系对比表明,飞机在本条(b)(2)规定的高度—空速包线内的所有速度下均不会有任何气动弹性不稳定性,则所验证的最大速度不必超过VFC/MFC。
〔中国民用航空总局1995年12月18日第二次修订〕
第25.631条 鸟撞损伤
尾翼结构的设计必须保证飞机在与3.6公斤(8磅)重的鸟相撞之后,仍能继续安全飞行和着陆,相撞时飞机的速度(沿飞机飞行航迹相对于鸟)等于按第25.335(a)条选定的海平面VC。通过采用静不定结构和把操纵系统元件置于受保护的部位,或采用保护装置(如隔板或吸能材料)来满足本条要求是可以接受的。在用分析、试验或两者的结合来表明符合本条要求的情况下,使用结构设计类似的飞机的资料是可以接受的。
操纵面
第25.651条 强度符合性的证明
(a) 对各操纵面要求进行限制载荷试验。这些试验必须包括与操纵系统连接的支臂或接头。
(b) 对操纵面铰链必须进行分析或单独的载荷试验,来表明满足第25.619至25.625条及第25.657条中规定的特殊系数要求。
第25.655条 安装
(a) 可动尾面的安装必须使得当某一尾面处在极限位置而其余各尾面作全角度范围的运动时,任何尾面之间没有干扰。
(b) 如果采用可调水平安定面,则必须有止动器将其行程限制到表明飞机能满足第25.161条配平要求的最大值。
第25.657条 铰链
(a) 对于操纵面铰链,包括滚珠、滚柱和自润滑轴承铰链,不得超过批准的轴承的载荷额定值。对于非标准的轴承铰链构型,轴承的载荷额定值必须根据经验或试验制定,在缺乏合理研究的情况下,用作轴承的最软材料的极限支承强度必须使用不小于6.67的安全系数。
(b) 对平行于铰链轴线的载荷,铰链必须有足够的强度和刚度。
〔交通运输部2016年3月17日第四次修订〕
操纵系统
第25.671条 总则
(a) 每个操纵器件和操纵系统对应其功能必须操作简便、平稳和确切。
(b) 飞行操纵系统的每一元件必须在设计上采取措施,或在元件上制出明显可辨的永久性标记,使由于装配不当而导致系统功能不正常的概率减至最小。
(c) 必须用分析、试验或两者兼用来表明,在正常飞行包线内发生飞行操纵系统和操纵面(包括配平、升力、阻力和感觉系统)的下列任何一种故障或卡阻后,不要特殊的驾驶技巧或体力,飞机仍能继续安全飞行和着陆。可能出现的功能不正常必须对操纵系统的工作只产生微小的影响,而且必须是驾驶员能易于采取对策的:
(1) 除卡阻以外的任何单个故障(例如机械元件的脱开或损坏、或作动筒、操纵阀套和阀门一类液压组件的结构损坏);
(2) 除卡阻以外未表明是极不可能的故障的任意组合(例如双重电气系统或液压系统的故障,或任何单个损坏与任一可能的液压或电气故障的组合);
(3) 在起飞、爬升、巡航、正常转弯、下降和着陆过程中正常使用的操纵位置上的任何卡阻,除非这种卡阻被表明是极不可能的或是能够缓解的。若飞行操纵器件滑移到不利位置和随后发生卡阻不是极不可能的,则须考虑这种滑移和卡阻。
(d) 飞机必须设计成在所有发动机都失效的情况下仍可操纵。如果表明分析方法是可靠的,则可以通过分析来表明满足本要求。
〔交通运输部2016年3月17日第四次修订〕
第25.672条 增稳系统及自动和带动力的操纵系统
如果增稳系统或其它自动或带动力的操纵系统的功能对于表明满足本部的飞行特性要求是必要的,则这些系统必须符合第25.671条和下列规定:
(a) 在增稳系统或任何其它自动或带动力的操纵系统中,对于如驾驶员未察觉会导致不安全结果的任何故障,必须设置警告系统,该系统应在预期的飞行条件下无需驾驶员注意即可向驾驶员发出清晰可辨的警告。警告系统不得直接驱动操纵系统;
(b) 增稳系统或任何其它自动或带动力的操纵系统的设计,必须使驾驶员对第25.671(c)条中规定的各种故障可以采取初步对策而无需特殊的驾驶技巧或体力,采取的对策可以是切断该系统或出故障的一部分系统,也可以是以正常方式移动飞行操纵器件来超越故障;
(c) 必须表明,在增稳系统或任何其它自动或带动力的操纵系统发生任何单个故障后,符合下列规定:
(1) 当故障或功能不正常发生在批准的使用限制内且对于该故障类型是临界的任何速度或高度上时,飞机仍能安全操纵;
(2) 在飞机飞行手册中规定的实际使用的飞行包线(例如速度、高度、法向加速度和飞机形态)内,仍能满足本部所规定的操纵性和机动性要求;
(3) 飞机的配平、稳定性以及失速特性不会降低到继续安全飞行和着陆所必需的水平以下。
第25.673条 [删除]
〔中国民用航空总局1995年12月18日第二次修订〕
第25.675条 止动器
(a) 操纵系统必须设置能确实限制由该系统操纵的每一可动气动面运动范围的止动器。
(b) 每个止动器的位置,必须使磨损、松动或松紧调节不会导致对飞机操纵特性产生不利影响的操纵面行程范围的变化。
(c) 每个止动器必须能承受与操纵系统设计情况相应的任何载荷。
第25.677条 配平系统
(a) 配平操纵器件的设计必须能防止无意的或粗暴的操作,其操作方向必须在飞机的运动平面内并和飞机的运动的直感一致。
(b) 在配平操纵器件的近旁,必须设置指示装置以指示与飞机运动有关的配平操纵器件的运动方向。此外,必须有清晰易见的设施以指示配平装置在其可调范围内所处的位置。该指示装置必须清晰标记一个范围,必须经过验证在该范围内对于经批准的所有起飞重心位置起飞都是安全的。
(c) 配平操纵系统的设计必须能防止在飞行中滑移。配平调整片操纵必须是不可逆的,除非调整片已作适当的平衡并表明不会发生颤振。
(d) 如果采用不可逆的调整片操纵系统,则从调整片到不可逆装置与飞机结构连接处之间的部分必须采用刚性连接。
〔交通运输部2016年3月17日第四次修订〕
第25.679条 操纵系统突风锁
(a) 必须设置防止飞机在地面或水面时因受突风冲击而损坏操纵面(包括调整片)和操纵系统的装置。如果该装置啮合时会妨碍驾驶员对操纵面的正常操纵,则该装置必须满足下列要求之一:
(1) 当驾驶员以正常方式操纵主飞行操纵器件时能自动脱开;
(2) 能限制飞机的运行,使驾驶员在开始起飞时就获得不致误解的警告。
(b) 突风锁装置必须具有防止它在飞行中可能偶然啮合的措施。
第25.681条 限制载荷静力试验
(a) 必须按下列规定进行试验,来表明满足本部限制载荷的要求:
(1) 试验载荷的方向应在操纵系统中产生最严重的受载状态;
(2) 试验中应包括每个接头、滑轮和用以将系统连接到主要结构上的支座。
(b) 作角运动的操纵系统的关节接头,必须用分析或单独的载荷试验表明满足特殊系数的要求。
第25.683条 操作试验
必须用操作试验表明,对操纵系统中受驾驶员作用力的部分施加规定的该系统限制载荷的80%,以及对操纵系统中受动力载荷的部分施加正常运行中预期的最大载荷时,系统不出现下列情况:
(a) 卡阻;
(b) 过度摩擦;
(c) 过度变形。
第25.685条 操纵系统的细节设计
(a) 操纵系统的每个细节必须设计和安装成能防止因货物、旅客、松散物或水气凝冻引起的卡阻、摩擦和干扰。
(b) 驾驶舱内必须有措施在外来物可能卡住操纵系统的部位防止其进入。
(c) 必须有措施防止钢索或管子拍击其它零件。
(d) 第25.689条和第25.693条适用于钢索系统和关节接头。
第25.689条 钢索系统
(a) 钢索、钢索接头、松紧螺套、编结接头和滑轮必须经批准。此外还应满足下列要求:
(1) 副翼、升降舵或方向舵系统不得采用直径小于3.2毫米(1/8英寸)的钢索;
(2) 钢索系统的设计,必须在各种运行情况和温度变化下在整个行程范围内使钢索张力没有危险的变化。
(b) 每种滑轮的型式和尺寸必须与所配用的钢索相适应。滑轮和链轮必须装有紧靠的保护装置,以防止钢索或链条滑脱或缠结。每个滑轮必须位于钢索通过的平面内,使钢索不致摩擦滑轮的凸缘。
(c) 安装导引件而引起的钢索方向变化不得超过3°。
(d) 在操纵系统中需受载或活动的U形夹销钉,不得仅使用开口销保险。
(e) 连接到有角运动的零件上的松紧螺套必须能确实防止在整个行程范围内发生卡滞。
(f) 必须能对导引件、滑轮、钢索接头和松紧螺套进行目视检查。
第25.693条 关节接头
有角运动的操纵系统的关节接头(在推拉系统中),除了具有滚珠和滚柱轴承的关节接头外,用作支承的最软材料的极限支承强度必须具有不低于3.33的特殊安全系数。对于钢索操纵系统的关节接头,该系数允许降至2.0。对滚珠和滚柱轴承,不得超过经批准的载荷额定值。
第25.697条 升力和阻力装置及其操纵器件
(a) 每个升力装置操纵器件的设计,必须使驾驶员能将该升力装置置于第25.101(d)条中规定的起飞、航路、进场或着陆的任一位置。除由自动定位装置或载荷限制装置所产生的运动外,升力和阻力装置必须保持在这些选定的位置上而无需驾驶员进一步注意。
(b) 每个升力和阻力装置操纵器件的设计和布置必须使无意的操作不大可能发生。仅供地面使用的升力和阻力装置,如果在飞行中工作可能会造成危险,则必须有措施防止飞行中对其操纵器件进行误操作。
(c) 在空速、发动机功率(推力)和飞机姿态的定常或变化的条件下,各操纵面响应操纵器件动作的运动速率,以及自动定位装置或载荷限制装置的特性,必须使飞机具有满意的飞行特性和性能。
(d) 升力装置操纵机构必须设计成,在低于VF+9.0节的任一速度下以发动机最大连续功率(推力)作定常飞行时,能将操纵面从全展位置收起。
第25.699条 升力和阻力装置指示器
(a) 对于每一升力和阻力装置,如果驾驶舱内设有独立的操纵器件用于调整其位置,则必须设置向驾驶员指示其位置的装置。此外,对于升力或阻力装置系统中出现的不对称工作或其它功能不正常,考虑其对飞行特性和性能的影响,如果必须有指示,才能使驾驶员防止或对付不安全的飞行或地面情况,则必须设置该指示装置。
(b) 必须设置向驾驶员指示升力装置在起飞、航路、进场和着陆位置的装置。
(c) 如果升力和阻力装置具有可能超出着陆位置的任一放下位置,则在操纵器件上必须清楚地制出标记,以便识别超出的范围。
第25.701条 襟翼与缝翼的交连
(a) 飞机对称面两边的襟翼或缝翼的运动,必须通过机械交连或经批准的等效手段保持同步,除非当一边襟翼或缝翼收上而另一边襟翼或缝翼放下时,飞机具有安全的飞行特性。
(b) 如果采用襟翼或缝翼交连或等效手段,则其设计必须计及适用的不对称载荷,包括对称面一边的发动机不工作而其余发动机为起飞功率(推力)时飞行所产生的不对称载荷。
(c) 对于襟翼或缝翼不受滑流作用的飞机,有关结构必须按一边襟翼或缝翼承受规定对称情况下出现的最严重载荷,而另一边襟翼或缝翼承受不大于该载荷的80%进行设计。
(d) 交连机构必须按对称面一边受交连的襟翼或缝翼卡住不动而另一边襟翼或缝翼可自由运动,并施加活动面作动系统全部动力所产生的载荷进行设计。
〔中国民用航空总局1995年12月18日第二次修订〕
第25.703条 起飞警告系统
飞机必须安装起飞警告系统并满足下列要求:
(a) 在起飞滑跑的开始阶段,如果飞机处于任何一种不允许安全起飞的形态,则警告系统必须自动向驾驶员发出音响警告,这些形态包括:
(1) 襟翼或前缘升力装置不在经批准的起飞位置范围以内;
(2) 机翼扰流板(符合第25.671条要求的横向操纵扰流板除外),减速板或纵向配平装置处于不允许安全起飞的位置。
(b) 本条(a)中要求的警告必须持续到下列任一时刻为止:
(1) 飞机的形态改变为允许安全起飞;
(2) 驾驶员采取行动停止起飞滑跑;
(3) 飞机抬头起飞;
(4) 驾驶员人为地切断警告。
(c) 在申请合格审定的整个起飞重量、高度和温度范围内,用于接通警告系统的装置必须能正常工作。
起落架
第25.721条 总则
(a) 主起落架系统必须设计成,如果在起飞和着陆过程中起落架因超载而损坏(假定超载向上向后作用),其损坏状态很不可能导致下列后果:
(1) 客座量(不包括驾驶员座椅)等于或小于9座的飞机,机身内任何燃油系统溢出足够量的燃油构成起火危险;
(2) 客座量(不包括驾驶员座椅)等于或大于10座的飞机,燃油系统任何部分溢出足够量的燃油构成起火危险。
(b) 客座量(不包括驾驶员座椅)等于或大于10座的飞机必须设计成,当有任何一个或几个起落架未放下时,飞机在受操纵情况下在有铺面的跑道上着陆,其结构部件的损坏很不可能导致溢出足够量的燃油构成起火危险。
(c) 可用分析或试验,或兼用两者来表明符合本条规定。
第25.723条 减震试验
(a) 用于确定着陆载荷的起落架动态特性分析模型必须由能量吸收试验验证。必须采用一系列的试验以确保对于第25.473条规定的设计条件,该分析模型是有效的。
(1) 在限制设计条件下的能量吸收试验的条件设置必须至少包含设计着陆重量或者设计起飞重量中产生较大着陆冲击能量的任何一个。
(2) 起落架系统的试验姿态和试验中合适的阻力载荷必须模拟与合理的或者保守的限制载荷一致的飞机着陆条件。
(b) 起落架在演示其储备能量吸收能力的试验中不得损坏,此试验模拟在设计着陆重量时下沉速度为3.66米/秒(12英尺/秒)并假定在着陆撞击时飞机的升力不大于飞机重量。
(c) 对于之前批准的设计重量的改变和设计小改,可以基于以前在具有相似吸能特性的相同的基本起落架系统上进行的试验通过分析进行验证,以替代本条中规定的试验。
〔中国民用航空总局1995年12月18日第二次修订,交通运输部2016年3月17日第四次修订〕
第25.725条 [删除]
〔交通运输部2016年3月17日第四次修订〕
第25.727条 [删除]
〔交通运输部2016年3月17日第四次修订〕
第25.729条 收放机构
(a) 总则 对于装有可收放起落架的飞机,采用下列规定:
(1) 起落架收放机构、轮舱门和支承结构必须按下列载荷设计:
(i) 起落架在收上位置时的飞行情况下出现的载荷;
(ii) 在直到1.6VS1(襟翼在设计着陆重量下的进场位置)的任何空速下,起落架收放过程中出现的摩擦载荷、惯性载荷、刹车扭矩载荷、空气载荷和陀螺载荷的组合;陀螺载荷为机轮旋转所致,机轮边缘的线速度为1.3VS(襟翼在设计起飞重量下的起飞位置);
(iii) 襟翼放下情况的任何载荷系数,直到第25.345(a)条中的相应规定。
(2) 起落架、收放机构和飞机结构(包括轮舱门)必须设计成能承受直到0.67VC的任何速度下起落架在放下位置时出现的飞行载荷,除非在此速度下另有措施使飞机在空中减速。
(3) 除了考虑本条(a)(1)和(2)规定的空速和载荷系数的情况外,起落架舱门、其操纵机构和支承结构还必须根据对飞机规定的偏航机动来设计。
(b) 起落架锁 必须有可靠的措施能在空中和地面将起落架保持在放下位置。
(c) 应急操作 必须有应急措施可在下列情况下放下起落架:
(1) 正常收放系统中任何合理可能的失效;或
(2) 任何单个液压源、电源或等效能源的失效。
(d) 操作试验 必须通过操作试验来表明收放机构功能正常。
(e) 位置指示器和警告装置 如果采用可收放起落架,必须有起落架位置指示器(以及驱动指示器工作所需的开关)或其它手段来通知驾驶员,起落架已锁定在放下(或收上)位置,该指示和警告手段的设计必须满足下列要求:
(1) 如果使用开关,则开关的安置及其与起落架机械系统的结合方式必须能防止在起落架未完全放下时误示“放下和锁住”,或在起落架未完全收上时误示“收上和锁住”。开关可安置在受实际的起落架锁闩或其等效装置驱动的部位;
(2) 当准备着陆时如果起落架未在下位锁锁住,必须向飞行机组发出持续的或定期重复的音响警告。
(3) 发出警告的时间必须足以来得及将起落架在下位锁锁住或进行复飞。
(4) 本条(e)(2)所要求的警告不得有容易被飞行机组操作的手动关断装置,以免其可能因本能、无意或习惯性反应动作而关断。
(5) 用于发生音响警告的系统设计必须避免虚假警告或不当警告。
(6) 用于抑制起落架音响警告的系统,其阻止警告系统工作的失效概率必须是不可能的。
(f) 轮舱内设备的保护 位于轮舱内且对于飞机安全运行必不可少的设备必须加以保护,使之不会因下列情况而损伤:
(l) 轮胎爆破(除非表明轮胎不会因过热而爆破);
(2) 轮胎胎面松弛(除非表明由此不会引起损伤)。
〔中国民用航空总局1995年12月18日第二次修订,交通运输部2016年3月17日第四次修订〕
第25.731条 机轮
(a) 主轮和前轮必须经批准。
(b) 每一机轮的最大静载荷额定值,不得小于如下情况对应的地面静反作用力。
(1) 设计最大重量;
(2) 临界重心位置。
(c) 每一机轮的最大限制载荷额定值,必须不小于按本部中适用的地面载荷要求确定的最大径向限制载荷。
(d) 过压爆裂保护。每一机轮必须提供防止机轮和轮胎组件因过度压力引起机轮失效和轮胎爆裂的措施。
(e) 刹车机轮。每一刹车机轮必须满足第25.735条的适用要求。
〔中国民用航空总局1995年12月18日第二次修订,交通运输部2016年3月17日第四次修订〕
第25.733条 轮胎
(a) 当起落架轮轴上装有单个机轮和轮胎的组件时,机轮必须配以合适的轮胎,其速度额定值应经适航当局批准,且在临界条件下不会被超过,其载荷额定值应经适航当局批准,且不会被下列载荷超过:
(1) 主轮轮胎上的载荷,对应于飞机重量(直到最大重量)和重心位置的最临界组合;
(2) 前轮轮胎上的载荷,对应于本条(b)的地面反作用力,但本条(b)(2)和(b)(3)规定的除外。
(b) 适用于前轮轮胎的地面反作用力如下:
(1) 轮胎上的地面静反作用力,对应于飞机重量(直到最大机坪重量)和重心位置的最临界组合,重心处有1.0g的向下作用力,此载荷不得超过轮胎的载荷额定值;
(2) 轮胎上的地面反作用力,对应于飞机重量(直到最大着陆重量)和重心位置的最临界组合,重心处有1.0g的向下作用力和0.31g的向前作用力。这种情况下的反作用力必须按静力学原则分配到前轮和主轮上,此时阻力方向反作用力等于每个刹车机轮的垂直载荷的31%(如其刹车能够产生该地面反作用力)。此前轮轮胎载荷不得超过该轮胎载荷额定值的1.5倍;
(3) 轮胎上的地面反作用力,对应于飞机重量(直到最大机坪重量)和重心位置的最临界组合,重心处有1.0g的向下作用力和0.20g的向前作用力。这种情况下的反作用力必须按静力学原则分配到前轮和主轮上,此时阻力方向反作用力等于每个带刹车机轮的垂直载荷的20%(如其刹车能够产生该地面反作用力)。此前轮轮胎载荷不得超过该轮胎载荷额定值的1.5倍。
(c) 当起落架轮轴上装有一个以上的机轮和轮胎的组件时(如双轮或串列双轮),机轮必须配以合适的轮胎,其速度额定值应经适航当局批准,且在临界条件下不会被超过,其载荷额定值应经适航当局批准,且不会被下列载荷超过:
(1) 对应于飞机重量(直到最大重量)和重心位置最临界组合的每一主轮轮胎上的载荷乘以系数1.07;
(2) 本条(a)(2)、(b)(1)、(b)(2)和(b)(3)规定的每一前轮轮胎上的载荷。
(d) 可收放起落架系统上所装的每个轮胎,当处于服役中的该型轮胎预期的最大尺寸状态时,与周围结构和系统之间必须具有足够的间距,以防止轮胎与结构或系统的任何部分发生不应有的接触。
(e) 对于最大审定起飞重量超过34,050公斤(75,000磅)的飞机,装在有刹车的机轮上的轮胎必须用干燥氮气或表明为惰性的其它气体充气,使轮胎内混合气体的氧体积含量不超过5%,除非能表明轮胎衬垫材料在受热后不会产生挥发性气体或采取了防止轮胎温度达到不安全程度的措施。
〔中国民用航空总局1995年12月18日第二次修订〕
第25.735条 刹车
(a) 批准 每一包含机轮和刹车的组件都必须经批准。
(b) 刹车系统能力 刹车系统及其相关系统必须设计和构造成:
(1) 如果任何电气、气动、液压或机械连接元件或传动元件损坏,或者任何单个液压源或其它刹车能源失效,能使飞机停下且滑行距离不超过第25.125条规定的滑行距离的两倍。
(2) 无论在飞行中或在地面上,刹车或其附近元件失效后从刹车液压系统泄漏的液体都不足以引起或助长有危害的火情。
(c) 刹车控制 刹车控制必须设计和构造成:
(1) 操作时,不需要额外的控制力。
(2) 如果安装了自动刹车系统,必须有措施:
(i) 预位和解除预位该系统,
(ii) 允许驾驶员使用手动刹车超控该系统。
(d) 停留刹车 飞机必须具有停留刹车装置,当一台发动机为最大推力,同时其它任何或全部发动机为直到最大慢车推力的最不利组合时,打开停留刹车装置后,无须进一步关注就可以防止飞机在干燥的带铺面的水平跑道上滚动。该装置必须放在适当的位置或充分保证避免误操作。当停留刹车没有完全释放时,驾驶舱中必须有提示。
(e) 防滑系统 如果安装了防滑系统:
(1) 无须外部调整就可以在预期的任何跑道情况下进行满意地操作。
(2) 在所有情况下必须优先于自动刹车系统(如果安装)。
(f) 动能容量
(1) 设计着陆停止 设计着陆停止是在最大着陆重量下可操作的着陆停止。必须确定每一个机轮、刹车和轮胎组件的设计着陆停止刹车动能吸收要求。必须通过测功器测试验证,在整个定义的刹车磨损范围之内机轮、刹车和轮胎组件能够吸收不少于该水平的动能。必须达到飞机制造商刹车要求的能量吸收率。平均减速率必须不小于10fps2。
(2) 最大动能加速停止 最大动能加速停止是在最临界的飞机起飞重量和速度组合状态下的中止起飞状态。必须确定每一个机轮、刹车和轮胎组件的加速停止刹车动能吸收要求。必须通过测功器测试验证,在整个定义的刹车磨损范围之内机轮、刹车和轮胎组件能够吸收不少于该水平的动能。必须达到飞机制造商刹车要求的能量吸收率。平均减速率必须不小于6fps2。
(3) 最严酷的着陆停止 最严酷的着陆停止是在最临界的飞机着陆重量和速度组合状态下的停止。必须确定每一个机轮、刹车和轮胎组件最严酷的停止刹车动能吸收要求。必须通过测功器测试验证,在刹车热库达到完全磨损极限情况下,机轮、刹车和轮胎组件能够吸收不少于该水平的动能。对于极不可能的失效情况或当最大动能加速停止能量更严酷时,不必考虑最严酷的着陆停止。
(g) 高动能测功器停止后的刹车状态 按照本条(f)要求的高动能刹车试验停留刹车迅速和完全地作用了至少3分钟后,必须证明,从停留刹车作用起至少5分钟不能发生状况(或者在停止期间不能发生),包括轮胎或机轮和刹车组件的火情,可能妨碍安全和完全撤离飞机。
(h) 储备能量系统 如果使用储备能量系统满足本条(b)(1)的要求,必须向飞行机组提供可用储备能量指示。对于以下情况,可用的储备能量必须充足:
(1) 当防滑系统没有工作时至少可完成六个完整的刹车;和
(2) 在飞机经审定的所有跑道表面条件下,当防滑系统运行时飞机完全停止。
(i) 刹车磨损指示器 对于每一个刹车组件,必须有措施保证在热库磨损达到许可的极限时有指示。该措施必须可靠并容易看到。
(j) 过热爆裂保护 对于每个带刹车的机轮,必须提供措施防止由于刹车温度升高导致的机轮失效和轮胎爆裂。并且,所有机轮必须满足第25.731条(d)的要求。
(k) 兼容性 机轮和刹车组件与飞机及其系统兼容性必须经过验证。
〔中国民用航空总局1995年12月18日第二次修订, 2001年5月14日第三次修订,交通运输部2016年3月17日第四次修订〕
第25.737条 滑橇
滑橇必须经批准,每一滑橇的最大限制载荷额定值必须不小于按本部适用的地面载荷要求所确定的最大限制载荷。
浮筒和船体
第25.751条 主浮筒浮力
每个主浮筒必须满足下列要求:
(a) 具有比在淡水中承托该水上飞机或水陆两用飞机最大重量所需浮力大80%的浮力;
(b) 至少具有五个容积大致相等的水密舱。
第25.753条 主浮筒设计
主浮筒必须经批准,而且必须符合第25.521条的要求。
第25.755条 船体
(a) 船体必须具有足够数量的水密舱,使得在任何两个相邻隔舱大量进水后,船体和辅助浮筒(以及机轮轮胎,如果使用)的浮力能提供足够大的正稳定余度,使在汹涌的淡水中倾覆的概率减至最小。
(b) 为了隔舱间互通,可以用带水密门的舱间隔板。
载人和装货设施
第25.771条 驾驶舱
(a) 驾驶舱及其设备必须能使(按第25.1523条规定的)最小飞行机组在执行职责时不致过份专注或疲劳。
(b) 第25.779(a)条所列的主操纵器件(不包括钢索和操纵拉杆)的设置必须根据螺旋桨的位置,使(按第25.1523条规定的)最小飞行机组成员和操纵器件的任何部分都不在任一内侧螺旋桨通过其桨毂中心与螺旋桨旋转平面前和后成5°夹角的锥面之间的区域内。
(c) 如果备有供第二驾驶员使用的设施,则必须能从任一驾驶座上以同等的安全性操纵飞机。
(d) 驾驶舱的构造必须做到在雨或雪中飞行时,不会出现可能使机组人员分心或损害结构的渗漏。
(e) 驾驶舵设备的振动和噪声特性不得影响飞机的安全运行。
第25.772条 驾驶舱舱门
在驾驶舱与客舱之间装有可锁舱门的飞机:
(a) 对于最大客座量超过20座,应急出口的布局必须设计成使机组成员或旅客都不必通过上述舱门就能到达为他们设置的应急出口;
(b) 必须有措施使飞行机组成员在该舱门卡住的情况下能直接从驾驶舱进入客舱。
(c) 必须有紧急措施使飞行乘务员能够在飞行机组失去能力的情况下进入驾驶舱。
〔中国民用航空总局1995年12月18日第二次修订,交通运输部2016年3月17日第四次修订〕
第25.773条 驾驶舱视界
(a) 无降水情况 对于无降水情况,采用下列规定:
(1) 驾驶舱的布局必须给驾驶员以足够宽阔、清晰和不失真的视界,使其能在飞机使用限制内安全地完成任何机动动作,包括滑行、起飞、进场和着陆。
(2) 驾驶舱不得有影响(按第25.1523条规定的)最小飞行机组完成正常职责的眩光和反射,必须在无降水情况下通过昼和夜间飞行试验表明满足上述要求。
(b) 降水情况 对于降水情况,采用下列规定:
(1) 飞机必须具有措施使风挡在降水过程中保持有一个清晰的部分,足以使两名驾驶员在飞机各种正常姿态下沿飞行航迹均有充分宽阔的视界。此措施必须设计成在下列情况中均有效,而无需机组成员不断关注:
(i) 大雨,速度直至1.5VSR1,升力和阻力装置都收上;
(ii) 第25.1419条规定的结冰条件下,如果要求按结冰条件下的飞行进行审定。
(2) 正驾驶员必须有:
(i) 当座舱不增压时,在本条(b)(1)规定条件下能打开的窗户,提供该项所规定的视界,又能给予驾驶员足够的保护,防止风雨影响其观察能力;
(ii) 在本条(b)(1)规定条件下考虑遭到严重冰雹可能造成的损伤,保持清晰视界的其它手段。
(c) 风挡和窗户内侧的起雾 飞机必须具有在其预定运行的所有内外环境条件(包括降水)下,防止风挡和窗户玻璃内侧在提供本条(a)规定视界的范围上起雾的措施。
(d) 在每一驾驶员位置处必须装有固定标记或其它导标,使驾驶员能把座椅定位于可获得外部视界和仪表扫视最佳组合的位置。如使用有照明的标记或导标,它们必须满足第25.1381条规定的要求。
〔中国民用航空总局1995年12月18日第二次修订,交通运输部2016年3月17日第四次修订〕
第25.775条 风挡和窗户
(a) 内层玻璃必须用非碎裂性材料制成。
(b) 位于正常执行职责的驾驶员正前方的风挡玻璃及其支承结构,必须能经受住1.8公斤(4磅)的飞鸟撞击而不被击穿,此时飞机的速度(沿飞机航迹相对于飞鸟)等于按第25.335(a)条选定的海平面VC值。
(c) 除非能用分析或试验表明发生风挡破碎临界情况的概率很低,否则飞机必须有措施将鸟撞引起的风挡玻璃飞散碎片伤害驾驶员的危险减至最小,必须表明驾驶舱内的下列每块透明玻璃都能满足上述要求:
(1) 位于飞机正面的;
(2) 对飞机纵轴倾斜15度或更大的;
(3) 其某一部分的位置会导致碎片伤害驾驶员的。
(d) 增压飞机的风挡和窗户必须根据高空飞行的特殊因素来设计,包括持续和循环增压载荷的影响、所用材料的固有特性、温度和温差的影响。在装置本身或有关系统中发生任何单个破损后,风挡和窗户玻璃必须能经受住座舱最大压差载荷与临界气动压力和温度影响的联合作用。可以假定在出现(按第25.1523条规定的)飞行机组易于发现的单个破损后,座舱压差从最大值按相应的使用限制下降,使飞机能以不大于4,500米(15,000英尺)的座舱压力高度继续安全飞行。
(e) 驾驶员正面风挡玻璃必须布置成,如果丧失了其中任何一块玻璃的视界,余下的一块或几块玻璃可供一个驾驶员在其驾驶位置上继续安全飞行和着陆。
第25.777条 驾驶舱操纵器件
(a) 驾驶舱每个操纵器件的位置必须保证操作方便并防止混淆和误动。
(b) 驾驶舱操纵器件的运动方向必须符合第25.779条的规定。凡可行处,其它操纵器件操作动作的直感必须与此种操作对飞机或对被操作部分的效果直感一致。用旋转运动调节大小的操纵器件,必须从断开位置顺时针转起,经过逐渐增大的行程达到全开位置。
(c) 操纵器件相对于驾驶员座椅的位置和布局,必须使任何身高158厘米(5英尺2英寸)至190厘米(6英尺3英寸)的(按第25.1523条规定的)最小飞行机组成员就座并系紧安全带和肩带(如果装有)时,每个操纵器件可无阻挡地作全行程运动,而不受驾驶舱结构或最小飞行机组成员衣着的干扰。
(d) 各台发动机使用同样的动力装置操纵器件时,操纵器件的位置安排必须能防止混淆各自控制的发动机。
(e) 襟翼和其它辅助升力装置的操纵器件必须设在操纵台的上部,油门杆之后,对准或右偏于操纵台中心线并在起落架操纵器件之后至少254毫米(10英寸)。
(f) 起落架操纵器件必须设在油门杆之前,并且必须使每个驾驶员在就座并系紧安全带和肩带(如果装有)后可以操作。
(g) 操纵手柄必须设计成第25.781条规定的形状。此外,这些手柄必须是同色的,而且颜色与其它用途的操纵手柄和周围驾驶舱的颜色有鲜明的对比。
(h) 如要求有飞行工程师作为(按第25.1523条规定的)最小飞行机组成员,则飞机上必须设有飞行工程师工作位置,其部位和安排能使飞行机组成员有效地各行其职而互不干扰。
第25.779条 驾驶舱操纵器件的动作和效果
驾驶舱操纵器件必须设计成使它们按下列运动和作用来进行操纵:
(a) 空气动力操纵器件:
(1) 主操纵
(2) 次操纵
(b) 动力装置操纵器件和辅助操纵器件:
(1) 动力装置操纵器件
(2) 辅助操纵器件
〔中国民用航空总局1995年12月18日第二次修订〕
第25.781条 驾驶舱操纵手柄形状
驾驶舱操纵手柄必须符合下图中的一般形状(但无需按其精确大小和特定比例)

〔中国民用航空总局1995年12月18日第二次修订〕
第25.783条 机身舱门
(a) 总则 本条适用于位于机身外部不需要使用工具来开关的舱门,包括所有的门、带盖舱口、可打开的窗户、检修口盖、盖板等。本条也适用于穿过压力隔板的每一门或带盖舱口,隔板包括专门设计成在25部规定的失效条件下具有次级隔板功能的任何隔板。在增压和非增压飞行的状态下,这些门都必须符合本条的要求,并且必须按如下要求设计:
(1) 每一门必须有措施防止由于机械失效或者任何单个结构元件失效导致的飞行中打开。
(2) 如果未锁闩则可能有危险的每个门必须设计成,在增压和非增压飞行中从完全关闭的、锁闩的和锁定的状态解闩是极不可能的。这必须由安全性分析来表明。
(3) 每一门的操纵系统的每一元件必须设计成或者(如不可行)采用突出和永久的标记,将可能导致故障的不正确装配和调整的概率降至最小。
(4) 所有起动任何门的解锁和解闩的动力源必须在飞行前自动与锁闩和锁定系统断开,并且在飞行中不能给门恢复动力。
(5) 每个可卸的螺栓、螺钉、螺母、销钉或者其他可卸紧固件还必须满足第25.607条的锁定要求。
(6) 按第25.807条(h)规定的特定门还必须满足用于应急出口的第25.809条到第25.812条的适用要求。
(b) 由人打开 必须有措施防止每一门在飞行中被人无意中打开。而且,必须设计预防措施,将人在飞行中有意打开门的概率降至最小。如果这些预防措施包括使用辅助装置,则这些装置及其控制系统必须被设计成:
(1) 单个失效不会妨碍多个出口被打开;和
(2) 着陆后妨碍出口打开的失效是不可能的。
(c) 增压预防措施 必须有措施防止任何承压的门在未完全关闭、锁闩和锁定的情况下将飞机增压到不安全的水平。
(1) 必须设计成在发生任何单个失效之后,或者在发生未表明是极不可能的失效组合之后仍然具有功能。
(2) 满足本条(h)规定条件的门不需要有专门的增压预防措施,如果从该门的每个可能位置它都将保持一定程度的打开避免增压,或者在增压时都安全地关闭和锁闩。也必须表明在任何单个失效和故障的情况,除非:
(i) 锁闩机构中的失效或故障,在关闭后它不需要锁闩;和
(ii) 由于机械失效或闭塞碎片引起的卡阻,如果可以表明增压加载在被卡阻的门或机构上不会导致不安全的状况,则该门不需要关闭和锁闩。
(d) 锁闩和锁定 锁闩和锁定机构必须按如下设计:
(1) 必须有措施锁闩每一门。
(2) 锁闩及其操纵机构必须设计成,在所有的飞机飞行和地面载荷状态下,在门锁闩的状态下,没有试图解开锁闩的力或力矩。而且,锁闩系统必须包括一种措施,保证锁闩处于锁闩的位置。该措施必须独立于锁定系统。
(3) 每一承压的并且打开时首先作非内向运动的门必须:
(i) 对每一锁闩有单独的锁;
(ii) 具有尽可能靠近锁闩的锁;和
(iii) 设计成,在增压飞行中锁定系统的单一失效不会妨碍所必需的锁闩将舱门锁紧。
(4) 每一打开时首先作内向运动并且未锁闩可能导致危险的门必须具有锁定措施,能够防止锁闩脱离。锁定措施必须确保充分锁闩,能够防止即使发生锁闩机构的单一失效门也不会打开。
(5) 如果锁闩和锁闩机构没有位于锁闩位置,则锁不得位于锁定位置。
(6) 锁位于锁定位置时不得开启锁闩。锁必须设计成能够承受下列情况产生的限制载荷:
(i) 手动操作锁闩时的最大操作力;
(ii) 有动力的锁闩作动器(如安装);和
(iii) 锁闩和相应结构件的相对运动。
(7) 未锁闩不会导致危险的每一门都无需具有满足本条(d)(3)到(d)(6)要求的锁定机构。
(e) 警告、戒备和提示指示 必须给门提供下列指示:
(1) 必须有明确的措施,在每个舱门操作人员的位置处给出指示,所有要求的关闭、锁闩和锁定门的操作都已经完成。
(2) 对于如果未锁闩则可能有危害的任何门,必须有明确的、从每一操作人员位置都清晰可见的措施,指示该门是否没有完全关闭、锁闩或锁定。
(3) 在驾驶舱内必须有目视措施,如果门没有完全关闭、锁闩和锁定则给驾驶员发出信号。对于以下情况,该措施必须被设计成,任何失效或者失效组合导致错误的关闭、锁闩和锁定指示是不可能的:
(i) 每一承压和打开时首先作非内向运动的门;或
(ii) 每一未锁闩可能有危险的门。
(4) 在起飞滑跑最初阶段之前或者在起飞滑跑最初阶段中,如果任何门没有完全关闭、锁闩和锁定并且其打开可能妨碍安全起飞或返航着陆,则必须给驾驶员声学警告。
(f) 目视检查规定 每一未锁闩可能有危险的门必须有清晰的直接目视检查措施,确定门是否完全关闭、锁闩和锁定。该措施必须是永久的,并且在运行照明条件下或者通过手电筒或同等光源的手段的照明条件下是清晰可辨的。
(g) 特定维修门、可拆卸应急出口和检修口盖 用于维修目的或应急撤离的通常不打开的一些门和一些检修口盖无须符合本条如下所述的特定段落:
(1) 不承受客舱增压的和在飞行中如果打开不会有危险的检修口盖无须符合本条(a)到(f),但是必须有措施防止飞行中的无意打开。
(2) 用于维修目的或应急撤离的通常不拆卸的向内打开的可拆卸应急出口和驾驶舱可开启窗口无须符合本条(c)和(f)。
(3) 满足本条(h)条件并且有标牌限制仅用于维修进入的维修门无须符合本条(c)和(f)。
(h) 无危险的门 对于本条,假设能够表明满足下列所有条件的门被认为在飞行中处于未锁闩状态是没有危险的:
(1) 当承受超过1/2 psi压力时,如果不受锁闩的限制增压舱中的门仍保持完全关闭的位置。在作此决定中不考虑由人无意或有意的打开。
(2) 在飞行的增压或非增压阶段中如果打开,该门仍在飞机中或仍保持与飞机相连。该决定必须考虑包括在飞行的增压或非增压阶段中由人无意或有意打开的。
(3) 飞行中锁闩的脱离不得使客舱失压到不安全的水平。该安全性评估必须包括对乘客的生理影响。
(4) 飞行中打开的门不会产生妨碍安全飞行和着陆的气动干扰。
(5) 在门打开的状态下飞机能满足结构设计要求。该评估必须包括第25.629条的气弹稳定性要求和本部C分部的强度要求。
(6) 门未闩上或打开,与其他系统或结构相互作用,不得妨碍安全飞行和着陆。
〔中国民用航空总局1995年12月18日第二次修订,2001年5月14日第三次修订,交通运输部2016年3月17日第四次修订〕
第25.785条 座椅、卧铺、安全带和肩带
(a) 对每一位2周岁以上的乘员都必须提供一个座椅(或卧铺,对必须卧床者)。
(b) 指定供人在起飞和着陆时占用的每一位置处的座椅、卧铺、安全带、肩带以及附近的飞机部分,必须设计成使正确使用这些设施的人在应急着陆中不会因第25.561条和第25.562条中规定的惯性力而受到严重伤害。
(c) 座椅和卧铺必须经批准。
(d) 与通过飞机中心线的垂直平面成夹角大于18°的座椅上的乘员必须用安全带和承托臂、肩、头和背脊的缓冲靠垫来保护头部免受伤害,或用安全带和肩带防止头部触及任何致伤物体。任何其它座椅上的乘员必须用安全带以及根据座椅形式、位置和面向的角度采用以下一种或几种措施来保护头部免受伤害:
(1) 防止头部触及任何致伤物体的肩带;
(2) 去除头部能撞到的半径范围内的任何致伤物体;
(3) 承托臂、肩、头和背脊的缓冲靠垫。
(e) 卧铺必须设计成前部具有带包垫的端板、帆布隔挡或等效设施,它们可承受按第25.561条规定的乘员向前惯性力。卧铺不得有在应急情况下可能使睡卧者严重受伤的棱角和突部。
(f) 每个座椅、卧铺及其支承结构,每根安全带或肩带及其锚固接头,必须按体重77公斤(170磅)的使用者设计,按每种有关的飞行和地面载荷情况(包括第25.561条规定的应急着陆情况)考虑最大载荷系数、惯性力以及乘员、座椅、安全带和肩带之间的反作用力,此外,还必须符合下列规定:
(1) 进行座椅、卧铺及其支承结构的结构分析和试验时,可以假定向前、侧向、向下、向上和向后的临界载荷(按规定的飞行、地面和应急着陆情况确定)分别作用,或者当各特定方向所要求的强度得到证实时,也可采用选定的载荷组合。卧铺安全带不必承受向前的载荷系数;
(2) 每个驾驶员座椅的设计必须考虑第25.395条规定的驾驶员作用力引起的反作用力;
(3) 在确定每个座椅与机体结构,或每根安全带或肩带与座椅或机体结构的连接强度时,第25.561条规定的惯性力必须乘以系数1.33(而不是第25.625条规定的接头系数)。
(g) 驾驶舱工作位置的每个座椅必须设有带单点脱扣装置的安全带和肩带组合式约束系统,使驾驶舱内乘员就座并系紧安全带—肩带后能执行该乘员在驾驶舱内所有必要的职责。必须有措施在每个组合约束系统不使用时将其固定,以免妨碍对飞机的操作和在应急情况下的迅速撤离。
(h) 按中国民用航空局有关营运规定要求的客舱内设置的、在起飞和着陆时指定供空中服务员使用的座椅必须满足下列要求:
(1) 必须靠近所要求的与地板齐平的应急出口。但如果设置在其它位置能提高旅客应急撤离效率时,则也是可以接受的。每个A型或B型应急出口旁边必须有一个空中服务员座椅。而且在所要求的与地板齐平的应急出口之间,必须根据可行情况均匀设置其它空中服务员座椅;
(2) 在不影响接近所要求的与地板齐平应急出口的条件下,空中服务员座椅应尽量设置在能直接观察到其所负责客舱区域的位置;
(3) 布置在当其不使用时不会妨碍通道或出口使用的位置;
(4) 必须布置在能使其乘员被从服务区,储藏间或服务设备掉出的物体撞伤的概率最小的位置;
(5) 面向前或向后,并装有用于承托臂、肩、头和背脊的缓冲靠垫;
(6) 装有单点脱扣装置的安全带和肩带组合式约束系统。必须有措施在每个组合式约束系统不工作时将其固定,以免妨碍应急情况下的迅速撤离。
(i) 每根安全带必须装有金属对金属的锁紧装置。
(j) 如果椅背上没有牢固的扶手处,则沿每条过道必须有把手或扶杆,使乘员在中等颠簸气流情况下使用过道时能够稳住。
(k) 在正常飞行中可能伤害机内坐着或走动的人员的每个凸出物都必须包垫。
(l) 必须表明由中国民用航空局有关营运规定要求的每个向前观察员座椅适用于进行必要的航路检查。
〔中国民用航空总局1990年7月18日第一次修订,1995年12月18日第二次修订,2001年5月14日第三次修订,交通运输部2016年3月17日第四次修订〕
第25.787条 储存舱
(a) 储存货物、行李、随身携带物品和设备(如救生筏)的每个隔间和任何其它储存舱,必须根据其标明的最大载重,以及规定的飞行载荷情况、地面载荷情况和第25.561(b)条的应急着陆情况所对应的最大载荷系数下的临界载荷分布来设计,但位于机内全体乘员之下或之前的隔间不需考虑应急着陆情况所规定的力。如果飞机的客座量(不包括驾驶员座椅)等于或大于10座,则客舱中的每个储存舱必须是完全封闭的,但为了旅客方便,座椅下和头顶上的储存空间除外。
(b) 必须有措施防止隔间中的装载物在本条(a)规定的载荷下移动而造成危险。如果用于客舱和机组舱中储存舱的上述措施是带锁闩的门,其设计必须考虑到服役中预期的磨损和性能下降。
(c) 如果货舱中装有照明灯,每盏灯的安装必须避免灯泡和货物接触。
〔交通运输部2016年3月17日第四次修订〕
第25.789条 客舱和机组舱以及厨房中物件的固定
(a) 必须有措施防止客舱或机组舱或厨房中的每一物体(指飞机型号设计的一个部分),在规定的飞行载荷情况,地面载荷情况和第25.561(b)条的应急着陆情况所对应的最大载荷系数下,因移动而造成危险。
(b) 机内通话器的紧束装置必须设计成:在承受第25.561(b)(3)条规定的载荷系数时,能将机内通话器保持在收藏位置。
第25.791条 旅客通告标示和标牌
(a) 如果禁止吸烟,则必须至少有一块能被坐着的每个人看清的标牌说明。如果许可吸烟而且机组舱与客舱互相隔开时,则必须至少有一个通知禁止吸烟的标示。该标示必须是飞行机组成员可操纵的,而且当其发亮时在所有可能的舱内照明条件下,必须能被舱内坐着的每个人看清。
(b) 通知系紧安全带的标示以及为符合中国民用航空局有关营运规定而设置的标示都必须是飞行机组成员可操纵的,当其发亮时在所有可能的舱内照明条件下,必须能被舱内坐着的每个人看清。
(c) 在每个放置可燃废物箱的门的上面或旁边必须设置标牌,说明禁止向废物箱内丢扔烟头等。
(d) 厕所门的上面或两侧必须设置“禁止吸烟”或“厕所内禁止吸烟”的醒目标牌。
(e) 可以用明确表达标示或标牌意图的图形来代替文字。
〔中国民用航空总局1995年12月18日第二次修订〕
第25.793条 地板表面
服役中很可能弄湿的所有部位的地板表面必须具有防滑性能。
第25.795条 保安事项
(a)驾驶舱的保护 如果运行规则需要有驾驶舱门,舱门的安装必须设计成:
(1) 抵御未经许可人员的暴力入侵,门上关键部位能够承受300焦耳(221.3英尺磅)的冲击,同时在旋钮和把手处能够承受1113牛顿(250磅)的定常拉伸载荷;和
(2) 抵御轻型武器的火力和爆炸装置的穿透,达到中国民用航空局适航部门的要求。
(b)【备用】
〔交通运输部2016年3月17日第四次修订〕
应急设施
第25.801条 水上迫降
(a) 如果申请具有水上迫降能力的合格审定,则飞机必须满足本条和第25.807(i)条、第25.1411条和第25.1415(a)条的要求。
(b) 必须采取同飞机总特性相容的各种切实可行的设计措施,来尽量减少在水上应急降落时因飞机的运动和状态使乘员立即受伤或不能撤离的概率。
(c) 必须通过模型试验,或与已知其水上迫降特性的构形相似的飞机进行比较,来检查飞机在水上降落时可能的运动和状态。各种进气口、襟翼、突出部分以及任何其它很可能影响飞机流体力学特性的因素,都必须予以考虑。
(d) 必须表明,在合理可能的水上条件下,飞机的漂浮时间和配平能使所有乘员离开飞机并乘上第25.1415条所要求的救生筏。如果用浮力和配平计算来表明符合此规定,则必须适当考虑可能的结构损伤和渗漏。如果飞机具有可应急放油的燃油箱,而且有理由预期该油箱能经受水上迫降而不渗漏,则能应急放出的燃油体积可作为产生浮力的体积。
(e) 除非对飞机在水上降落时可能的运动和状态(如本条(c)和(d)所述)的研究中,考虑了外部舱门和窗户毁坏的影响,否则外部舱门和窗户必须设计成能承受可能的最大局部压力。
〔中国民用航空总局1995年12月18日第二次修订,交通运输部2016年3月17日第四次修订〕
第25.803条 应急撤离
(a) 每个有机组成员和旅客的区域,必须具有在起落架放下和收上的撞损着陆、并考虑飞机可能着火时能迅速撤离的应急措施。
(b) [备用]
(c) 对客座量大于44座的飞机,必须表明其最大乘座量的乘员能在90秒钟内在模拟的应急情况下从飞机撤离至地面,该乘座量包括申请合格审定的中国民用航空局有关营运规定所要求的机组成员人数在内。对于这一点的符合性,必须通过按本部附录J规定的试验准则所进行的实际演示来表明,除非中国民用航空局适航部门认为分析与试验的结合足以提供与实际演示所能获得的数据等同的数据资料。
(d) [备用]
(e) [备用]
〔中国民用航空总局1995年12月18日第二次修订〕
第25.805条 [删除]
〔中国民用航空总局1995年12月18日第二次修订〕
第25.807条 应急出口
(a) 型式 就本部而言,应急出口的型式规定如下:
(1) I型 此型应急出口是与地板齐平的出口,具有宽不少于610毫米(24英寸)、高不少于1,220毫米(48英寸)、圆角半径不大于203毫米(8英寸)的矩形开口。
(2) II型 此型应急出口是宽不少于510毫米(20英寸)、高不少于1120毫米(44英寸)、圆角半径不大于178毫米(7英寸)的矩形开口。II型出口必须是地板齐平的出口,但位于机翼上方者除外。在此情况下,出口在机内的跨上距离不得大于250毫米(10英寸),在机外的跨下距离不得大于430毫米(17英寸)。
(3) III型 此型应急出口是宽不少于510毫米(20英寸)、高不少于910毫米(36英寸)、圆角半径不大于178毫米(7英寸)的矩形开口,其机内跨上距离不大于510毫米(20英寸)。如果出口位于机翼上方,其机外跨下距离不得大于690毫米(27英寸)。
(4) IV型 此型应急出口是宽不少于480毫米(19英寸)、高不少于660毫米(26英寸)、圆角半径不大于160毫米(6.3英寸)、位于机翼上方的矩形开口,其机内跨上距离不大于740毫米(29英寸),机外跨下距离不大于910毫米(36英寸)。
(5) 机腹型 此型应急出口是由客舱经过承压壳体和机身下部蒙皮的出口。此型出口的尺寸和实际构形必须在飞机处于正常地面姿态,且起落架放下时具有至少与I型出口同样的撤离率;
(6) 尾锥型 此型应急出口是由客舱经过承压壳体和承压壳体之后可打开的机身锥体的后部出口,打开尾锥的措施必须简单明了,而且只需一个操作动作。
(7) A型 此型应急出口是宽不少于1,066毫米(42英寸)、高不少于1,829毫米(72英寸)、圆角半径不得大于178毫米(7英寸)的与地板齐平的矩形开口。
(8) B型 此型应急出口是宽不少于813毫米(32英寸)、高不少于1,829毫米(72英寸)、圆角半径不得大于152毫米(6英寸)的与地板齐平的矩形开口。
(9) C型 此型应急出口是宽不少于762毫米(30英寸)高不少于1,220毫米(48英寸)、圆角半径不得大于250毫米(10英寸)的与地板齐平的矩形开口。
(b) 跨下距离 本条所述的跨下距离,是指该开口的底部到机身向外延伸的可用踏脚处之间的实际距离,该踏脚处的尺寸应大到足以不需用目光和感觉探索即起作用。
(c) 超尺寸应急出口 大于本条规定尺寸的开口,无论是否是矩形均可采用,只要本条规定的矩形开口能内接在此开口内,而且被内接矩形开口的底部满足规定的跨下和跨上高度要求。
(d) 不对称性 成对应急出口不需完全位置相对和尺寸一致。然而在本条(g)中所许可的乘客座位数应基于两个应急出口中较小的。
(e) 均匀性 出口应考虑乘客座椅的分布,尽可能均匀布置。
(f) 位置
(1) 每一个所要求的乘客应急出口必须易于接近,并且其布置能为乘客提供最有效的撤离措施。
(2) 如果每侧仅提供一个与地板齐平的应急出口,而飞机又没有尾锥型或机腹型应急出口,那么与地板齐平的应急出口必须位于客舱的后部,除非其它位置能提供乘客更有效的撤离措施。
(3) 如果每侧提供的与地板齐平应急出口多于一个,并且飞机不是客货混合构型,那么客舱每侧的每端至少要有一个与地板齐平的应急出口。
(4) 对于要求在机身每侧要有多于一个以上乘客应急出口的飞机,在机身每一舱段每侧的相邻出口的距离不得超出18米(60英尺),测量应在两个最近的出口边缘平行飞机纵向轴线进行。
(g) 要求的类型和数量 许可的最大乘客座椅数取决于机身上每侧的应急出口类型和数量。除非在本条(g)(1)至(g)(9)中作进一步限制,机身每侧的特定类型出口最大许可乘客座椅数规定如下:
(1) 对于客座量为1至9座的,至少在机身每侧要有一个IV型或更大的机翼上方应急出口。如果在机翼上方不能提供出口,那么至少要在机身每侧有一个满足最小III型门尺寸的出口。
(2) 对于客座量多于9座的,每一出口必须是III型或大于III型。
(3) 对于客座量是10至19座的,在机身每侧至少要有一个III型或更大的出口。
(4) 对于客座量是20至40座的,在机身每侧至少要有两个出口,其中一个必须是II型或更大的出口。
(5) 对于客座量是41至110座的,在机身每侧至少要有两个出口,其中一个必须是I型或更大的出口。
(6) 对于客座量多于110座的,在机身每侧的应急出口必须包括至少两个I型或更大的出口。
(7) 所有III型出口许可的最大组合客座量是70,由少于三排座椅分开的机身每侧的两个III型出口,所能许可的最大组合客座量为65。
(8) 如果设有A型、B型或C型出口,那么在机身每侧至少要有两个C型或更大出口。
(9) 如果设有旅客用机腹型出口或尾锥型出口,而且飞机处于因一根或几根起落架折断而造成的最不利出口开启条件下这些出口能提供至少与III型出口相同的撤离率时,则可以允许按下列规定增加客座量:
(i) 一个机腹型出口,增加12个客座;
(ii) 一个尾锥型出口(在承压壳体上具有宽不少于510毫米(20英寸)、高不少于1,524毫米(60英寸)、圆角半径不大于178毫米(7英寸)的与地板齐平的出口,并具有符合第25.810(a) 条的经批准辅助设施),增加25个客座;
(iii) 一个尾锥型出口(在承压壳体的开口尺寸,跨上及跨下距离至少与III型应急出口相等,并且开口顶部距客舱地板的高度不少于1,420毫米(56英寸)),增加15个客座。
(h) 额外出口 下列出口还必须满足第25.809条至25.812条适用的应急出口要求,并且必须易于接近:
(1) 客舱中超出应急出口最少数量要求的每一紧急出口。
(2) 从客舱可进入的、大于或等于II型出口但是小于1,170毫米(46英寸)宽的任何其他与地板齐平的门或出口。
(3) 任何其他的机腹型或尾锥型乘客出口。
(i) 水上迫降旅客应急出口 无论是否申请水上迫降合格审定,必须根据下列规定设置水上迫降应急出口,除非满足本条(g)要求的应急出口已满足这些要求:
(1) 客座量(不包括驾驶员座椅)等于或小于9座的飞机,飞机每侧水线以上要有一个至少符合IV型尺寸的出口;
(2) 客座量(不包括驾驶员座椅)等于或大于10座的飞机,对每35名旅客(或不足35名的尾数)在飞机侧面水线以上要有一个至少符合III型尺寸的出口,但客舱内此类出口不得少于两个,飞机每侧各一个。可以通过采用更大出口或其它措施提高客座量与出口之比,只要能表明在水上迫降期间飞机的撤离能力有相应提高;
(3) 如果侧面出口不能设在水线以上,则必须用同等数量、尺寸不小于III型尺寸的出口,易于接近的顶部带盖舱口来代替侧面出口,但对于客座量(不包括驾驶员座椅)等于或小于35座的飞机,只需要一个顶部带盖舱口来代替所要求的两个III型侧面出口。
(j) 飞行机组应急出口 对于旅客应急出口与飞行机组区的靠近程度不能为飞行机组撤离提供方便和易于接近的措施的飞机,以及客座量大于20座的所有飞机,飞行机组应急出口应设置在飞行机组区。此类出口的尺寸和位置应足以使机组能迅速撤离。在飞机两侧必须各有一个出口,或代之以一个顶部带盖舱口。每个出口必须包含一个至少为483×510毫米(19×20英寸)的无障碍矩形出口,除非能通过一名典型的机组成员圆满地演示了出口的实用性。
〔中国民用航空总局1995年12月18日第二次修订,2001年5月14日第三次修订,交通运输部2016年3月17日第四次修订〕
第25.809条 应急出口布置
(a) 每个应急出口,包括飞行机组应急出口在内,必须是机身外壁上能提供通向外部的无障碍开口的活动舱门或带盖舱口。而且,每个应急出口必须具有在出口关闭时能够观察外部状况的设施。该观察设施可以在出口上或者在出口附近,并且在出口和观察设施之间无障碍。还必须提供设施,能够观察撤离人员接地的可能区域。在起落架放下和起落架折断的所有条件下,在所有照明条件下,撤离人员接地的可能区域必须是可见的。
(b) 每个应急出口必须能从内外两侧开启,但如果从飞行机组区域能方便而迅速地接近其它经批准的出口,则该区域的滑动窗户应急出口不必能从外侧开启。在下列条件下,当机身无变形时必须能打开每个应急出口:
(1) 飞机处于正常地面姿态,和在一根或几根起落架支柱折断时的每一种姿态;
(2) 从开门装置启动到出口完全打开,不超过10秒钟;
(3) 即使在飞机内侧有人拥挤在门上。
(c) 开启应急出口的措施必须简单明了,且不得要求特别费力;并且必须被安排和标记成能够易于定位和操作,即使在黑暗中。飞行机组应急出口可以采用按顺序多次操作(如操作双手柄或多个锁闩,或解开几个保险钩)的内部开启措施,前提是:有理由认定这些措施对于受过使用训练的机组成员是简单明了的。
(d) 如果在应急情况下操作一个以上出口的主系统是单个的助力或单个动力操作系统,则每个出口必须能在主系统失效的情况下满足本条(b)的要求。主系统失效后对出口进行人力操作是可以接受的。
(e) 每个应急出口必须用试验,或分析结合试验,来表明满足本条(b)和(c)的要求。
(f) 当以合适的操作程序使用时,每一门必须位于使用它们的人不会被螺旋桨打伤的位置。
(g) 必须有措施使应急出口在轻度撞损着陆中因机身变形而被卡住的概率减至最小。
(h) 对于任何大型涡轮喷气客机,中国民用航空局有关营运规定所要求的每个机腹型出口和尾锥型出口必须符合下列规定:
(1) 其设计和构造应使在飞行中不能将其打开;
(2) 在靠近出口开启措施的醒目位置,设置从相距760毫米(30英寸)处可辩读的标牌,说明该出口的设计和构造使其在飞行中是不能打开的。
(i) 每个应急出口必须具有设施,一旦在紧急情况中打开该出口则能够保持该出口处于打开位置。打开出口时,该装置不得需要独立的动作来锁定,并且必须需要明确的动作来解锁。
〔中国民用航空总局1995年12月18日第二次修订,交通运输部2016年3月17日第四次修订〕
第25.810条 应急撤离辅助设施与撤离路线
(a) 当陆上飞机起落架放下停在地面时,对于每个非机翼上方的A型、B型和C型应急出口和离地高度超过1.83米(6英尺)的任何其他非机翼上方的应急出口,必须有经批准的设施协助乘员下地。
(1) 每个旅客应急出口的辅助设施必须是自行支承式滑梯或等效设施,当为A型或B型出口时,该设施必须能同时承载两股平行的撤离人员。此外,辅助设施的设计必须满足下列要求:
(i) 必须能自动展开,而且必须在从飞机内部启动开门装置至出口完全打开期间开始展开。但是如果旅客登机门或服务门兼作旅客应急出口,则必须有手段在非应急情况下,从内侧或外侧正常打开时防止辅助设施展开;
(ii) 除C型应急出口的辅助设施之外,必须能在展开后6秒钟内自动竖立。C型应急出口的辅助设施必须要在应急出口的开启设施被启动后10秒钟内自动竖立;
(iii) 在完全展开后,辅助设施的长度必须能使其下端自行支承在地面,并且在一根或几根起落架支柱折断后,能供乘员安全撤离到地面;
(iv) 必须能够在风向最不利、风速25节时展开,并能在完全展开后仅由一个人扶持,就能供乘员安全撤离到地面;
(v) 对于每种辅助设施的系统安装(装在实体模型或飞机上),必须连续进行五次展开和充气试验(每个出口)而无失败。每五次上述连续试验中,至少有三次必须使用装置的同一个典型抽样来举行。各抽样在经受第25.561(b)条规定的惯性力后,必须能用该系统的基本手段展开和充气,如在所要求的试验中该系统的任何部分发生损坏或工作不正常,必须确实排除损坏或故障的原因,此后必须再进行完整的连续五次的展开和充气试验而无失败。
(2) 飞行机组应急出口的辅助设施,可以是绳索或任何其它经过演示表明适合于此用途的设施。如果辅助设施是绳索或一种经过批准的等效装置,则必须满足下列要求:
(i) 辅助设施应连接在应急出口顶部(或顶部上方)的机身结构上,对于驾驶员应急出口窗上的设施,如果设施在收藏后或其接头会减小飞行中驾驶员视界,则也可连接在其它经批准的位置上;
(ii) 辅助设施(连同其接头)应能承受1,765牛(180公斤;400磅)的静载荷。
(b) 每个位于机翼上方并具有跨下距离的A型、B型出口必须有从座舱下到机翼的辅助设施,除非能表明无辅助设施的此型出口的旅客撤离率至少与同型非机翼上方的出口相同。要求有辅助设施时,它必须能在出口打开的同时自动展开和自动竖立。对于C型出口,它必须要在出口的开启装置启动之后10秒钟内自动支承。对于其它类型出口,必须要在展开之后6秒钟内自行支承。
(c) 必须制定从每个机翼上方应急出口撤离的撤离路线,并且(除了可作为滑梯使用的襟翼表面外)均应覆以防滑层。除了提供疏导撤离人流装置的情况外,撤离路线必须满足以下要求:
(1) A型、B型的乘客应急出口处的撤离路线,或两个III型乘客应急出口处的任何共用撤离路线,必须至少1,066毫米(42英寸)宽。任何其它的乘客应急出口必须至少610毫米(24英寸)宽;
(2) 撤离路线表面的反射率必须至少为80%,而且必须用表面对标记的对比度至少为5:1的标记进行界定。
(d) 位于机翼上方的C型出口和所有那些当飞机放下起落架停在地面上,本条(c)要求的撤离路线在飞机结构上的终点离地面高度大于1.83米(6英尺)时,必须要为撤离者到达地面提供辅助设施,并且:
(1) 如果撤离路线经过襟翼,则必须在襟翼处于起飞或着陆位置(取离地高度较大者)时测量终点的高度;
(2) 辅助设施必须能在一根或几根起落架支柱折断后,风向最不利、风速25节的条件下仍然可以使用并自行支承;
(3) 供每条从A型、B型应急出口引出的撤离路线使用的辅助设施,必须能同时承载两股平行的撤离人员。对任何其它类型的出口,其辅助设施能同时承载的撤离人员股数必须与所要求的撤离线路数目相同;
(4) 供每条从C型应急出口引出的撤离路线使用的辅助设施,必须能在出口的开启机构被启动后10秒钟内自动竖立,对于任何其它类型的出口,其辅助设施必须在竖立系统启动之后的10秒钟内自动竖立。
(e) 如果作为旅客应急出口的旅客登机门上装有整体式梯子,则该梯子必须设计成在下列情况下不会降低旅客应急撤离的有效性:
(1) 舱门、整体式梯子和操纵机构受到第25.561条(b)(3)规定的相对于周围结构分别作用的惯性力。
(2) 飞机处于正常的地面姿态和一根或几根起落架支柱折断的每一姿态。
〔中国民用航空总局1995年12月18日第二次修订,2001年5月14日第三次修订,交通运输部2016年3月17日第四次修订〕
第25.811条 应急出口的标记
(a) 每个旅客应急出口的接近通路和开启措施,必须有醒目的标记。
(b) 必须能从距离等于座舱宽度处认清每个旅客应急出口及其位置。
(c) 必须有措施协助乘员在浓烟中找到出口。
(d) 必须用沿客舱每条主过道走近的乘员能看见的标示,来指明旅客应急出口的位置。下列部位必须有标示:
(1) 在每个旅客应急出口近傍的每条主过道上方必须有旅客应急出口位置的标示。如果净空高度不足,则必须把标示设在高过头部的其它可行位置。如果能从某个标示处方便地见到多个出口,则该标示可用于指示多个出口;
(2) 紧靠每个旅客应急出口必须有旅客应急出口标示。如果能从某个标示处方便地见到两个出口,则该标示可用于指示两个出口;
(3) 在挡住沿客舱前后视线的每个隔框或隔板上,必须有标示来指示被隔框或隔板挡住的应急出口。如果不能做到,则指示可以设置在其它适当的位置上。
(e) 操作手柄的位置和从机内开启出口的说明,必须以下述方式显示:
(1) 在每个旅客应急出口上或其附近,必须有一个从相距760毫米(30英寸)处可辩读的标记。
(2) 对每个A型、B型、C型、I型的旅客应急出口操作手柄必须符合下列规定:
(i) 自身发亮,其初始亮度至少为0.51坎每平方米(160微朗伯);
(ii) 位于醒目处,并且即使有乘员拥挤在出口近傍也能被应急照明灯照亮。
(3) 〔备用〕
(4) 对每个A型、B型、C型、I型或II型旅客应急出口,如果其锁定机构是靠转动手柄来开启的,则必须作标记如下:
(i) 绘有红色圆弧箭头,箭身宽度不小于19毫米(3/4英寸),箭头两倍于箭身宽度,圆弧半径约等于3/4手柄长度,圆弧范围至少为70°;
(ii) 当手柄转过全行程并开启锁定机构时,手柄的中心线落在箭头尖点±25毫米(1英寸)的范围内;
(iii) 在靠近箭头处,用红色水平地书写“开”字(汉字字高至少为40毫米;英文字高为25毫米(1英寸))。
(f) 每个要求能从外侧打开的应急出口及其开启措施,必须在飞机外表面作标记,此外,采用下列规定:
(1) 机身侧面旅客应急出口的外部标记,必须包括一条圈出该出口的50毫米(2英寸)宽的色带;
(2) 包括色带在内的外部标记,必须具有与周围机身表面形成鲜明对比的、容易区别的颜色。其对比度必须为:如果深色的反射率等于或小于15%,则浅色的反射率必须至少为45%;如果深色的反射率大于15%,则深色的反射率和浅色的反射率必须至少相差30%。“反射率”是物体反射的光通量与它接收的光通量之比;
(3) 非机身侧面的出口(如机腹或尾锥出口)的外部开启措施(包括操作说明在内,如果适用)必须醒目地用红色作标记,如果背景颜色使红色不醒目,则必须用鲜明的铬黄色作标记。当开启措施仅设置在机身一侧时,必须在另一侧上有同样效果的醒目标记。
(g) 本条(d)要求的每个标示,在文字上可用“出口”字样来代替“应急出口”这一术语。
〔中国民用航空总局1995年12月18日第二次修订,2001年5月14日第三次修订〕
第25.812条 应急照明
(a) 必须设置独立于主照明系统的应急照明系统。但是,如果应急照明系统的电源与主照明系统的电源是独立分开的,则应急照明和主照明两个系统中提供座舱一般照明的光源可以公用。应急照明系统必须包括下列项目:
(1) 有照明的应急出口标记和位置标示,座舱一般照明光源和机内应急出口区域的照明和地板附近应急撤离通道标记;
(2) 机外应急照明。
(b) 应急出口标示必须按下列规定设置:
(1) 对于客座量(不包括驾驶员座椅)等于或大于10座的飞机,应满足下列要求:
(i) 第25.811(d)(1)条要求的旅客应急出口位置标示和第25.811(d)(2)条要求的旅客应急出口标示,必须用至少高38毫米(1 1/2英寸)的红字衬在有照明的白底上,白底面积至少为135平方厘米(21平方英寸)(不包括字的面积)。被照亮的底与字的对比度必须不小于10∶1。字高与笔划宽度之比为7∶1至6∶1。这些标示必须采用内部电照明,白底的亮度至少为85.7坎每平方米(25英尺-朗伯),其明暗部的对比度不大于3∶1;
(ii) 第25.811(d)(3)条要求的旅客应急出口标示必须用至少高38毫米(1 1/2英寸)的红字衬在白底上,白底面积至少为135平方厘米(21平方英寸)(不包括字的面积)。这些标示必须采用内部电照明或非电的自身发亮,其初始亮度必须至少为1.27坎每平方米(400微朗伯)。如果设置非电的自身发亮式标示,则可以采用红底白字。
(2) 对于客座量(不包括驾驶员座椅)等于或小于9座的飞机,第25.811(d)(1)、(2)和(3)条要求的标示,必须用至少高25毫米(1英寸)的红字衬在至少高50毫米(2英寸)的白底上,这些标示可以采用内部电照明或非电的自身发亮,其初始亮度至少为0.51坎每平方米(160微朗伯)。如果设置非电的自身发亮标示,则可以采用红底白字。
(c) 必须提供客舱的一般照明,使得沿客舱主过道中心线和连接主过道的横向过道中心线,在座椅扶手高度上按间隔1,000毫米(40英寸)进行测量时,平均照度不少于0.538勒(0.05英尺-烛光),但每一测量点处的照度不小于0.108勒(0.01英尺-烛光)。沿机身从最前的旅客应急出口或座舱乘员座椅(两者中取最前者)至最后的旅客应急出口或座舱乘员座椅(两者中取最后者)的过道,应视为客舱主过道。
(d) 各主过道和出口之间通向与地板齐平的旅客应急出口的通道,其地板必须有照明,沿旅客撤离路线的中心线、且平行于地板相距150毫米(6英寸)以内测得的照度不得小于0.215勒(0.02英尺-烛光)。
(e) 当高于座舱通道地板1.2米(4英尺)以上的所有照明光源完全被遮蔽时,地板附近应急撤离通道标记必须能引导乘客应急撤离。在黑夜里,地板附近应急撤离通道标记必须保证每一乘客:
(1) 在离开座椅后,能目视辨认出沿座舱通道地板通向最近出口或座椅前后两个出口的应急撤离通道;和
(2) 仅参照不高于座舱地板1.2米(4英尺)的标记和目视特征能很快辨认出应急撤离通道的每一出口。
(f) 除了按本条(h)设置的仅供给一个辅助设施使用、并独立于飞机主应急照明系统的分系统(该分系统在辅助设施竖立时能自动接通)之外,应急照明系统必须按照下列要求设计:
(1) 必须能从飞行机组的工作位置和从客舱中空中服务员正常座位易于接近的地点,对灯光进行手控;
(2) 必须有飞行机组警告灯,当飞机电源接通而应急照明控制装置未处于准备状态时,该灯发亮;
(3) 驾驶舱内的控制装置必须有“接通”、“断开”和“准备”三种位置。当该装置置于“准备”位置,或者驾驶舱或空中服务员处的一个控制装置置于“接通”位置时,一旦飞机正常电源中断(撞损着陆时机身横向垂直分离引起的中断除外),灯发亮或保持发亮。必须有保险措施以防止处于“准备”或“接通”位置的控制装置被误动。
(g) 外部应急照明必须设置如下:
(1) 每个机翼上方应急出口的照度必须满足下列要求:
(i) 在撤离者可能向座舱外跨出第一步的0.2平方米(2平方英尺)区域内,照度不得小于0.323勒(0.03英尺-烛光)(垂直于入射光方向测量);
(ii) 沿第25.810(c)条要求的防滑撤离路线,在其离出口最远的30%的一段,对于机翼上方的A型应急出口,最小宽度为1067毫米(42英寸);对于所有其它机翼上方的应急出口,最小宽度为610毫米(2英尺),照度不得小于0.538勒(0.05英尺-烛光)(垂直于入射光方向测量);
(iii) 在起落架放下状态,在撤离者利用规定的撤离路线通常可能首先接触的地面上,照度不得小于0.323勒(0.03英尺-烛光)(垂直于入射光方向测量)。
(2) 第25.810(a)条不要求装下地辅助设施的每个非机翼上方应急出口,在起落架放下状态下撤离者可能首先接触的舱外地面上,照度不得小于0.323勒(0.03英尺-烛光)(垂直于入射光方向测量)。
(h) 按第25.810(a)(1)和(d)条要求的协助乘员下地设施必须有照明,使得从飞机上能看见竖好的辅助设施。
(1) 如果辅助设施用外部应急灯光照明,当飞机处于一根或几根起落架支柱折断所对应的每一种姿态时,在撤离者利用规定的撤离路线通常可能首先着地的地方,辅助设施竖立后接地端的照度不得小于0.323勒(0.03英尺-烛光)(垂直于入射光方向测量);
(2) 如果辅助设施用独立的应急照明分系统照明(该系统不供别的辅助设施使用、独立于主应急照明系统,并能在辅助设施竖立时自动接通),该照明设施必须满足下列要求:
(i) 不得因收藏受到不利影响;
(ii) 当飞机处于一根或几根起落架支柱折断所对应的每一种姿态时,在撤离者通常可能首先着地的地方,辅助设施竖立后接地端的照度不得小于0.323勒(0.03英尺-烛光)(垂直于入射光方向测量)。
(i) 每个应急照明装置的能源在应急着陆后的临界环境条件下,必须能按照度要求提供至少10分钟的照明。
(j) 如果用蓄电池作为应急照明系统的能源,它们可以由飞机主电源系统充电,其条件是:充电电路的设计能防止蓄电池无意中向充电电路放电的故障。
(k) 应急照明系统的部件,包括电池、线路继电器、灯和开关,在经受第25.561(b)条所规定的惯性力作用后,必须能正常工作。
(l) 应急照明系统必须设计成,在撞损着陆情况下,发生任何单个的机身横向垂直分离后,能满足下列要求:
(1) 除由于分离而直接损坏者外,本条要求的全部电照明应急灯中不能工作者不超过25%。
(2) 除由于分离而直接损坏者外,第25.811(d)(2)条要求的每个电照明出口标示仍继续工作。
(3) 除由于分离而直接损坏者外,机身每侧至少有一个所要求的外部应急灯仍继续工作。
〔中国民用航空总局1990年7月18日第一次修订,2001年5月14日第三次修订,交通运输部2016年3月17日第四次修订〕
第25.813条 应急出口通路
每个所要求的应急出口必须是旅客可到达的,而且其位置能保证有效撤离。应急出口必须考虑到旅客的分布情况,尽可能的均匀,但座舱两侧出口的大小和位置不必对称。当规定每侧只需一个与地板齐平的出口而飞机又没有尾锥型或机腹型应急出口时,该与地板齐平的出口必须设置在客舱后段,除非其它位置使其成为更有效的旅客撤离口。当规定每侧需要一个以上与地板齐平的出口时,每侧必须至少有一个与地板齐平的出口设置在靠近座舱的每一端头,但这一规定不适用于客货混装布局。此外,应急出口通路还必须满足下列要求:
(a) 必须有通道从最近的主过道通往每个A型、B型、C型、I型或II型应急出口和连通各个旅客区域。通往A型和B型出口的每条通道不得有障碍物,宽度至少为914毫米(36英寸)。旅客区之间的通道以及通往I型、II型或C型应急出口的通道不得有障碍物,宽度至少为510毫米(20英寸)。
除客舱内有两条或多条主过道的情况外,每个A型或B型应急出口的位置必须能使旅客从前后两个方向沿主过道通向该出口。当有两条或多条主过道时,两条主过道之间必须设置若干宽度至少510毫米(20英寸)的无障碍横向过道,其设置要满足以下要求:
(1) 必须有一条横向过道通向最近的主过道与A型、B型应急出口之间的每一条通道;
(2) 必须有一条横向过道通向最近主过道与I型、II型或III型应急出口之间的每一条通道的邻接区;但当连续三排座椅之内有两个III型应急出口设置于两排座椅之间时,可以只用一条横向过道,但此横向过道必须通向从最近主过道到每个应急出口的两条通道之间的邻接区。
(b) 必须按下列规定提供足够的空间,便于机组人员协助旅客撤离:
(1) 每个地板上的辅助空间必须是矩形,必须有足够空间使机组成员在直立时能够有效地协助撤离者。该辅助空间不得使通道的无障碍宽度减小到低于出口所要求的无障碍宽度。
(2) 对于每个A型、B型出口,无论是否有第25.810(a)条要求的辅助设施,都必须在出口的每一侧设置辅助空间。
(3) 对于安装在客座数超过80人的飞机中的每个C型、I型或II型出口,无论是否有第25.810条(a)要求的辅助设施,都必须在通道的一侧提供辅助空间。
(4) 对于每个C型、I型或II型出口,如果有第25.810条(a)要求的辅助设施,必须在通道的一侧提供辅助空间。
(5) 对于根据第25.807条(g)(9)(ii)可以增加25个客座的尾锥型出口,如果有第25.810条(a)要求的辅助设施,必须提供一个辅助空间。
(6) 在每个辅助空间处必须有一个或多个手柄,其位置应能使得机组成员能够稳定自己:
(i) 当手动启用辅助设施(如适用)时,和
(ii) 撤离过程中帮助旅客时。
(c) 对于每个III型或IV型应急出口,必须提供符合下列要求的通路:
(1) 从最近过道到每个出口的通路。此外,对于客座量等于或大于60座的飞机,其每个III型出口还必须符合以下规定:
(i) 除(c)(1)(ii)的要求外,对于与过道应急出口一侧相邻的每排座椅不超过2个座椅的舱内布局,必须提供宽度至少为254毫米(10英寸)的无障碍通道作为通路;而对该区域相邻的每排座椅为3个座椅的布局,则上述宽度至少为510毫米(20英寸)。通道宽度必须在相邻座椅调节到最不利位置时测定。所要求的通道宽度中心线相对应应急出口中心线的水平偏离不得大于127毫米(5英寸);
(ii) 可用两条通道(仅用于椅排之间)代替一条254毫米(10英寸)或510毫米(20英寸)的通道,但其每条的宽度必须至少为152毫米(6英寸),并要直接通向每一应急出口前的无障碍空间(相邻出口不得共用一条通道)。通道宽度必须在相邻座椅调节到最不利位置时测定。出口前的无障碍空间范围,垂直方向必须从地板直至天花板(或至侧壁行李箱底部),前后必须从前通道前缘至后通道后缘,从出口向内的距离则不得小于机上最窄旅客座椅的宽度。应急出口的开口必须完全处在无障碍空间的前后边界范围之内。
(2) 除了通路之外,还有以下补充要求:
(i) 对于客座量等于或大于20座的飞机,在距出口不小于机上最窄旅客座椅宽度的一段距离内,座椅、卧铺或其它突出物(包括处于最不利位置的椅背)均不得阻挡该出口的投影开口或妨碍出口的开启;
(ii) 对于客座量等于或小于19座的飞机,如果有补偿措施能保持出口的有效性,则在上述区域可以有小的障碍。
(3) 对于每个III型应急出口,无论其飞机的客座量大小,都必须有符合下列要求的标牌:
(i) 能让所有坐在出口通道附近并面朝通道的人辩读;
(ii) 准确地说明或图示出口开启方法,包括手柄操作;
(iii) 如果出口为可卸舱盖时,说明舱盖重量,并指出舱盖卸下后的妥当安放位置。
(d) 如果从客舱中任一座椅到达任何规定的应急出口要经过客舱之间的通道,则该通道必须是无障碍的。但可以使用不影响自由通行的帘布。
(e) 在起飞和着陆时允许坐人的任一旅客座椅与任一旅客紧急出口之间不可设置舱门,致使舱门横穿任何撤离路径(包括过道、横向过道和通道)。
(f) 如果需要经过将起飞和着陆时坐人的任一机组成员座椅(驾驶舱座椅除外)与任一紧急出口分开的门,则此门必须具有将其闩住在打开位置的措施。锁闩装置必须能承受当门相对周围结构受到第25.561条(b)所述的极限惯性力时所造成的载荷。
〔中国民用航空总局1995年12月18日第二次修订,2001年5月14日第三次修订,交通运输部2016年3月17日第四次修订〕
第25.815条 过道宽度
座椅之间的旅客过道宽度在任何一处不得小于下表中的值:
*经过适航当局认为必须的试验证实,可以批准更窄的但不小于230毫米(9英寸)的宽度。
第25.817条 最大并排座椅数
在只有一条旅客过道的飞机上,过道每侧任何一排的并排座椅数不得大于3。
第25.819条 下层服务舱(包括厨房)
对于在主舱下面设置服务舱(该舱在滑行和飞行期间可以有人、但在起飞与着陆期间不得有人)的飞机,采用下列规定:
(a) 每个下层服务舱必须至少有两条应急撤离路线,供该舱中的乘员在正常和应急照明条件下迅速撤至主舱:在该舱两端各一条,或两条相隔较远。这些路线的安排,必须考虑失去活动能力者在别人帮助下撤离,使用撤离路线不得依赖任何有动力的装置,路线的设计,必须尽量减少由于下列原因而发生堵塞的可能性:起火、机械故障或结构破损、或者有人挡住撤离路线或站在其顶部出口处。一旦飞机的主电源系统或舱室的主照明系统失效,每个下层服务舱的应急照明必须自动接通。
(b) 在驾驶舱与每个下层服务舱之间,必须有双向通话设施,并且在失去正常的电源系统后仍可工作。
(c) 必须有在正常与应急情况下都能听见的应急音响警报系统,使得驾驶舱内的机组成员,和在每个与地板齐平的应急出口处的机组成员,均能对下层服务舱中的乘员发出应急警报。
(d) 每个下层服务舱必须有乘员易于觉察的设施,指示何时应系好座椅安全带。
(e) 如果机上装有广播系统,则每个下层服务舱内部必须设置扬声器。
(f) 对每个被允许待在下层服务舱的乘员,必须有一个朝前或朝后的座椅,该座椅应满足第25.785(d)条的要求,并且必须在乘员就坐时能承受最大飞行载荷。
(g) 在下层服务舱与主舱之间运送人员或设备,或两者兼运的动力升降系统,必须满足下列要求:
(1) 每个升降梯的外部操纵开关(除应急停止按钮之外)的设计,必须在升降梯门打开、或在本条(g)(3)要求的口盖打开时,或在两者均打开时,能够防止升降梯启动;
(2) 一按即可使升降梯停止的应急停止按钮必须装在升降梯内部和升降梯的每个入口处;
(3) 必须有可用于撤离升降梯内人员的口盖,当升降梯处于任何位置时,不用工具即能从升降梯内部和外部打开该口盖。
〔交通运输部2016年3月17日第四次修订〕
第25.820条 厕所门
所有厕所的门必须设计成能防止任何人被困在厕所内,如果装有门锁机构,应能不用特殊工具可从外部开启。
〔交通运输部2016年3月17日第四次修订〕
通风和加温
第25.831条 通风
(a) 在正常操作情况和任何系统发生可能的失效而对通风产生有害影响条件下,通风系统都必须要能提供足够量的未被污染的空气,使得机组成员能够完成其职责而不致过度不适或疲劳,并且向旅客提供合理的舒适性。通常情况下通风系统至少应能向每一乘员提供每分钟250克(0.55磅)的新鲜空气。
(b) 机组和旅客舱的空气不得含有达到有害或危险浓度的气体或蒸气。为此,采用下列规定:
(1) 一氧化碳在空气中浓度超过1/20,000即认为是危险的。可使用任何可接受的检测一氧化碳的方法进行测试;
(2) 必须表明飞行期间通常有旅客或者机组乘坐的舱的二氧化碳浓度不得超过0.5%体积含量(海平面当量)。
(c) 必须有措施保证,在通风、加温、增压或其它系统和设备出现有合理可能的故障或功能失常后,仍能满足本条(b)的规定。
(d) 如果在驾驶舱区域有合理可能积聚危险数量的烟,则必须能在完全增压的情况下迅速排烟,而减压不超出安全限度。
(e) 除了本条(f) 规定的以外,必须有措施使下列隔舱和区域内的乘员能独立控制所供通风空气的温度和流量,而与供给其它隔舱和区域的空气温度和流量无关:
(1) 驾驶舱;
(2) 驾驶舱以外的机组成员舱和区域。除非在所有运行条件下,该舱或区域都是靠同其它隔舱或区域互换空气来通风的。
(f) 如果满足下列各条,则不要求有措施使飞行机组能独立控制驾驶舱通风空气的温度和流量:
(1) 驾驶舱和客舱的总容积不超过23立方米(800立方英尺);
(2) 通风空气进气口及驾驶舱和客舱之间的空气流动通道的布置,能使两舱之间的温差在3℃(5℉)以内,并且使两舱乘员均有足够的通风;
(3) 温度和通风控制器件的位置便于飞行机组接近。
(g) 任何不可能的失效情况发生后,在给定温度下的持续时间不得超出下面曲线所定出的值。

〔中国民用航空总局2001年5月14日第三次修订,交通运输部2016年3月17日第四次修订〕
第25.832条 座舱臭氧浓度
(a) 必须表明飞行时飞机座舱中的臭氧浓度符合下列要求:
(1) 在320飞行高度层(高度相当于9,750米)以上的任何时刻,不超过0.25/1,000,000体积含量(海平面当量);
(2) 在270飞行高度层(高度相当于8,230米)以上任何3小时期间,不超过0.1/1,000,000体积含量(海平面当量时间加权平均值)。
(b) 在本条中“海平面当量”是指25℃和760毫米汞柱压力的状态。
(c) 必须根据飞机的使用程序和性能限制进行分析或试验,当证实符合下列情况之一时,则表明满足本条要求:
(1) 飞机不能在座舱臭氧浓度超过本条(a)规定限度的高度上运行;
(2) 含有臭氧控制设备的飞机通风系统,能使座舱臭氧浓度保持在不高于本条(a)规定的限度。
〔中国民用航空总局1995年12月18日第二次修订,2001年5月14日第三次修订〕
第25.833条 燃烧加温系统
燃烧加温器必须经过批准。
〔中国民用航空总局1995年12月18日第二次修订〕
增压
第25.841条 增压座舱
(a) 载人的增压座舱和隔舱必须装有设备,以保证在正常运行条件下,在飞机最大使用高度上保持座舱压力高度不超过2,438米(8,000英尺)。
(1) 如果申请在7,620米(25,000英尺)以上运行的合格审定,则飞机必须设计为在增压系统任何可能的失效情况发生后乘员不会经受到座舱压力高度超出4,572米(15,000英尺)。
(2) 飞机必须设计成在发生任何未经表明是极不可能的失效情况而导致释压后不会使乘员经受超出下列座舱压力高度:
(i) 7,620米(25,000英尺),超过2分钟;或
(ii) 12,192米(40,000英尺),任何时段。
(3) 在评估座舱释压情况时应考虑机身结构、发动机和系统的失效。
(b) 增压座舱必须至少有下列控制座舱压力的活门、控制器和指示器:
(1) 两个释压活门,当压力源提供最大流量时能将正压差自动限制在预定值(当内压大于外压时,压差为正值)。释压活门的组合排气量必须足以保证任一活门的失效不会引起压差显著升高;
(2) 两个负压差释压活门(或其等效装置),能自动防止会损坏结构的负压差出现。然而,如果设计能合理地预防其故障,则一个活门即可;
(3) 使压差能迅速平衡的装置;
(4) 一个自动调节器或人工调节器,能控制进气或排气,或控制两者,以维持要求的内压和空气流量;
(5) 驾驶员和飞行工程师工作位置处的仪表,用来指示压差、座舱压力高度和压力高度变化率;
(6) 驾驶员和飞行工程师工作位置处的警告指示器,当超过压差的安全值或预先调定值时,以及超过座舱压力高度限制时能发出指示。座舱压差指示器上相应的警告标记,要满足对压差限制的报警要求;音响或目视信号(座舱高度指示装置除外)要满足对座舱压力高度限制的要求,当座舱压力高度超过3,048米(10,000英尺)时向飞行机组发出警告;
(7) 如果结构不是按压差(直到释压活门的最大调定值)和着陆载荷的组合来设计的,驾驶员或飞行工程师工作位置处应设置警告标牌;
(8) 本条(b)(5)和(b)(6)及第25.1447(c)条所要求的压力传感器,其分布及传感系统的设计必须保证,一旦任何客舱或机组舱(包括上、下厨房)泄压,上述规定的警告和自动显示装置应能立刻动作,使得减压引起的危险不致过大。
〔中国民用航空总局2001年5月14日第三次修订,交通运输部2016年3月17日第四次修订〕
第25.843条 增压座舱的试验
(a) 强度试验 整个增压舱,包括门、窗和活门,必须作为一个压力容器按第25.365(d)条规定的压差进行试验。
(b) 功能试验 必须进行下列功能试验:
(1) 正、负压差释压活门和应急释压活门的功能和排气量试验,以模拟调节器活门关闭的影响;
(2) 增压系统试验,以表明直到申请合格审定的最大高度的每种可能的压力、温度和湿度条件下功能正常;
(3) 飞行试验,以表明在定常和梯度爬升及下降时压力源、压力和流量调节器、指示器和警告信号的性能,爬升和下降的速率应相当于飞机使用限制内能够达到的最大值,高度直至申请合格审定的最大高度为止;
(4) 每一舱门和应急出口的试验,以表明它们在经受本条(b)(3)规定的飞行试验后工作正常。
〔交通运输部2016年3月17日第四次修订〕
防火
第25.851条 灭火器
(a) 手提式灭火器
(1) 客舱内必须至少有下列数目、均匀分布、可方便取用的手提式灭火器:
(2) 驾驶舱内,必须至少有一个可方便取用的手提式灭火器。
(3) 每个A级或B级货舱或行李舱和每个机组人员在飞行中可以到达的E级货舱或行李舱内,必须至少有一个易于接近取用的手提式灭火器。
(4) 位于客舱上面或下面的每个厨房内,必须至少放置或有一个易于接近取用的手提式灭火器。
(5) 每个手提式灭火器必须经批准。
(6) 在舱内要求设置的灭火器中,对客座量至少为31座和不超过60座的飞机,必须至少有一个是内装Halon 1211灭火剂(溴基氯二氟(代)甲烷CBrC1F2)或等效物的,对客座量等于或大于61座的飞机,必须至少有二个是内装上述灭火剂的。
本条所要求的任何其它灭火器所用的灭火剂类型,必须与其使用部位很可能发生的火灾类型相适应。
(7) 本条要求的灭火器内的灭火剂剂量,必须与其使用部位很可能发生的火灾类型相适应。
(8) 预定用于载人舱的每个灭火器的设计,必须尽量减小其毒性气体浓度的危害。
(b) 固定式灭火器
如果安装固定式灭火器,必须满足下列要求:
(1) 每个固定式灭火系统的安装必须做到:
(i) 使很可能进入载人舱的灭火剂不致危害乘员;
(ii) 灭火剂的喷射不会引起结构损伤。
(2) 每个所要求的固定式灭火系统的容量,必须与使用该系统的隔离舱内很可能发生的任何火情相适应,并要考虑舱内容积及通风率。
〔中国民用航空总局1995年12月18日第二次修订〕
第25.853条 座舱内部设施
下述规定适用于每个机组舱或旅客舱:
(a) 舱内材料(包括用于材料的涂层或饰面)必须满足本部附录F第I部分规定的适用试验准则或其它经批准的等效试验方法,无论飞机的客座量为多少。
(b) 〔备用〕
(c) 除满足本条(a)款的要求外,无论飞机的客座量为多少,所有椅垫(飞行机组成员的椅垫除外)还必须满足本部附录F第II部分的要求或其它等效要求。
(d) 除在本条(e)款中有规定的外,客座量为20人或多于20人的飞机的下列内饰部件除满足本条(a)中规定的燃阻要求外,还必须满足本部附录F第IV和第V部分的试验要求或其它经批准的等效试验要求:
(1) 除透光片和窗户之外的内部天花板和壁板;
(2) 除增加客舱安全性所需的透明板之外的隔板;
(3) 厨房结构,包括储藏车、标准容器和中空壁板在未充满时的暴露表面;
(4) 除座椅下存放小物件(如杂志和地图)的储藏箱之外的大橱柜和座舱储藏箱。
(e) 如果各舱,如驾驶舱、厨房、厕所、机组人员休息处、大橱柜和储藏箱等这些舱室与主客舱由在应急着陆情况下通常关闭着的门或等效措施隔离开,则其内部设施不必满足本条(d)款的要求。
(f) 厕所内禁止吸烟。如果在任何机组舱或旅客舱内允许吸烟时,则必须为所有坐着的乘员在指定的吸烟区提供足够数量的可卸自容式烟灰盒。
(g) 无论飞机的任何其它区域是否允许吸烟,每扇厕所门的进入一侧上或其近旁必须在醒目位置处设置可卸自容式烟灰盒,但一只烟灰盒也可供几个厕所门使用,只要从上述每个厕所靠座舱的一侧能容易地看到该烟灰盒。
(h) 用于收集可燃废弃物的废物箱必须为全封闭式,至少由耐火材料制成,并能包容在正常使用情况下其中很可能发生的起火。在使用中预期的所有可能的磨损、错位和通风情况下废物箱的这种火焰包容能力,必须通过试验证实。
〔中国民用航空总局1990年7月18日第一次修订,1995年12月18日第二次修订,2001年5月14日第三次修订,交通运输部2016年3月17日第四次修订〕
第25.854条 厕所防火
客座量等于或大于20座的飞机,必须满足下列厕所防火要求:
(a) 每个厕所必须安装烟雾探测系统或等效装置,在驾驶舱内设置警告灯,或者在旅客舱设置空中服务员容易察觉的警告灯或音响警告;
(b) 必须在每个厕所内为每个收集毛巾、纸张或废弃物的废物箱配备固定式灭火器。灭火器必须设计成在某个废物箱内起火时,能自动向该废物箱喷射灭火剂。
〔中国民用航空总局1995年12月18日第二次修订〕
第25.855条 货舱和行李舱
每个货舱和行李舱必须满足以下要求:
(a) 必须满足第25.857条等级要求中的一种。
(b) 第25.857条定义的B级至E级货舱或行李舱必须有同飞机结构分开的衬垫(但衬垫可与结构连接)。
(c) C级货舱的天花板和侧壁的衬垫必须满足本部附录F第III部分规定的试验或其它经批准的等效试验方法的要求。
(d) 构成货舱或行李舱的所有其它材料必须满足本部附录F第I部分或其它经批准的等效试验方法规定的适用试验准则。
(e) 任何舱内不得含有其损坏或故障将影响安全运行的任何操纵机构、管路、设备或附件,除非这些项目具有满足下列要求的保护措施:
(1) 舱内货物的移动不会损伤这些项目;和
(2) 这些项目的破裂或故障不会引起着火危险。
(f) 必须有防止货物或行李干扰舱内防火设施功能的措施。
(g) 舱内热源必须屏蔽和隔绝,防止引燃货物。
(h) 必须进行飞行试验以表明符合第25.857条中涉及下列方面的规定:
(1) 舱的可达性;
(2) 阻止危险量的烟或灭火剂进入机组舱或客舱;和
(3) C级舱内灭火剂的消散。
(i) 进行上述试验时必须表明,在灭火过程中或灭火后,任何货舱内的烟雾探测器或火警探测器不会由于任何另一货舱内的着火而产生误动作,除非灭火系统同时向每个货舱喷射灭火剂。
(j) 货舱或行李舱的电气线路互联系统部件必须符合25.1721条的要求。
〔中国民用航空总局1990年7月18日第一次修订,1995年12月18日第二次修订,2001年5月14日第三次修订,交通运输部2016年3月17日第四次修订〕
第25.856条 隔热/隔音材料
(a) 机身的隔热/隔音材料必须满足本部附录F第VI部分规定的火焰蔓延试验要求,或其它经批准的等效试验要求。本条不适用于本部附录F第I部分定义的“小件”。
(b) 客座量等于或大于20座的飞机,安装在飞机机身下半部分的隔热/隔音材料(包括将该材料固定在机身处的手段)必须满足本部附录F第VII部分规定的抗火焰烧穿试验要求,或其它经批准的等效试验要求。本条不适用于局方认为对抗火焰烧穿性没有贡献的隔热/隔音的安装。
〔交通运输部2016年3月17日第四次修订〕
第25.857条 货舱等级
(a) A级 A级货舱或行李舱是指具备下列条件的舱:
(1) 机组成员在其工作位置上能容易地发现着火;
(2) 在飞行中容易接近舱内每个部位。
(b) B级 B级货舱或行李舱是指具备下列条件的舱:
(1) 有足够的通路使机组成员在飞行中能携带手提灭火瓶有效地到达舱内任何部位;
(2) 当利用通道时,没有危险量的烟、火焰或灭火剂进入任何有机组或旅客的舱;
(3) 有经批准的、独立的烟雾探测或火警探测器系统,可在驾驶员或飞行工程师工作位置处给出警告。
(c) C级 C级货舱或行李舱是指不符合A级和B级要求的舱,但是这类舱应具备下列条件:
(1) 有经批准的、独立的烟雾探测或火警探测器系统,可在驾驶员或飞行工程师工作位置处给出警告;
(2) 有从驾驶舱处可操纵的、经批准的固定式灭火或抑制系统;
(3) 有措施阻止危险量的烟、火焰或灭火剂进入任何有机组或旅客的舱;
(4) 有控制舱内通风和抽风的措施,使所有灭火剂能抑制舱内任何可能的着火。
(d) 〔备用〕
(e) E级 E级货舱指仅用于装货的飞机上的货舱:
(1) 〔备用〕
(2) 有经批准的、独立的烟雾探测或火警探测器系统,可在驾驶员或飞行工程师工作位置处给出警告;
(3) 有措施切断进入货舱的或货舱内的通风气流,这些措施的操纵器件是机组舱内的飞行机组可以接近的;
(4) 有措施阻止危险量的烟、火焰或有毒气体进入驾驶舱;
(5) 在任何装货情况下,所要求的机组应急出口是可以接近的。
〔中国民用航空总局1990年7月18日第一次修订,2001年5月14日第三次修订,交通运输部2016年3月17日第四次修订〕
第25.858条 货舱或行李舱烟雾或火警探测系统
如果申请带有货舱或行李舱烟雾探测或火警探测装置的合格审定,则对于每个装有此种装置的货舱或行李舱,必须满足下列要求:
(a) 该探测系统必须在起火后一分钟内,向飞行机组给出目视指示;
(b) 该系统能探测到火警时的温度,必须远低于使飞机结构完整性显著降低的温度;
(c) 必须有措施使机组在飞行中能检查每个火警探测器线路的功能;
(d) 必须表明,探测系统在所有经批准的运行形态和条件下均为有效。
〔中国民用航空总局2001年5月14日第三次修订〕
第25.859条 燃烧加温器的防火
(a) 燃烧加温器火区 下列燃烧加温器的火区,必须根据第25.1181至25.1191条和第25.1195至25.1203条中适用的规定进行防火:
(1) 加温器周围的如下区域:该区域内有任何可燃液体系统(不包括加温器燃油系统)的部件,而这些部件可能会出现下列任一后果:
(i) 由于加温器故障而受到损伤;
(ii) 一旦渗漏将使可燃液体或蒸气到达加温器。
(2) 加温器周围的如下区域:加温器燃油系统的接头一旦渗漏,会使燃油或蒸气进入的区域;
(3) 燃烧室周围的通风通路。但是,座舱通风通路不要求有灭火措施。
(b) 通风管道 通过任何火区的每根通风管道必须是防火的。此外还必须满足下列要求:
(1) 除非备有防火阀或等效装置进行隔离,否则,处于每个加温器下游的通风管道,必须有足够长的一段是防火的,以保证能包容加温器内的任何起火;
(2) 通风管道通过具有可燃液体系统的区域的每一部分,必须与该系统隔离,或构造成在该系统任何部件发生故障时,可燃液体或蒸气不会进入通风气流。
(c) 燃烧空气管道 每根燃烧空气管道必须有足够长的一段是防火的,以防止回火或反向火焰蔓延而引起损坏。此外还必须满足下列要求:
(1) 燃烧空气管道与通风气流不得使用共同的开口,除非在任何工作条件下,包括倒流或者加温器或其有关部件发生故障时,回火或反向燃烧的火焰不会进入通风气流;
(2) 燃烧空气管道不得限制有害的回火迅速释放,以免损坏加温器。
(d) 加温器操纵装置 总则 必须有措施,防止在任何加温器操纵部件、操纵系统导管或者安全控制装置上及其内部产生冰或水的危险积聚。
(e) 加温器安全控制装置 对于每个燃烧加温器,必须备有下列安全控制装置:
(1) 每个加温器必须备有与正常连续控制空气温度、空气流量和燃油流量的部件无关的独立装置,当发生下列任一情况时,能在远离加温器处自动切断该加温器的点火和供油:
(i) 热交换器的温度超过安全限制;
(ii) 通风空气的温度超过安全限制;
(iii) 燃烧空气流量变得不适于安全工作;
(iv) 通风空气流量变得不适于安全工作。
(2) 为满足本条(e)(1)要求所设的任何单个加温器的安全控制装置必须符合下列规定:
(i) 与其它加温器(其供热对安全运行是至关重要的)所用的部件无关;
(ii) 能保持加温器断开,直到由机组重新起动为止。
(3) 必须有措施,能在任何加温器(其供热对安全运行是至关重要的)被本条(e)(1)规定的自动装置切断后向机组发出警告。
(f) 空气进口 每个供燃烧和通风用的空气进口的设置,必须使得在下列任何工作条件下不会有可燃液体或蒸气进入加温器系统:
(1) 正常工作期间;
(2) 任何其它部件发生故障后。
(g) 加温器排气 加温器排气系统必须符合第25.1121条和第25.1123条的规定。此外,在加温器排气系统设计中,必须采取措施使燃烧产物安全排出以防发生下列情况:
(1) 排气中的燃油渗漏到周围舱内;
(2) 废气冲撞周围的设备或结构;
(3) 因排气而点燃可燃液体(如果是在装有可燃液体管路的舱内排气);
(4) 排气限制了有害回火的迅速释放,以致可能损坏加温器。
(h) 加温器燃油系统 每个加温器的燃油系统,必须满足对动力装置燃油系统的要求中涉及加温器安全工作的各项要求。通风气流中每个加温器的燃油系统部件,必须用外罩保护,使其漏油不会进入通风气流。
(i) 排放装置 必须有排放装置,安全排放可能积聚在燃烧室或热交换器中的燃油。该装置必须符合下列规定:
(1) 排放装置在高温下工作的任何部分,必须具有与加温器排气部分相同的保护;
(2) 每个排放装置必须防止在任何运行条件下出现危险的结冰。
第25.863条 可燃液体的防火
(a) 凡可燃液体或蒸气可能因液体系统渗漏而逸出的区域,必须有措施尽量减少液体和蒸气点燃的概率以及万一点燃后的危险后果。
(b) 必须用分析或试验方法表明符合本条(a)的要求,同时必须考虑下列因素:
(1) 液体渗漏的可能漏源和途径,以及探测渗漏的方法;
(2) 液体的可燃特性,包括任何可燃材料或吸液材料的影响;
(3) 可能的引燃火源,包括电气故障,设备过热和防护装置失效;
(4) 可用于抑制燃烧或灭火的手段,例如截止液体流动,关断设备,防火的包容物或使用灭火剂;
(5) 对于飞行安全是关键性的各种飞机部件的耐火耐热能力。
(c) 如果要求飞行机组采取行动来预防或处置液体着火(例如关断设备或起动灭火瓶),则必须备有迅速动作的向机组报警的装置。
(d) 凡可燃液体或蒸气有可能因液体系统渗漏而逸出的区域,必须确定其部位和范围。
第25.865条 飞行操纵系统、发动机架和其它飞行结构的防火
位于指定火区或可能受到火区着火影响的邻近区域内必不可少的飞行操纵系统、发动机架和其它飞行结构,必须用防火材料制造或加以屏蔽,使之能经受住着火影响。
第25.867条 其它部件的防火
(a) 发动机短舱后面距短舱中心线一个短舱直径范围内的机体表面至少必须是耐火的。
(b) 本条(a)不适用于位于发动机短舱后,而不易受到来自指定火区或任何短舱中发动机舱的热、火焰或火花的影响的尾面。
第25.869条 系统防火
(a) 电气系统部件
(1) 电气系统的部件必须满足第25.831(c)条和第25.863条中有关的防火和防烟要求;
(2) 位于指定火区并在应急程序中使用的设备必须至少是耐火的;
(3) EWIS部件必须符合25.1713条的要求。
(b) 在泵出口一侧的可能含有可燃蒸气或液体的每一真空系统导管和接头,如果位于指定火区内,则必须满足第25.1183条的要求。在指定火区内的其它真空系统部件必须至少是耐火的。
(c) 氧气设备和管路必须满足下述要求:
(1) 不得位于任何指定火区内;
(2) 必须加以防护,免受任何指定火区可能产生或逸出的热量的影响;
(3) 其安装必须使得所漏出的氧气不致点燃正常工作时存在的和因任何系统失效或故障而聚积的油脂、油液或蒸气。
〔中国民用航空总局1995年12月18日第二次修订,交通运输部2016年3月17日第四次修订〕
其它
第25.871条 定飞机水平的设施
必须有确定飞机在地面处于水平位置的设施。
第25.875条 螺旋桨附近区域的加强
(a) 飞机上靠近螺旋桨叶尖的每一部位,其强度和刚度必须足以承受螺旋桨诱导振动和螺旋桨抛冰的影响。
(b) 螺旋桨叶尖附近不得设置窗户,除非该窗户能承受可能发生的最严重的冰块冲击。
第25.899条 电搭接和防静电保护
(a) 电搭接和防静电保护的设计,必须使得造成如下危害的静电积聚最小:
(1) 人员电击受伤
(2) 点燃可燃蒸气,或
(3) 干扰安装的电子电气设备
(b) 通过如下方法,以证明符合本条(a)段的要求:
(1) 将部件对机身可靠搭接,或
(2) 采取其他可接受的方法消除静电,使其不再危及飞机、人员或其他安装的电子电气系统的正常运行。
〔交通运输部2016年3月17日第四次修订〕
E分部 动力装置
总则
第25.901条 安装
(a) 就本部而言,飞机动力装置的安装包括下列部件:
(1) 推进所必需的部件;
(2) 与主推进装置操纵有关的部件;
(3) 在正常检查或翻修的间隔期内与主推进装置安全有关的部件。
(b) 对于动力装置,必须满足下列要求:
(1) 其安装必须符合下列规定:
(i) 中国民用航空规章第33.5条中规定的安装说明书;
(ii) 本分部中适用的规定。
(2) 安装的各部件其构造、布置和安装必须保证在正常检查或翻修的间隔期内能继续保持安全运转;
(3) 其安装必须是可达的,以进行必要的检查和维护;
(4) 安装的主要部件必须与飞机其它部分电气搭接。
(c) 对于动力装置和辅助动力装置的安装,必须确认任何单个失效或故障或可能的失效组合都不会危及飞机的安全运行,但如果结构元件的破损概率极小,则这种破损不必考虑。
(d) 辅助动力装置的安装必须符合本部中适用的规定。
〔中国民用航空总局1995年12月18日第二次修订〕
第25.903条 发动机
(a) 发动机型号合格证
(1) 每型发动机必须有型号合格证,并且必须满足中国民用航空局有关涡轮发动机飞机燃油排泄和排气污染规定的适用要求。
(2) 每型涡轮发动机应满足下列要求之一:
(i) 必须符合经第一次修订或以后修订的中国民用航空规章第33.76条、第33.77条和第33.78条的规定;或
(ii) 必须符合1988年2月9日生效的中国民用航空规章第33.77条的规定,除了发动机有外来物吸入曾导致了不安全状态的履历之外;或
(iii) 必须表明具有在类似安装位置上吸入的外来物未曾造成任何不安全情况的使用履历。
(b) 发动机的隔离 各动力装置的布置和相互隔离,必须至少能在一种运行形态下,使任一发动机或任一能影响此发动机的系统失效或故障时,不致发生下列情况:
(1) 妨碍其余发动机继续安全运转;
(2) 需要任何机组成员立即采取动作以保证继续安全运行。
(c) 发动机转动的控制 必须有在飞行中单独停止任一台发动机转动的措施,但对于涡轮发动机的安装,只有在其继续转动会危及飞机的安全时才需要有停止任一发动机转动的措施。在防火墙的发动机一侧,可能暴露于火中的停转系统的每个部件必须至少是耐火的。如果为此目的使用螺旋桨液压顺桨系统,顺桨管路在顺桨期间可预期出现的各种使用条件下必须至少是耐火的。
(d) 涡轮发动机的安装 对于涡轮发动机的安装有下列规定:
(1) 必须采取设计预防措施,能在一旦发动机转子损坏或发动机内起火烧穿发动机机匣时,对飞机的危害减至最小;
(2) 与发动机各控制装置、系统、仪表有关的各动力装置系统的设计必须能合理保证,在服役中不会超过对涡轮转子结构完整性有不利影响的发动机使用限制。
(e) 再起动能力
(1) 必须有飞行中再起动任何一台发动机的手段。
(2) 必须制定飞行中再起动发动机的高度和空速包线,并且每台发动机必须具有在此包线内再起动的能力。
(3) 对于涡轮发动机飞机,如果在飞行中所有发动机停车后,发动机的最小风车转速不足以提供发动机点火所需的电功率,则必须有一个不依赖于发动机驱动的发电系统的电源,以便能在飞行中对发动机点火进行再起动。
(f) 辅助动力装置 每台辅助动力装置必须经批准,或满足其预定使用的类型要求。
〔中国民用航空总局1995年12月18日第二次修订,2001年5月14日第三次修订〕
第25.904条 起飞推力自动控制系统(ATTCS)
请求批准安装发动机功率控制系统(该系统在起飞过程中当任一发动机失效时自动地重新调定工作发动机的功率或推力)的申请人必须满足附录I的要求。
〔中国民用航空总局1990年7月18日第一次修订〕
第25.905条 螺旋桨
(a) 每型螺旋桨必须有型号合格证。
(b) 发动机的功率和螺旋桨轴的转速不得超过螺旋桨合格审定通过的限制。
(c) 桨距操纵系统的每个部件必须满足中国民用航空规章第35.42条的要求。
(d) 必须采取设计预防措施,使得螺旋桨叶损坏或由于桨毂损坏而松脱时,对飞机的危害减至最小。必须考虑的危害包括由于损坏或松脱桨叶的撞击和由于这类损坏或松脱产生的不平衡,对结构和重要系统的损伤。
〔中国民用航空总局1995年12月18日第二次修订〕
第25.907条 螺旋桨振动
(a) 必须按实际测量或同已作过实测的类似安装进行比较,来确定任何正常的使用条件下螺旋桨桨叶振动应力的大小。
(b) 所确定的振动应力不得超过业已表明对连续工作是安全的应力值。
第25.925条 螺旋桨间距
除非已证实可采用更小的间距,飞机在最大重量、最不利重心位置以及螺旋桨在最不利桨距位置的情况下,螺旋桨间距不得小于下列规定:
(a) 地面间距 起落架处于静压缩状态,当飞机处于水平起飞姿态或滑行姿态时(取最临界的姿态),每一螺旋桨与地面之间的间距均不得小于180毫米(7英寸)(对前轮式飞机)或230毫米(9英寸)(对尾轮式飞机)。此外,当处于临界轮胎完全泄气和相应的起落架支柱压缩到底的水平起飞姿态时,螺旋桨与地面之间必须有正的间距;
(b) 水面间距 每一螺旋桨与水面之间的间距不得小于460毫米(18英寸),如果能表明采用更小的间距仍符合第25.239(a)条的规定则除外。
(c) 结构间距
(1) 桨尖与飞机结构之间的径向间距不得小于25毫米(1英寸),加上计及有害的振动所必需的任何附加径向间距。
(2) 螺旋桨桨叶或桨叶柄整流轴套与飞机各静止部分之间的纵向间距不得小于13毫米(1/2英寸)。
(3) 螺旋桨其它转动部分或桨毂罩与飞机的各静止部分之间必须有正的间距。
〔中国民用航空总局1995年12月18日第二次修订〕
第25.929条 螺旋桨除冰
(a) 预定在可能结冰条件下使用的飞机,必须有措施防止或除去螺旋桨上或附件(其结冰会恶化发动机性能)上达到危险程度的结冰。
(b) 如果螺旋桨采用可燃液体除冰,则应符合第25.1181至25.1185条以及第25.1189条的规定。
第25.933条 反推力系统
(a) 涡轮喷气发动机反推力系统
(1) 仅预定在地面使用的发动机反推力系统必须设计成,在飞行中处于任何反推力位置时,发动机不会产生大于飞行慢车状态的推力。此外,必须通过分析或试验,或两者兼用来表明满足下列要求:
(i) 反推力装置能收回到推力位置;
(ii) 反推力装置处于任何可能的位置时,飞机能继续安全飞行和着陆。
(2) 预定在飞行中使用的涡轮喷气发动机反推力系统必须设计成,在任何预期的飞机运行(包括地面运行)条件下,当反推力系统正常工作或发生任一失效(或有合理可能的失效组合)时,均不会造成不安全情况。如果结构元件的破损率极小,则这种破损不必考虑。
(3) 涡轮喷气发动机反推力系统,必须有措施防止在反推力系统有故障时发动机产生大于慢车状态的推力。但是,在运行中预期的最临界反推力情况下,只要表明仅采取气动力措施能保证飞机的航向操纵,则发动机可以产生更大的正推力。
(b) 螺旋桨反推力系统
(1) 仅预定在地面使用的螺旋桨反推力系统必须设计成,在任何预期的运行条件下,系统的单个失效(或有合理可能的失效组合)或故障不会引起不希望的反推力,如果结构元件的破损率极小,则这种破损不必考虑。
(2) 对于桨叶能从飞行低距位置移动到明显小于正常飞行低距位置的螺旋桨系统,可通过失效分析、试验或两者兼用来表明满足本条要求。为表明螺旋桨及其有关安装部件满足中国民用航空规章第35.21条有关要求所作的分析,可以包括在上述分析之内或作为其依据。
〔中国民用航空总局1995年12月18日第二次修订,交通运输部2016年3月17日第四次修订〕
第25.934条 涡轮喷气发动机反推力装置系统试验
装在涡轮喷气发动机上的反推力装置必须满足中国民用航空规章第33.97条的有关要求。
〔中国民用航空总局1995年12月18日第二次修订〕
第25.937条 涡轮螺旋桨阻力限制系统
涡轮螺旋桨飞机的螺旋桨阻力限制系统必须设计成,在正常或应急使用期间,任何系统的单个失效或故障均不使螺旋桨阻力超过按第25.367条设计飞机所采用的值。如果阻力限制系统结构元件的破损概率极小,则这种破损不必考虑。
第25.939条 涡轮发动机工作特性
(a) 必须在飞行中检查涡轮发动机的工作特性,以确认在飞机和发动机使用限制范围内的正常和应急使用期间,不会出现达到危险程度的不利特性(如失速、喘振或熄火)。
(b) 〔备用〕
(c) 在正常运行期间,涡轮发动机进气系统不得由于气流畸变的影响而引起有害于发动机的振动。
第25.941条 进气系统、发动机和排气系统的匹配性
对于装用几何形状可变的进气系统或排气系统或两者兼用的飞机应符合下列规定:
(a) 必须表明,由进气部分、发动机(包括推力增大系统,如果装有)和排气部分组成的系统,在申请批准的所有运行条件(包括发动机所有的转速和功率或推力调定值以及各种进气和排气形态)下,工作正常;
(b) 上述各部分的工作(计及可能的故障)对飞机气动操纵的动态影响,不得要求驾驶员为避免超过飞机的使用限制或结构限制而付出特殊的技巧、机敏或体力;
(c) 表明符合本条(b)的规定时,在第25.143(e)和(f) 条规定的条件下,要求驾驶员付出的体力不得超过第25.143(d)条规定的限制。
〔中国民用航空总局1995年12月18日第二次修订,交通运输部2016年3月17日第四次修订〕
第25.943条 负加速度
当飞机在第25.333条规定的飞行包线内作负加速度时,发动机、经批准在飞行中使用的辅助动力装置,或者与动力装置或辅助动力装置有关的任何部件或系统不得出现危险的故障。必须按预计的负加速度最长持续时间表明满足上述要求。
第25.945条 推力或功率增大系统
(a) 总则 喷液系统在所有预定的运行条件下必须以发动机正常工作所需的规定流量和压力提供液流。如果液体会冻结,则液体的冻结不得损伤飞机或对飞机性能有不利影响。
(b) 液箱 推力或功率增大系统的液箱必须满足下列要求:
(1) 液箱必须能承受运行中可能遇到的振动、惯性、液体和结构载荷而无损坏;
(2) 装机后的液箱必须能承受1.5倍最大工作压力的内压而无损坏或渗漏;
(3) 如果装有通气装置,则在所有正常飞行条件下通气必须有效。
(4) [备用]
(5) 每一液箱必须具有不少于液箱容量2%的膨胀空间。在飞机的正常地面姿态下,不可能由于疏忽装满膨胀空间。
(c) 在下列情况下,推力或功率增大系统的排放口必须按第25.1455条设计和定位:
(1) 推力或功率增大系统的液体是易冻的;
(2) 液体在飞行或地面运行过程中是可能排放的。
(d) 供每台发动机使用的推力或功率增大系统液箱的可用容量,必须足以使飞机能按批准的喷液增大功率(推力)使用程序运行。耗液量的计算必须根据与预期的发动机输出功率(推力)相适应的最大批准流量,并且必须计及温度对发动机性能的影响以及任何其它可能改变所需液量的因素。
(e) 本条不适用于燃油喷注系统。
〔中国民用航空总局1995年12月18日第二次修订,交通运输部2016年3月17日第四次修订〕
燃油系统
第25.951条 总则
(a) 燃油系统的构造和布置,在每种很可能出现的运行情况下,包括申请审定的飞行中允许发动机或辅助动力装置工作的任何机动飞行,必须保证以发动机和辅助动力装置正常工作所需的流量和压力向其供油。
(b) 燃油系统的布置,必须使进入系统的空气不会造成下列情况:
(1) 活塞发动机出现20秒钟以上的功率中断;
(2) 涡轮发动机出现熄火。
(c) 用于涡轮发动机的燃油系统在使用下述状态的燃油时,必须能在其整个流量和压力范围内持续工作:燃油先在27℃(80℉)时用水饱和,并且每10升燃油含有所添加的2毫升游离水(每1美加仑含0.75毫升),然后冷却到在运行中很可能遇到的最临界结冰条件。
(d) 对于以涡轮发动机为动力的飞机,每一燃油系统必须满足中国民用航空局有关涡轮发动机飞机燃油排泄污染的要求。
〔中国民用航空总局1995年12月18日第二次修订〕
第25.952条 燃油系统分析和试验
(a) 必须用分析和适航当局认为必要的试验表明燃油系统在各种可能的运行条件下功能正常。如果需要进行试验,则试验时必须使用飞机燃油系统或能复现燃油系统被试部分工作特性的试验件。
(b) 对于以燃油作为工作液的任何热交换器,其很可能发生的失效不得造成危险情况。
第25.953条 燃油系统的独立性
燃油系统必须满足第25.903(b)条的要求,为此可采用下列任何一种方法:
(a) 系统向每台发动机的供油,能够不涉及该系统向其它发动机供油的任何部分;
(b) 任何其它可接受的方法。
第25.954条 燃油系统的闪电防护
燃油系统的设计和布局,必须防止由于下列原因而点燃系统内的燃油蒸气:
(a) 雷击附着概率高的区域直接被闪击;
(b) 扫掠雷击可能性高的区域被扫掠雷击;
(c) 燃油通气口处的电晕放电和流光。
第25.955条 燃油流量
(a) 在每种预定的运行条件和机动飞行中,燃油系统必须至少提供100%所需的燃油流量,必须按如下规定来表明符合性:
(1) 向发动机供油时,燃油压力必须在发动机型号合格证规定的限制范围以内;
(2) 油箱内的燃油量不得超过第25.959条制定的该油箱不可用油量与验证本条符合性所需的油量之和;
(3) 按每种运行条件和姿态验证本条符合性时所需的每一主燃油泵,必须投入使用。此外,还必须验证相应的应急泵代替投入使用的主燃油泵的工作情况;
(4) 如果装有燃油流量计,必须使其停止工作,燃油必须流经该流量计或其旁路。
(b) 如果一台发动机可以由一个以上的油箱供油,则应满足下列要求:
(1) 对于活塞发动机,向发动机供油的任一油箱内可用燃油耗尽而使该发动机功能明显不正常时,在转由其它还有可用燃油的油箱供油后20秒钟内,燃油系统必须向该发动机供应足够压力的燃油;
(2) 对于涡轮发动机,燃油系统除了应具备合适的手动转换供油能力外,还必须设计成,在正常运行过程中,当向发动机供油的任一油箱内可用燃油耗尽,但通常只向该发动机供油的其它油箱内还有可用燃油时,能防止该发动机供油中断,而无需飞行机组予以关注。
第25.957条 连通油箱之间的燃油流动
如果飞行中可将燃油从一个油箱泵送到另一个油箱,则油箱通气系统和燃油转输系统的设计,必须使油箱结构不致因输油过量而损坏。
第25.959条 不可用燃油量
每个燃油箱及其燃油系统附件的不可用燃油量必须制定为不小于下述油量:对于需由该油箱供油的所有预定运行和机动飞行,在最不利供油条件下,发动机工作开始出现不正常时该油箱内的油量。不必考虑燃油系统部件的失效。
第25.961条 燃油系统在热气候条件下的工作
(a) 飞机在热气候条件下运行时,燃油系统必须工作良好。为验证满足此要求,必须表明在预定的所有运行条件下,燃油系统从油箱出口起到每台发动机止的部分,都经增压而能防止形成油气。否则,必须用爬升来验证,即从申请人选定机场高度爬升到按第25.1527条制定为使用限制的最大高度。如果选用爬升试验,则按下列条件进行爬升试验时,不得有气塞或其它不正常规象:
(1) 对于活塞发动机飞机,发动机必须以最大连续功率工作,但在临界高度以下300米(1,000英尺)至临界高度范围内必须使用起飞功率。使用起飞功率的持续时间不得小于起飞时间限制值;
(2) 对于涡轮发动机飞机,发动机必须以起飞功率(推力)工作,持续时间按验证起飞飞行航迹时所选定的值,其余爬升时间,以最大连续功率(推力)工作;
(3) 飞机的重量必须是油箱满油、带有最小机组以及配重(保持重心在允许范围内所需)时的重量;
(4) 爬升空速符合下列规定:
(i) 对于活塞发动机飞机,不得超过从起飞到最大使用高度所规定的最大爬升空速,飞机形态规定如下:
(A) 起落架在收上位置;
(B) 襟翼处于最有利位置;
(C) 整流罩风门(或控制发动机冷却源的其它设施)处于在热天条件下提供足够冷却的位置;
(D) 发动机在最大连续功率限制内工作;
(E) 最大起飞重量;
(ii) 对于涡轮发动机飞机,不得超过从起飞到最大使用高度所规定的最大爬升空速。
(5) 燃油温度必须至少为43℃(110℉);
(b) 本条(a)规定的试验可以在飞行中进行,也可模拟各种飞行条件在地面进行。如果进行飞行试验时的气候冷到足以影响试验正确实施,则受冷空气影响的燃油箱表面、燃油管路以及燃油系统的其它零部件,必须绝热,以尽可能模拟热气候条件下的飞行。
〔交通运输部2016年3月17日第四次修订〕
第25.963条 燃油箱:总则
(a) 每个燃油箱必须承受运行中可能遇到的振动、惯性、油液及结构的载荷而不损坏。
(b) 软油箱必须经过批准,或必须表明适合于其特定用途。
(c) 整体油箱必须易于进行内部检查和修理。
(d) 机身内的燃油箱在受到第25.561条所述应急着陆情况的惯性力作用时,必须不易破裂并能保存燃油。此外,这些油箱的安装位置必须有防护,使油箱不大可能擦地。
(e) 油箱口盖必须满足下述准则,以防止燃油的流失量达到危险程度:
(1) 位于经验或分析表明很可能遭受撞击的区域内的所有口盖,必须通过分析或试验表明,其遭受轮胎碎块、低能量发动机碎片或其它可能的碎片打穿或造成变形的程度已降至最低。
(2) 所有口盖必须耐火。
(f) 对于增压燃油箱,必须有具备破损-安全特性措施,防止油箱内外压差过高。
〔中国民用航空总局1995年12月18日第二次修订〕
第25.965条 燃油箱试验
(a) 必须用试验表明,装机后的油箱能承受本条(a)(1)或(2)所规定的压力(取大者),而不损坏或漏油。此外,必须用分析或试验表明,受到本条(a)(3)或(4)所规定的压力(取大者)作用的油箱表面,能承受下述压力:
(1) 24.2千帕(0.25公斤/厘米2;3.5磅/英寸2)的内部压力;
(2) 在油箱内产生的最大冲压空气压力的125%;
(3) 油箱满油的飞机在最大限制加速度及相应变形时所产生的油液压力;
(4) 飞机滚转和燃油载荷最不利组合时所产生的油液压力。
(b) 每个具有大的无支承(或无加强)平面的金属油箱,如果其损坏或变形可能引起漏油,则必须能承受下列试验或等效试验,而无漏油或油箱壁过度变形:
(1) 必须用完整的油箱连同其支承件作振动试验,试验时的固定方式应模拟实际安装情况;
(2) 除了本条(b)(4)的规定外,油箱必须装有2/3油箱容量的水或其它合适试验液,以不小于0.8毫米(1/32英寸)的振幅(除非证实可采用其它振幅值)振动25小时;
(3) 振动试验频率必须按如下规定:
(i) 如果在发动机正常运转转速范围内,由转速引起的振动频率中没有临界频率,则振动试验频率必须为每分钟2,000周;
(ii) 如果在发动机正常运转转速范围内,由转速引起的振动频率中只有一个临界频率,则必须以此频率作为试验频率;
(iii) 如果在发动机正常运转转速范围内,由转速引起的振动频率中有多个临界频率,则必须以其中最严重的作为试验频率。
(4) 在本条(b)(3)(ii)和(iii)的情况下,必须调整试验时间,使达到的振动循环数与按本条(b)(3)(i)规定频率在25小时内所完成的振动循环数相同;
(5) 试验时,必须以每分钟16~20个整循环的速率绕最临界的轴摇晃油箱,摇晃角度为水平面上下各15°(共30°),历时25小时。如果分别绕不同轴的运动都是临界的,则油箱必须绕每根临界轴摇晃12.5小时。
(c) 除非表明安装条件极小可能的相似的同类油箱已有满意的使用经验,否则非金属油箱必须经受本条(b)(5)规定的试验,所用燃油温度为43℃(110℉)。试验时,必须将有代表性的油箱试件安装在模拟装机情况的支承结构上。
(d) 对于增压燃油箱,必须用分析或试验来表明,油箱能承受地面或飞行中很可能出现的最大压力。
第25.967条 燃油箱安装
(a) 每个燃油箱的支承必须使油箱载荷(由油箱内燃油重量引起)不集中作用在无支承的油箱表面,此外,还必须符合下列规定:
(1) 如有必要,必须在油箱与其支承件之间设置隔垫,以防擦伤油箱;
(2) 隔垫必须不吸收液体,或经处理后不吸收液体;
(3) 如果使用软油箱,则软油箱的支承必须使其不必承受油液载荷;
(4) 每个油箱舱内表面必须光滑,而且不具有会磨损软油箱的凸起物,除非满足下列要求之一:
(i) 在凸起物处,具有保护软油箱的措施;
(ii) 软油箱本身构造具有这种保护作用。
(b) 贴近油箱表面的空间必须通大气,以防止由于轻微泄漏而造成油气聚积。如果油箱装在密封的油箱舱内,可以仅用排漏孔通大气,但排漏孔的尺寸必须足以防止飞行高度变化而引起的过压。
(c) 每个油箱的位置必须满足第25.1185(a)条的要求。
(d) 直接位于发动机舱主要空气出口后面的发动机短舱蒙皮,不得作为整体油箱的箱壁。
(e) 燃油箱与载人舱的隔离,必须采用防油气及防燃油的隔罩。
第25.969条 燃油箱的膨胀空间
每个燃油箱都必须具有不小于2%油箱容积的膨胀空间,必须使飞机处于正常地面姿态时,不可能由于疏忽而使所加燃油占用膨胀空间。对于压力加油系统,表明满足本条要求时,可以利用符合第25.979(b)条的装置。
第25.971条 燃油箱沉淀槽
(a) 每个燃油箱均必须有沉淀槽,其有效容积在正常地面姿态时不小于油箱容积的0.10%或0.24升(1/16美加仑)(两者中取大值),除非所制定的使用限制保证在服役中积水不会超过沉淀槽的容积。
(b) 在飞机处于地面姿态时,每个燃油箱必须使任何危险量的水从该油箱任何部分均能排入其沉淀槽。
(c) 每个燃油箱沉淀槽均必须具有符合下列要求的可接近的放液嘴:
(1) 在地面上可以完全放出沉淀槽内的液体;
(2) 排放液能避开飞机各个部分;
(3) 具有手动或自动的机构,能确实地锁定在关闭位置。
第25.973条 油箱加油口接头
每个燃油箱加油口接头必须能防止燃油流入油箱外飞机的任何部分。此外:
(a) [备用]
(b) 每个能明显积存燃油的凹型加油口接头,必须有放液嘴,其排放液应能避开飞机各个部分;
(c) 每个加油口盖必须有耐燃油密封件;
(d) 每一加油点均必须有使飞机与地面加油设备电气搭铁的设施。
〔中国民用航空总局1995年12月18日第二次修订,交通运输部2016年3月17日第四次修订〕
第25.975条 燃油箱的通气和汽化器蒸气的排放
(a) 燃油箱的通气 每个燃油箱必须从膨胀空间的顶部通气,以便在任何正常飞行情况下都能有效地通气。此外,应满足下列要求:
(1) 每个通气口的位置必须能避免被污物或结冰堵塞;
(2) 每个通气口的位置必须能防止正常运行时产生燃油虹吸;
(3) 在下列情况下,通气量和通气压力必须使燃油箱内外压差保持在可接受的范围内:
(i) 正常飞行;
(ii) 最大升、降速率;
(iii) 压力加油和抽油(如果适用)。
(4) 对于出口互相连通的油箱,其膨胀空间必须相互连通;
(5) 飞机处于地面姿态或水平飞行姿态时,任何通气管路中都不得有会积水的部位,如果具有放液设施则除外;
(6) 通气或放液设施的终端不得位于下列各处:
(i) 从通气管出口排出的燃油会引起着火危险之处;
(ii) 油气可能进入载人舱之处。
(b) 汽化器蒸气的排放 每个具有蒸气消除器接头的汽化器,必须有排放管将蒸气引回到某一燃油箱内。此外,应满足下列要求:
(1) 每一排放系统必须具有防止被结冰堵塞的措施;
(2) 如果装有多个燃油箱,并且各燃油箱的使用必须按一定顺序,则必须将每根蒸气排放回输管引回到供起飞着陆用的燃油箱。
第25.977条 燃油箱出油口
(a) 燃油箱出油口或增压泵都必须装有符合下列规定的燃油滤网:
(1) 对于活塞发动机飞机,该滤网为8~16目/英寸;
(2) 对于涡轮发动机飞机,该滤网能阻止可能造成限流或损坏燃油系统任何部件的杂物通过。
(b) 〔备用〕
(c) 每个燃油箱出油口滤网的流通面积,必须至少是出油口管路截面积的5倍。
(d) 每个滤网的直径,必须至少等于燃油箱出油口直径。
(e) 每个指形滤网必须便于检查和清洗。
第25.979条 压力加油系统
对于压力加油系统,采用下列规定:
(a) 每一压力加油系统燃油歧管接头必须有措施,能够在燃油进口阀一旦失效时防止危险量的燃油从系统中溢出;
(b) 必须装有自动切断设施,用以防止每个油箱内的燃油量超过该油箱经批准的最大载油量。该设施必须满足下列要求:
(1) 在油箱每次加油前,能够检查切断功能是否正常;
(2) 在每个加油点处,当油箱达到经批准的最大装油量而切断装置未能切断油流时,应有指示。
(c) 必须具有在本条(b)规定的自动切断设施失效后,能防止损坏燃油系统的措施;
(d) 飞机压力加油系统(不包括燃油箱和燃油箱通气口)必须能承受的极限载荷,为加油时很可能出现的最大压力(包括波动压力)所引起载荷的2倍。必须按各油箱阀有意或无意关闭的任何组合来确定最大波动压力;
(e) 飞机抽油系统(不包括燃油箱和燃油箱通气口)必须能承受的极限载荷,为飞机加油接头处最大允许抽油压力(正或负)所引起载荷的2倍。
〔中国民用航空总局1995年12月18日第二次修订〕
第25.981条 燃油箱点燃防护
(a) 在可能由于燃油或其蒸气的点燃导致灾难性失效发生的燃油箱或燃油箱系统内的任一点不得有点火源存在。必须通过以下表明:
(1) 确定燃油箱或燃油箱系统的最高温度低于预期燃油箱内燃油的最低自燃温度,并留有安全裕度。
(2) 证实其内的燃油可能被点燃的每个油箱内,任何一处的温度不会超过本条(a)(1)确定的温度。如果某些部件的工作、失效或故障可能提高油箱内部的温度,则必须在每一部件所有可能的工作、失效和故障条件下验证本条。
(3) 证实点火源不会由每个单点失效、每个单点失效与每个没有表明为概率极小的潜在失效条件的组合或者所有没有表明为极不可能的失效组合引起。必须考虑制造偏差、老化、磨损、腐蚀以及可能的损伤的影响。
(b) 除本条(b)(2)和(c)规定的以外,一架飞机上每一燃油箱的机队平均可燃性暴露时间均不得超过本部附录N中定义的可燃性暴露评估时间(FEET)的3%,或所评估机型机翼燃油箱的可燃性暴露时间,取较大者。如果机翼不是传统的非加热铝制机翼,则必须在假定的、与传统的非加热铝制机翼油箱等效的基础上进行分析。
(1) 机队平均可燃性暴露时间应按照本部附录N来确定。必须按照中国民用航空局适航部门认可的方法和程序进行评估。
(2) 除主燃油箱以外,飞机上的任何燃油箱,只要有部分位于机身轮廓线以内,就必须满足本部附录M规定的可燃性暴露标准。
(3) 本段用到的术语:
(i) 等效的传统非加热铝制机翼燃油箱,是一个位于亚音速飞机非加热半硬壳式铝制机翼内的整体油箱,该机翼在气动性能、结构能力、油箱容量以及油箱构型上与所设计的机翼相当。
(ii) 机队平均可燃性暴露在本部附录N中定义,是指在一个机型机队运行的各个航段距离范围内,每个燃油箱的空余空间处于可燃状态的时间比例。
(iii) 主燃油箱指直接向一台或多台发动机供油,并且在每次飞行过程中持续保持所需燃油储备的燃油箱。
(c) 本条(b)不适用于采用减轻燃油蒸气点燃影响措施的燃油箱,该措施使得燃油蒸气点燃所造成的损伤不会妨碍飞机继续安全飞行和着陆。
(d) 必须建立必要的关键设计构型控制限制(CDCCL)、检查或其它程序,以防止:依照本条(a)的燃油箱系统内形成点火源;油箱可燃性暴露时间超过本条(b)的允许值;以及按照本条(a)或(c)采用的任何措施的性能和可靠性的降低。这些CDCCL、检查和程序必须纳入第25.1529条所要求的持续适航文件的适航限制部分。飞机上可预见的维修行为、修理或改装会危及关键设计构型控制限制的区域内,必须设置识别这些关键设计特征的可视化措施(如用导线的颜色编码识别隔离限制)。这些可视化措施也必须被认定为CDCCL。
〔交通运输部2016年3月17日第四次修订〕
燃油系统部件
第25.991条 燃油泵
(a) 主油泵 发动机正常运转所需的或满足本分部燃油系统要求所需的燃油泵即为主燃油泵(本条(b)要求的除外)。每个正排量式主燃油泵必须具有旁路设施,批准作为发动机组成部分的注射泵(不在汽化器内完成注油时,此泵为注油提供适当的流量和压力)除外。
(b) 应急泵 必须具有应急泵(或通过其它主油泵),在任一主油泵(批准作为发动机组成部分的燃油注射泵除外)失效后,能立即向相应发动机供油。
〔交通运输部2016年3月17日第四次修订〕
第25.993条 燃油系统导管和接头
(a) 每根燃油导管的安装和支承,必须能防止过度的振动,并能承受燃油压力及加速度飞行所引起的载荷。
(b) 连接在可能有相对运动的飞机部件之间的每根燃油导管,必须用柔性连接。
(c) 燃油管路中可能承受压力和轴向载荷的每一柔性连接,必须使用软管组件。
(d) 软管必须经过批准,或必须表明适合于其特定用途。
(e) 暴露在高温下可能受到不利影响的软管,不得用于在运行中或发动机停车后温度过高的部位。
(f) 机身内每根燃油导管的设计和安装,必须允许有合理程度的变形和拉伸而不漏油。
〔交通运输部2016年3月17日第四次修订〕
第25.994条 燃油系统部件的防护
必须对发动机短舱内或机身内的燃油系统部件进行保护,以防止在有铺面的跑道上机轮收起着陆时,发生燃油喷溅足以造成起火的损坏。
第25.995条 燃油阀
除了满足第25.1189条对切断措施的要求外,每个燃油阀还必须符合下列规定:
(a) 〔备用〕
(b) 阀门的支承应使阀门工作或加速度飞行所造成的载荷不会传给与阀门相连的导管。
第25.997条 燃油滤网或燃油滤
燃油箱出油口与燃油计量装置入口,或与发动机传动的正排量泵入口(两种入口中取距油箱出口较近者)之间,必须设置满足下列要求的燃油滤网或燃油滤:
(a) 便于放液和清洗,且必须有易于拆卸的网件或滤芯;
(b) 具有沉淀槽和放液嘴。如果滤网或油滤易于拆卸进行放液,则不需设置放液嘴;
(c) 安装成不由相连导管或滤网(或油滤)本身的入口(或出口)接头来承受其重量,除非导管或接头在所有载荷情况下均具有足够的强度余量;
(d) 具有足够的滤通能力(根据发动机的使用限制),以便在燃油脏污程度(与污粒大小和密度有关)超过有关适航标准对发动机所规定的值时,保证发动机燃油系统的功能不受损害。
第25.999条 燃油系统放液嘴
(a) 必须利用燃油滤网和油箱沉淀槽放液嘴完成燃油系统的放液。
(b) 本条(a)要求的每个放液嘴必须满足下列要求:
(1) 使排放液避开飞机各个部分;
(2) 有手动或自动的机构,能确实地锁定在关闭位置;
(3) 具有满足下列要求的放液阀;
(i) 易于接近并易于打开和关闭;
(ii) 阀门位置或其防护措施,能在起落架收起着陆时防止燃油喷溅。
第25.1001条 应急放油系统
(a) 飞机必须设置应急放油系统,除非证明该飞机在下述条件下能满足第25.119条和第25.121(d)条的爬升要求:飞机重量为最大起飞重量减去15分钟飞行(包括在出航机场起飞、复飞和着陆)所需燃油的实际重量或计算重量,而飞机形态、速度和功率(推力)满足本部有关的起飞、进场和着陆爬升性能要求。
(b) 如果要求设置应急放油系统,则该系统必须能从本条(a)给定的重量开始,在15分钟内放出足够量的燃油,使飞机能满足第25.119条和第25.121(d)条的爬升要求,假定应急放油在本条(c)所述飞行试验的最不利条件(重量条件除外)下进行。
(c) 必须从最大起飞重量开始,在襟翼和起落架收起形态以及下列飞行条件下演示应急放油:
(1) 以1.3VSR1速度无动力下滑;
(2) 临界发动机停车,其余发动机为最大连续功率(推力),以单发停车最佳爬升率的速度爬升;
(3) 以1.3VSR1速度平飞,如果本条(c)(1)和(2)规定条件下的试验结果表明该情况可能是临界的。
(d) 在本条(c)所述飞行试验中,必须表明下列各点:
(1) 应急放油系统及其使用无着火危险;
(2) 放出的燃油应避开飞机的各个部分;
(3) 燃油和油气不会进入飞机的任何部位;
(4) 应急放油对飞行操纵性没有不利影响。
(e) 对于活塞发动机飞机,必须具有措施,防止将起飞着陆所用的油箱中的燃油放油至低于以75%最大连续功率飞行45分钟所需油量。如果装有与应急放油主控制器相独立的辅助控制器,则可将应急放油系统设计成利用应急放油辅助控制器放出余下的燃油。
(f) 对于涡轮发动机飞机,必须具有措施,防止将起飞着陆所用油箱内的燃油应急放到小于从海平面爬升到3,000米(10,000英尺),然后再以最大航程速度巡航45分钟的需用油量。但是,如果装有与应急放油主控制器相独立的辅助控制器,则可将应急放油系统设计成利用应急放油辅助控制器放出余下的燃油。
(g) 应急放油阀的设计,必须允许飞行人员在应急放油过程中的任何时刻都能关闭放油阀。
(h) 除非表明改变机翼或其周围气流的任何手段(包括襟翼、缝翼和前缘襟翼)的使用,对应急放油无不利影响,否则必须在应急放油控制器近旁设置标牌,警告飞行机组成员:在使用改变气流手段的同时,不得应急放油。
(i) 应急放油系统的设计,必须使系统中任何有合理可能的单个故障,不会由于不对称放油或不能放油而造成危险。
〔交通运输部2016年3月17日第四次修订〕
滑油系统
第25.1011条 总则
(a) 每台发动机必须有独立的滑油系统,在不超过安全连续运转温度值的情况下,能向发动机供给适量的滑油。
(b) 可用滑油量不得小于飞机在临界运行条件下的续航时间与同样条件下批准的发动机最大允许滑油消耗量的乘积,加上保证系统循环的适当余量。对于活塞发动机飞机,可用下列燃油/滑油容积比来代替按飞机航程计算滑油需用量的理论分析:
(1) 对于没有备用滑油或滑油转输系统的飞机,燃油/滑油容积比为30∶1;
(2) 对于具有备用滑油或滑油转输系统的飞机,燃油/滑油容积比为40∶1。
(c) 如果经过发动机实际滑油消耗数据的证实,可以采用大于本条(b)(1)和(2)规定的燃油/滑油容积比。
第25.1013条 滑油箱
(a) 安装 滑油箱的安装必须满足第25.967条的要求。
(b) 膨胀空间 必须按下列要求保证滑油箱的膨胀空间:
(1) 用于活塞发动机的每个滑油箱,必须具有不小于10%油箱容积或1.9升(0.5美加仑)的膨胀空间(取大值);用于涡轮发动机的每个滑油箱,必须具有不小于10%油箱容积的膨胀空间;
(2) 不与发动机直接相连的每个备用滑油箱,可以具有不小于2%滑油箱容积的膨胀空间;
(3) 必须使飞机处于正常地面姿态时,不可能由于疏忽而使所加滑油占用膨胀空间。
(c) 加油接头 每个能明显积存滑油的凹型滑油箱加油接头,必须有放油嘴,其排放液应能避开飞机各个部分。此外,每个滑油箱加油口盖必须有耐滑油密封件。
(d) 通气 滑油箱必须按下列要求通气:
(1) 滑油箱必须从膨胀空间的顶部通气,以便在任何正常飞行条件下都能有效地通气;
(2) 滑油箱通气口的布置,必须使可能冻结和堵塞管路的冷凝水蒸气不会聚积在任何一处。
(e) 出油口 必须具有防止任何外来物进入滑油箱本身或进入滑油箱出油口的措施,以免妨碍滑油在系统中流动,滑油箱出油口不得用在任一工作温度下会使滑油流量减到低于安全值的滤网或护罩加以包覆。用于涡轮发动机的滑油箱出油口处,必须装有切断阀,如果滑油系统的外露部分(包括滑油箱支架)是防火的则除外。
(f) 软滑油箱 软滑油箱必须经过批准,或必须表明适合其特定用途。
〔中国民用航空总局1995年12月18日第二次修订,交通运输部2016年3月17日第四次修订〕
第25.1015条 滑油箱试验
滑油箱必须按下列要求设计和安装:
(a) 能承受运行中可能遇到的各种振动、惯性和液体载荷而不损坏;
(b) 除试验压力和试验液按下列规定外,应满足第25.965条的要求:
(1) 试验压力
(i) 对于涡轮发动机的增压油箱,用不小于34.5千帕(0.35公斤/厘米2;5磅/英寸2)的压力加上油箱的最大工作压力来代替第25.965(a)条中规定的试验压力;
(ii) 对于所有其它的油箱,用不小于34.5千帕(0.35公斤/厘米2;5磅/平方英寸2)的压力来代替第25.965(a)条中规定的试验压力。
(2) 试验液必须用温度为120℃(250℉)的滑油来代替第25.965(c)条中规定的液体。
第25.1017条 滑油导管和接头
(a) 滑油导管必须满足第25.993条的要求,而在指定火区内的滑油导管和接头还必须满足第25.1183条的要求。
(b) 通气管必须按下列要求布置:
(1) 可能冻结和堵塞管路的冷凝水蒸气不会聚积在任何一处;
(2) 在出现滑油泡沫或由此引起排出的滑油喷溅到驾驶舱风挡上时,通气管的排放物不会构成着火危险;
(3) 通气管不会使排放物进入发动机进气系统。
第25.1019条 滑油滤网或滑油滤
(a) 每台涡轮发动机安装,必须包括能过滤发动机全部滑油并满足下列要求的滑油滤网或滑油滤:
(1) 具有旁路的滑油滤网或滑油滤,其构造和安装必须使得在该滤网或油滤完全堵塞的情况下,滑油仍能以正常的速率流经系统的其余部分;
(2) 滑油滤网或滑油滤必须具有足够的滤通能力(根据发动机的使用限制),以便在滑油脏污程度(与污粒大小和密度有关)超过发动机适航标准对发动机所规定的值时,保证发动机滑油系统功能不受损害;
(3) 滑油滤网或滑油滤(除非将其安装在滑油箱出口处)必须具有指示器,在脏污程度影响本条(a)(2)规定的滤通能力之前作出指示;
(4) 滑油滤网或滑油滤旁路的构造和安装,必须通过其适当设置使聚积的污物逸出最少,以确保聚积的污物不致进入旁通油路;
(5) 不具备旁路的滑油滤网或滑油滤(装在滑油箱出口处除外),必须具有将滑油滤网或滑油滤与第25.1305(c)(7)条中要求的警告系统相连的措施。
(b) 使用活塞发动机的动力装置安装中,滑油滤网或滑油滤的构造和安装,必须使得在该滤网或油滤滤芯完全堵塞的情况下,滑油仍能以正常的速率流经系统的其余部分。
第25.1021条 滑油系统放油嘴
必须具有能使滑油系统安全排放的一个(或几个)放油嘴。每个放油嘴必须满足下列要求:
(a) 是可达的;
(b) 有手动或自动的机构,能将其确实地锁定在关闭位置。
第25.1023条 滑油散热器
(a) 滑油散热器必须能承受在运行中可能遇到的振动、惯性以及滑油压力载荷而不损坏。
(b) 滑油散热器空气管的设置,必须使得在着火时,从发动机短舱正常开口冒出的火焰不会直接冲到散热器上。
第25.1025条 滑油阀
(a) 滑油阀在切断滑油时必须满足第25.1189条的要求。
(b) 滑油切断装置的关闭不得妨碍螺旋桨顺桨。
(c) 每个滑油阀在“打开”和“关闭”位置处,均必须有确实的止动或合适的指示标志。滑油阀的支承,必须使其工作时或在加速度飞行情况下所产生的载荷不会传给与阀门相连的导管。
第25.1027条 螺旋桨顺桨系统
(a) 如果螺旋桨顺桨系统使用发动机的滑油进行工作,则滑油箱必须有保留一定量滑油的措施,以防由于滑油系统任一部分(油箱本身除外)的损坏而使滑油流尽。
(b) 保留的滑油量必须足以完成顺桨工作,并且仅供顺桨泵使用。
(c) 必须表明顺桨系统使用保留的滑油完成顺桨的能力。可以在地面上利用供发动机工作时润滑用的辅助滑油源来进行试验。
(d) 必须采取措施防止油泥或其它外来物影响螺旋桨顺桨系统安全工作。
冷却
第25.1041条 总则
在地面、水面和空中运行条件下以及在发动机或辅助动力装置或两者正常停车后,动力装置和辅助动力装置的冷却设施,必须能使动力装置部件、发动机所用的液体以及辅助动力装置部件和所用的液体温度,均保持在对这些部件和液体所制定的温度限制以内。
第25.1043条 冷却试验
(a) 总则 必须在地面、水面和空中的临界运行条件下进行试验,以表明满足第25.1041条的要求,对于这些试验,采用下列规定:
(1) 如果在偏离最高外界大气温度的条件下进行试验,则必须按本条(c)和(d)修正所记录的动力装置温度;
(2) 根据本条(a)(1)所确定的修正温度,不超过制定的限制;
(3) 对于活塞发动机,冷却试验所用的燃油必须是经批准用于该发动机的最低燃油品级,而燃油混合比必须是进行冷却试验的飞行阶段通常使用的调定值。试验程序必须按第25.1045条的规定。
(b) 最高外界大气温度 相应于海平面条件的最高外界大气温度必须至少规定为37.8℃(100°F),在海平面以上,假设温度递减率为:高度每增加1,000米,温度下降6.5℃(1,000英尺,温度下降3.6°F),一直降到-56.5℃(-69.7°F)为止,在此高度以上认为温度是恒定的-56.5℃(-69.7°F)。然而对于冬季使用的装置,申请人可以选用低于37.8℃(100°F)的相应于海平面条件的最高外界大气温度。
(c) 修正系数(气缸筒不适用) 对于规定了温度限制的发动机所用的液体和动力装置部件(气缸筒除外)温度必须进行修正,修正方法为:此温度加上最高外界大气温度与外界空气温度(冷却试验中所记录的部件或液体最高温度首次出现时的外界空气温度)的差值,如果采用更合理的修正方法则除外。
(d) 气缸筒温度的修正系数 气缸筒温度必须进行修正,修正方法为:此温度加上最高外界大气温度与外界空气温度(冷却试验中记录的气缸筒最高温度首次出现时的外界空气温度)差值的70%,如果采用更合理的修正方法则除外。
〔交通运输部2016年3月17日第四次修订〕
第25.1045条 冷却试验程序
(a) 必须按相应于有关性能要求的起飞、爬升、航路和着陆飞行阶段来表明符合第25.1041条的规定。进行冷却试验时,飞机的形态和运行条件均必须取每一飞行阶段中对于冷却是临界的情况。对于冷却试验,当温度变化率小于每分钟1.1℃(2°F)时,则认为温度已达到“稳定”。
(b) 在拟试验的每一飞行阶段前的进入状态下,温度必须达到稳定,除非动力装置部件和发动机所用的液体温度在进入状态下通常不能达到稳定(对此情况,在拟试验的飞行阶段前,必须通过整个进入状态下的运转,使得在进入时温度达到其自然水平)。在起飞的冷却试验之前,发动机必须在地面慢车状态下运转一段时间,使动力装置部件和发动机所用的液体温度达到稳定。
(c) 每一飞行阶段的冷却试验必须连续进行,直到下列任一种状态为止:
(1) 部件和发动机所用的液体温度达到稳定;
(2) 飞行阶段结束;
(3) 达到使用限制值。
(d) 对于活塞发动机飞机的冷却试验,可以假设,当飞机达到高于起飞表面460米(1,500英尺)的高度,或达到起飞段的某一点,在该点完成由起飞形态转入航路形态而且速度达到表明符合第25.121(c)条规定的速度值(两种高度中取高者),起飞段即结束,飞机必须处于下列状态:
(1) 起落架在收上位置;
(2) 襟翼处于最有利位置;。
(3) 整流罩风门片(或控制发动机冷却源的其它设施)处于热天条件下能提供足够冷却的位置;
(4) 临界发动机停车,其螺旋桨停转;
(5) 其余发动机处于该高度的可用最大连续功率状态。
(e) 对于船体式水上飞机和水陆两用飞机,必须以比断阶速度高5节的速度顺风滑行10分钟来表明冷却情况。
〔交通运输部2016年3月17日第四次修订〕
进气系统
第25.1091条 进气
(a) 发动机和辅助动力装置的进气系统,应满足下列要求:
(1) 在申请合格审定的每种运行条件下,必须能够供给该发动机和辅助动力装置所需的空气量;
(2) 当进气系统阀处于任一位置时,必须能够供给正常燃油调节和混合比分配所需的空气量。
(b) 每台活塞发动机必须有一个能防止雨水、冰块或任何其它外来物进入的备用进气源。
(c) 除非具备下列条件下之一,进气口不得开设在发动机整流罩内:
(1) 用防火隔板将整流罩内设置进气口的部分与发动机附件部分隔开;
(2) 对于活塞发动机,具有防止回火火焰的措施。
(d) 涡轮发动机飞机和装有辅助动力装置的飞机,应满足下列要求:
(1) 必须有措施防止由可燃液体系统的放液嘴、通气口或其它部件漏出或溢出的危险量燃油进入发动机或辅助动力装置进气系统;
(2) 飞机必须设计成能防止跑道、滑行道或机场其它工作场地上危险量的水或雪水直接进入发动机或辅助动力装置的进气道,并且进气道的位置或防护必须使其在起飞、着陆和滑行过程中吸入外来物的程度减至最小。
(e) 如果发动机进气系统中的零件和部件有可能被进入进气口的外来物所损坏,则必须通过试验或分析(如果适用)来表明该进气系统的设计能够经受发动机适航标准第33.76条、第33.77条和第33.78(a)(1)条外来物吸入试验,而零件或部件的损坏不会造成危害。
〔中国民用航空总局2001年5月14日第三次修订〕
第25.1093条 进气系统的防冰
(a) 活塞发动机 活塞发动机的进气系统必须有防冰和除冰措施。除非用其它方法来满足上述要求,否则必须表明,在温度为-1.1℃(30°F)的无可见水汽的空气中,每架装有高空发动机的飞机,均符合下列规定:
(1) 采用普通文氏管式汽化器时,装有预热器,能在发动机以60%最大连续功率运转情况下提供67℃(120°F)的温升;
(2) 采用可减少结冰概率的汽化器时,装有预热器,能在发动机以60%最大连续功率运转情况下提供56℃(100°F)的温升。
(b) 涡轮发动机
(1) 每台涡轮发动机必须能在下列条件下在其整个飞行功率(推力)范围(包括慢车)工作,而发动机、进气系统部件或飞机机体部件上没有不利于发动机运转或引起功率或推力严重损失的冰积聚:
(i) 附录C规定的结冰条件;
(ii) 为飞机作该类营运所制定的使用限制内的降雪和扬雪情况。
(2) 每台涡轮发动机必须在温度-9~-1℃(15~30°F)、液态水含量不小于0.3克/米3、水呈水滴状态(其平均有效直径不小于20微米)的大气条件下,进行地面慢车运转30分钟,此时可供发动机防冰用的引气处于其临界状态,而无不利影响,随后发动机以起飞功率(推力)作短暂运转。在上述30分钟慢车运转期间,发动机可以按适航当局可接受的方式间歇地加大转速到中等功率(推力)。
(c) 增压式活塞发动机 每台装有增压器(对进入汽化器之前的空气进行增压)的活塞发动机,在判断符合本条(a)的规定时,在任何高度上均可利用由此增压所产生的空气温升,只要所利用的温升是在有关的高度和运转条件下因增压而自动获得的。
〔中国民用航空总局1995年12月18日第二次修订〕
第25.1101条 汽化器空气预热器的设计
汽化器空气预热器的设计和构造必须满足下列要求:
(a) 当发动机用不预热的空气运转时,保证预热器的通风;
(b) 能够检查预热器所包围的排气歧管部分;
(c) 能够检查预热器本身的临界部位。
第25.1103条 进气系统管道和空气导管系统
(a) 处于发动机第一级增压器和辅助动力装置压气机上游的进气系统管道,必须有放液嘴,以防在地面姿态时燃油和水汽积聚到危险程度。放液嘴不得在可能引起着火危险的部位放液。
(b) 进气系统管道应满足下列要求:
(1) 必须具有足够的强度,能防止进气系统由于正常回火情况而损坏;
(2) 进气管道如果位于需要装置灭火系统的任何火区内,必须是耐火的,但辅助动力装置的进气管道在辅助动力装置火区内必须是防火的。
(c) 连接在可能有相对运动的部件之间的每根进气管道,必须采用柔性连接。
(d) 对于涡轮发动机和辅助动力装置的引气导管系统,如果在空气导管的引气口与飞机的用气装置之间的任一部位上出现导管破损,不得造成危害。
(e) 辅助动力装置的进气系统管道,在辅助动力装置舱上游足够长的一段距离上,必须是防火的,以防止热燃气回流烧穿辅助动力装置管道并进入飞机的任何其它隔舱或区域(热燃气进入这些地方会造成危害)。用于制造进气系统管道其它部分和辅助动力装置进气增压室的材料,必须能经受住很可能出现的最热状态。
(f) 辅助动力装置的进气系统管道,必须用不会吸收或积存危险量可燃液体(在喘振或回流情况下可能被点燃)的材料来制造。
第25.1105条 进气系统的空气滤
如果进气系统采用空气滤,则应符合下列规定:
(a) 每个空气滤必须位于汽化器上游;
(b) 空气滤如果不能用热空气除冰,则不得安装在作为发动机空气口的唯一通道的进气系统上任何部位;
(c) 空气滤不得单用酒精除冰;
(d) 必须使燃油不可能冲击到任何空气滤上。
第25.1107条 中间冷却器和后冷却器
中间冷却器和后冷却器,必须能承受运行中会遇到的任何振动、惯性和空气压力载荷。
排气系统
第25.1121条 总则
对于动力装置和辅助动力装置安装,采用下列规定:
(a) 排气系统必须确保安全地排出废气,没有着火危险,在任何载人舱内也没有一氧化碳污染。为了进行测试,可使用任何可接受的一氧化碳检测方法,来表明不存在一氧化碳;
(b) 表面温度足以点燃可燃液体或蒸气的每个排气系统零件,其安置或屏蔽必须使得任何输送可燃液体或蒸气系统的泄漏,不会由于液体或蒸气接触到排气系统(包括排气系统的屏蔽件)的任何零件引起着火;
(c) 凡可能受到热废气冲击或受到排气系统零件高温影响的每个部件,均必须是防火的。必须用防火的屏蔽件将所有排气系统部件与邻近的飞机部分(位于发动机和辅助动力装置舱之外的)相隔开;
(d) 废气排放时不得使任何可燃液体通气口或放油嘴有着火危险;
(e) 废气不得排到所引起的闪光会在夜间严重影响驾驶员视觉的地方;
(f) 所有排气系统部件均必须通风,以防某些部位温度过高;
(g) 各排气管罩必须通风或绝热,以免在正常运行中温度高到足以点燃排气管罩外的任何可燃液体或蒸气。
〔交通运输部2016年3月17日第四次修订〕
第25.1123条 排气管
对于动力装置和辅助动力装置安装,采用下列规定:
(a) 排气管必须是耐热和耐腐蚀的,并且必须有措施防止由于工作温度引起的膨胀而损坏;
(b) 排气管的支承,必须能承受运行中会遇到的任何振动和惯性载荷;
(c) 连接在可能有相对运动的部件之间的排气管,必须采用柔性连接。
第25.1125条 排气热交换器
对于活塞发动机飞机,采用下列规定:
(a) 排气热交换器的构造和安装,必须能承受运行中会遇到的各种振动、惯性和其它载荷。此外,还应满足下列要求:
(1) 排气热交换器必须适合于高温下连续工作,并能耐排气腐蚀;
(2) 必须具有检查排气热交换器临界部位的措施;
(3) 排气热交换器接触废气的部位必须具有冷却措施;
(4) 排气热交换器或套管,不得有任何会增加点燃可燃液体或蒸气(输送可燃液体的部件失效或故障时可能出现这种液体和蒸气)概率的死区或积存油液的部位。
(b) 如果使用排气热交换器来加热通风空气,则应符合下列规定之一:
(1) 在主排气热交换器和通风空气系统之间必须有一个次级热交换器;
(2) 必须采用其它方法防止通风空气受到有害污染。
第25.1127条 排气驱动的涡轮增压器
(a) 排气驱动的涡轮增压器必须经过批准,或必须表明适合于其特定用途,其安装和支承必须确保在正常检查和翻修的间隔期内安全工作,此外,在排气导管和涡轮之间必须计及膨胀并采用柔性连接。
(b) 必须有措施来润滑涡轮和冷却具有临界温度的涡轮部位。
(c) 如果涡轮增压器正常操纵系统发生故障,则涡轮转速不得超过其最大允许值,为满足此要求而设置的部件(废气门的操纵部件除外),必须独立于涡轮增压器的正常操纵系统。
动力装置的操纵器件和附件
第25.1141条 动力装置的操纵器件:总则
动力装置操纵器件的位置、排列和设计,必须符合第25.777至25.781条的规定,并按第25.1555条的要求作标记。此外,还必须满足下列要求:
(a) 操纵器件的位置必须保证不会由于人员进出驾驶舱或在驾驶舱内正常活动而使其误动;
(b) 柔性操纵器件必须经过批准,或必须表明适合于特定用途;
(c) 操纵器件必须具有足够的强度和刚度,能承受工作载荷而不失效和没有过度的变形;
(d) 操纵器件必须能保持在任何给定的位置而不需飞行机组成员经常注意,并且不会由于操纵载荷或振动而滑移;
(e) 位于指定火区内要求在着火情况下能够工作的每个动力装置操纵器件,必须至少是耐火的。
(f) 位于驾驶舱内的动力装置阀门操纵器件必须具有下列措施:
(1) 飞行机组可以选择阀门的每个预定位置或者功能;和
(2) 向飞行机组指示下列情况:
(i) 阀门的所选位置或功能;和
(ii) 阀门没有处于预定选择的位置或功能。
〔中国民用航空总局1995年12月18日第二次修订,交通运输部2016年3月17日第四次修订〕
第25.1142条 辅助动力装置的操纵器件
驾驶舱内必须有起动、停车和应急关断每台机载辅助动力装置的设施。
第25.1143条 发动机的操纵器件
(a) 每台发动机必须有单独的功率(推力)操纵器件。
(b) 功率(推力)操纵器件的排列必须满足下列要求:
(1) 能单独操纵每台发动机;
(2) 能同时操纵所有的发动机。
(c) 每个功率(推力)操纵器件必须能对其操纵的发动机进行确实和及时反应的操纵。
(d) 如果液体(燃油除外)喷射系统及其控制机构不作为发动机的一部分来提供和批准,则申请人必须表明喷射液体的流量是受到适当控制的。
(e) 如果功率(推力)操纵器件具有切断燃油的特性,则该操纵器件必须有措施防止其误动到断油位置。该措施必须满足下列要求:
(1) 在慢车位置有确实的锁或止动器;
(2) 要用另外的明显动作才能将操纵器件移到断油位置。
第25.1145条 点火开关
(a) 必须用点火开关来控制每台发动机上的每个点火电路。
(b) 必须有快速切断所有点火电路的措施,其方法可将点火开关构成组列或者使用一个总点火控制器。
(c) 每组点火开关和每个总点火控制器都必须有防止被误动的措施,但不要求连续点火的涡轮发动机的点火开关除外。
第25.1147条 混合比操纵器件
(a) 如果有混合比操纵器件,每台发动机必须有一单独的混合比操纵器件。这些操纵器件必须成组排列并满足下列要求:
(1) 能单独操纵每台发动机;
(2) 能同时操纵所有的发动机。
(b) 混合比操纵器件对应于正常工作调定值的每一中间位置,必须能靠手感和视觉分辨。
(c) 混合比操纵器件必须是左右驾驶员都可接近的。但是,如果有单独的带操纵台的飞行工程师工作位置,则混合比操纵器件只需是飞行工程师可接近的。
第25.1149条 螺旋桨转速和桨距的操纵器件
(a) 每一螺旋桨必须有单独的螺旋桨转速和桨距的操纵器件。
(b) 操纵器件必须成组排列并满足下列要求:
(1) 能单独操纵每一螺旋桨;
(2) 能同时操纵所有的螺旋桨。
(c) 操纵器件必须能使所有螺旋桨同步。
(d) 螺旋桨转速和桨距的操纵器件必须设在驾驶员油门操纵器件的右面,至少比其低25毫米(1英寸)。
第25.1153条 螺旋桨顺桨操纵器件
(a) 每一螺旋桨必须有单独的顺桨操纵器件,该器件必须有防止被误动的措施。
(b) 如果是用移动螺旋桨桨距或转速操纵手柄来实现顺桨,则必须有措施能防止在正常运行时将该手柄误动到顺桨位置。
第25.1155条 反推力和低于飞行状态的桨距调定
用于反推力和低于飞行状态的桨距调定的每一操纵器件,均必须有防止被误动的措施。该措施在飞行慢车位置必须有确实的锁或止动器,而且必须要求机组采取另外明显动作,才能将操纵器件从飞行状态(对于涡轮喷气发动机飞机为正推力状态)的位置移开。
第25.1157条 汽化器空气温度控制装置
每台发动机必须有单独的汽化器空气温度控制装置。
第25.1159条 增压器操纵器件
每个增压器操纵器件必须是左右驾驶员都可达的。或者,如果有单独的带操纵台的飞行工程师工作位置,则增压器操纵器件必须是飞行工程师可达的。
第25.1161条 应急放油系统的操纵器件
每个应急放油系统的操纵器件必须有防止其被误动的保护罩,应急放油操纵器件不得靠近灭火瓶的控制器件或用于灭火的其它控制器件。
第25.1163条 动力装置附件
(a) 装在发动机上的每一附件均应符合下列规定:
(1) 必须经过批准允许其安装在有关的发动机上;
(2) 必须利用发动机上的设施进行安装;
(3) 必须是密封的,以防止污染发动机滑油系统和附件系统。
(b) 易产生电弧或火花的电气设备,其安装必须使接触可能呈自由状态的可燃液体或蒸气的概率减至最小。
(c) 由发动机驱动的座舱增压器,或任何由发动机驱动而装于远处的附件,如果在发生故障后继续转动会造成危害,则必须有措施防止其继续转动,而不影响发动机继续运转。
第25.1165条 发动机点火系统
(a) 每个蓄电池点火系统必须可从发电机得到备用电能,当任一蓄电池电能耗尽时,此发电机可自动作为备用电源供电,使发动机能继续运转。
(b) 蓄电池和发电机的容量,必须足以同时满足发动机点火系统用电量和使用同一电源的电气系统部件的最大用电量。
(c) 发动机点火系统的设计必须计及下列情况:
(1) 一台发电机不工作;
(2) 一个蓄电池电能耗尽,而发电机以其正常转速运转;
(3) 如果只装有一个蓄电池,该蓄电池电能耗尽,而发电机在慢车转速下运转。
(d) 位于防火墙靠发动机一侧的磁电机接地线(用于单独的点火电路)的安装、位置或防护,必须使由于机械损伤、电气故障或其它原因引起两根或两根以上接地线同时失效的概率减至最小。
(e) 任何发动机的接地线不得通过另一发动机的火区,除非该接地线通过此火区的每一部分都是防火的。
(f) 除用于辅助、控制或检查点火系统工作的电路外,每一点火系统必须独立于任何其它电路。
(g) 如果电气系统任一部分发生故障引起发动机点火所需的蓄电池连续放电,则必须有警告有关飞行机组成员的措施。
(h) 涡轮发动机飞机的每个发动机点火系统必须作为重要电气负载。
〔中国民用航空总局1995年12月18日第二次修订〕
第25.1167条 附件传动箱
对于装有未作为发动机一部分审定的附件传动箱的飞机,采用下列规定:
(a) 发动机连同传动箱及与其相连的传动件和轴,必须按发动机适航标准中有关的规定进行耐久性试验;
(b) 附件传动箱必须满足发动机适航标准中有关附件连接和发动机部件试验的要求;
(c) 对正常运转条件下预期产生的传动箱、传动件和轴系的各种可能的形位偏差和扭转载荷必须加以评估。
动力装置的防火
第25.1181条 指定火区的范围
(a) 指定火区指下列各部分:
(1) 发动机动力部分;
(2) 发动机附件部分;
(3) 发动机动力部分和附件部分之间没有隔开的整个动力装置舱(不计活塞发动机本体);
(4) 辅助动力装置舱;
(5) 第25.859条所述的燃油燃烧加温器和其它燃烧设备及其安装部分;
(6) 涡轮发动机的压气机和附件部分;
(7) 包含输送可燃液体或气体管路或组件的涡轮发动机安装的燃烧室、涡轮和尾喷管部分。
(b) 每一指定火区必须满足第25.863、25.865、25.867、25.869条,以及第25.1185至25.1203条的要求。
〔中国民用航空总局1995年12月18日第二次修订,交通运输部2016年3月17日第四次修订〕
第25.1182条 防火墙后面的短舱区域和包含可燃液体导管的发动机吊舱连接结构
(a) 每个直接位于防火墙后面的短舱区域和包含可燃液体导管的发动机吊舱连接结构的每一部分,必须满足第25.1103(b)条、第25.1165(d)和(e)条、第25.1183条、第25.1185(c)条、第25.1187条、第25.1189条以及第25.1195至25.1203条中的每项要求,包括指定火区的有关要求。但是,发动机吊舱的连接结构不必具有火警探测或灭火措施。
(b) 对于本条(a)所述的每个区域,如果在该区域内装有可收放起落架,则只需要在起落架收上时表明满足本条(a)的要求。
第25.1183条 输送可燃液体的组件
(a) 除本条(b)规定者外,在易受发动机着火影响的区域内输送可燃液体的每一导管、接头和其它组件,以及在指定火区内输送或容纳可燃液体的每一组件,均必须是耐火的,但是指定火区内的可燃液体箱和支架必须是防火的或用防火罩防护,如果任何非防火零件被火烧坏后不会引起可燃液体渗漏或溅出则除外。上述组件必须加防护罩或安置得能防止点燃漏出的可燃液体。活塞发动机上容量小于23.7升(25夸脱)的整体滑油池不必是防火的,也不必用防火罩防护。
(b) 本条(a)不适用于下列情况:
(1) 已批准作为型号审定合格的发动机一部分的导管、接头和组件;
(2) 破损后不会引起或增加着火危险的通风管和排放管及其接头。
(c) 在指定火区内,如果暴露在火中或者被火损坏时会出现下列可能,则包括输送管在内的所有组件都必须是防火的:
(1) 导致火焰蔓延到飞机的其它区域;或
(2) 引起对重要设施或设备的无意工作,或者失去工作的能力。
〔交通运输部2016年3月17日第四次修订〕
第25.1185条 可燃液体
(a) 除第25.1183(a)条所规定的整体滑油池外,作为装有可燃液体或气体的系统一部分的油箱或容器,不得安置在指定火区内,除非所装的液体、系统的设计、油箱所采用的材料、切断装置以及所有的连接件、导管和控制装置所提供的安全度,与油箱或容器安置在该火区外的安全度相同。
(b)每个油箱或容器与每一防火墙或用于隔开指定火区的防火罩之间,必须有不小于13毫米(1/2英寸)的间隙。
(c) 位于可能渗漏的可燃液体系统组件近旁的吸收性材料,必须加以包覆或处理,以防吸收危险量的液体。
〔中国民用航空总局2001年5月14日第三次修订,交通运输部2016年3月17日第四次修订〕
第25.1187条 火区的排液和通风
(a) 指定火区的每个部位必须能完全排放积存的油液,使容有可燃液体的任何组件失效或故障而引起的危险减至最小。排放措施应满足下列要求:
(1) 当需要排放时,在预期液体会存在的各种情况下,必须是有效的;
(2) 必须布置成使放出的液体不会增加着火危险。
(b) 每一指定的火区必须通风,以防可燃蒸气聚积。
(c) 通风口不得设置在其它火区的可燃液体、蒸气或火焰会进入的部位。
(d) 每一通风措施必须布置成使排出的蒸气不会增加着火危险。
(e) 除短舱的发动机动力部分和燃烧加温器的通风管道外,必须有措施使机组能切断通向任何火区的强迫风源,如果灭火剂剂量和喷射率是以通过该火区的最大空气流量为依据的则除外。
第25.1189条 切断措施
(a) 每台发动机安装和第25.1181(a)(4)与(5)条规定的各个火区必须有措施,用来切断燃油、滑油、除冰液以及其它可燃液体,或者防止危险量的上述液体流入或流过任何指定火区,或在其中流动。但下列情况不要求有切断措施:
(1) 与发动机组成一体的导管、接头和组件;
(2) 涡轮发动机安装的滑油系统(如果其处于指定火区内的所有组件,包括滑油箱,都是防火的,或位于不易受发动机着火影响的区域)。
(b) 任何一台发动机的燃油切断阀的关闭,不得中断对其余发动机的供油。
(c) 任何切断动作不得影响其它设备(诸如螺旋桨顺桨装置)以后的应急使用。
(d) 可燃液体的切断装置和控制装置必须是防火的,或者必须安置和防护得使火区内的任何着火不会影响其工作。
(e) 切断装置关闭后,不得有危险量的可燃液体排入任何指定火区。
(f) 必须有措施防止切断装置被误动,并能使机组在飞行中重新打开已关闭的切断装置。
(g) 油箱和发动机之间的每个切断阀的安装位置必须使动力装置或发动机安装的结构破损不会影响该阀工作。
(h) 每个切断阀必须具有释放聚积过大压力的措施,如果系统中另有释压措施则除外。
第25.1191条 防火墙
(a) 每台发动机、辅助动力装置、燃油燃烧加温器、其它在飞行中需要使用的燃烧设备以及涡轮发动机的燃烧室、涡轮和尾喷管部分,均必须用防火墙、防火罩或其它等效设施与飞机的其它部分隔离。
(b) 防火墙和防火罩应满足下列要求:
(1) 必须是防火的;
(2) 其构造必须能防止危险量的空气、液体或火焰从该隔舱进入飞机的其它部分;
(3) 其构造必须使每一开孔都用紧配合的防火套圈、衬套或防火墙接头进行封严;
(4) 必须防腐蚀。
第25.1192条 发动机附件部分的隔板
对于活塞发动机,发动机动力部分和排气系统的所有部分必须用满足第25.1191条防火墙要求的隔板与发动机附件部分隔离。
第25.1193条 发动机罩和短舱蒙皮
(a) 整流罩的构造和支承,必须使其能承受在运行中可能遇到的任何振动、惯性和空气载荷。
(b) 整流罩必须满足第25.1187条的排液和通风要求。
(c) 在发动机动力部分和发动机附件部分之间有隔板的飞机上,一旦动力装置的发动机动力部分着火时,经受火焰的附件部分整流罩的各部分,应符合下列规定:
(1) 必须是防火的;
(2) 必须满足第25.1191条的要求。
(d) 由于靠近排气系统零件或受排气冲击而经受高温的整流罩的各部分必须是防火的。
(e) 每架飞机必须符合下列规定:
(1) 其设计和构造应使在任何火区内出现的着火不能通过开口或烧穿外蒙皮而进入其它任何火区或会增加危险的区域;
(2) 在起落架收起时(如果适用),应满足本条(e)(1)的要求;
(3) 在发动机动力部分或附件部分着火时经受火焰的区域应使用防火蒙皮。
第25.1195条 灭火系统
(a) 必须有为每个指定火区服务的灭火系统,但是对于包含输送可燃液体或气体管路或组件的涡轮发动机安装的燃烧室、涡轮及尾喷管部分,如果表明其着火是可控制的,则这些部分除外。
(b) 灭火系统、灭火剂剂量、喷射速率和喷射分布必须足以灭火。必须通过真实的或模拟的飞行试验来表明,在飞行中临界的气流条件下,本条(a)规定的每一指定火区内灭火剂的喷射,可提供能熄灭该火区内的着火并能使复燃的概率减至最小的灭火剂密集度。辅助动力装置、燃油燃烧加温器以及其它燃烧设备可以使用单独的“一次喷射”式灭火系统。对于每个其它的指定火区,必须提供两次喷射,每次喷射要有足够的灭火剂密集度。
(c) 短舱的灭火系统必须能够同时对被防护短舱的每一火区进行防护。
第25.1197条 灭火剂
(a) 灭火剂必须满足下列要求:
(1) 能够熄灭在灭火系统保护的区域内任何液体或其它可燃材料燃烧时的火焰;
(2) 对于贮放灭火剂的舱内可能出现的整个温度范围,均具有热稳定性。
(b) 如果使用任何有毒的灭火剂,必须采取措施防止有害密集度的灭火液或其蒸气(飞机正常运行中渗漏的,或者在地面或飞行中灭火瓶喷射释放的)进入任何载人舱(即使灭火系统中可能存在缺陷)。对于此要求必须用试验来表明,但机身舱内的固定式二氧化碳灭火系统除外,对于该系统则有下列要求:
(1) 应能按规定的灭火程序,向机身任一隔舱喷射2.3公斤(5磅)或少于2.3公斤(5磅)的二氧化碳;或
(2) 对于在驾驶舱执勤的或每个飞行机组成员,应有防护性呼吸设备。
第25.1199条 灭火瓶
(a) 每个灭火瓶必须备有释压装置,防止内压过高而引起容器爆破。
(b) 从释压接头引出的每根排放管的排放瑞头,其设置必须使放出的灭火剂不会损伤飞机。该排放管还必须设置和防护得不致被冰或其它外来物堵塞。
(c) 对于每个灭火瓶必须设有指示措施,指示该灭火瓶已经喷射或其充填压力低于正常工作所需的最小规定值。
(d) 在预定运行条件下,必须保持每个灭火瓶的温度,以防出现下列情况:
(1) 容器中压力下降到低于提供足够喷射率所需的值;
(2) 容器中压力上升到足以引起过早喷射。
(e) 如果采用爆炸帽来喷射灭火剂,则每个灭火瓶必须安装得使温度条件不致产生爆炸帽工作性能危险的恶化。
第25.1201条 灭火系统材料
(a) 任何灭火系统的材料不得与任何灭火剂起化学反应以致产生危害。
(b) 发动机舱内的每个灭火系统部件必须是防火的。
第25.1203条 火警探测系统
(a) 在每个指定火区和在涡轮发动机安装的燃烧室、涡轮和尾喷管部分内,均必须有经批准的、快速动作的火警或过热探测器。其数量和位置要保证能迅速探测这些区域内的火警。
(b) 火警探测系统的构造和安装必须符合下列规定:
(1) 能承受运行中可能遇到的振动、惯性和其它载荷;
(2) 装有警告装置,一旦指定火区的传感器或有关导线在某一处断开时,能向机组报警,如果该系统在断开后仍能作为满足要求的探测系统继续工作则除外;
(3)装有警告装置,一旦指定火区内的传感器或有关导线短路时,能向机组报警,如果该系统在短路后仍能作为满足要求的探测系统继续工作则除外。
(c) 火警或过热探测器不得受到可能出现的任何油、水、其它液体或气体的影响。
(d) 必须有手段使机组在飞行中能检查每个火警或过热探测器电路的功能。
(e) 火区内每个火警或过热探测系统的部件必须是耐火的。
(f) 任何火区的火警或过热探测系统的部件不得穿过另一火区,但具备下列条件之一者除外:
(1) 能够防止由于所穿过的火区着火而发生假火警的可能性;
(2) 所涉及的火区是由同一探测器和灭火系统同时进行防护的。
(g) 火警探测系统的构造,必须使得当其处于安装形态时,不会超过根据探测器有关技术标准中规定的响应时间标准对探测器所批准的报警动作时间。
(h) 火区内每个火警或过热探测系统的电气线路互联系统(EWIS)必须符合25.1731条的要求。
〔交通运输部2016年3月17日第四次修订〕
第25.1207条 符合性
除非另有规定,必须用全尺寸的着火试验或下列方法中的一种或几种表明满足第25.1181至25.1203条的要求:
(a) 类似动力装置构型的试验;
(b) 部件试验;
(c) 具有类似动力装置构型的飞机服役经验;
(d) 分析。
F分部 设备
总则
第25.1301条 功能和安装
(a) 所安装的每项设备必须符合下列要求:
(1) 其种类和设计与预定功能相适应;
(2) 用标牌标明其名称、功能或使用限制,或这些要素的适用的组合;
(3) 按对该设备规定的限制进行安装;
(4) 在安装后功能正常。
(b) 电气线路互联系统(EWIS)必须符合本部H分部的要求。
〔交通运输部2016年3月17日第四次修订〕
第25.1303条 飞行和导航仪表
(a) 下列飞行和导航仪表的安装必须使每一驾驶员从其工作位置都能看到该仪表:
(1) 大气静温表,或可将其指示换算为大气静温的大气温度表;
(2) 带秒针的或数字式的显示时、分、秒的时钟;
(3) 航向指示器(无陀螺稳定的磁罗盘)。
(b) 每一驾驶员工作位置处必须安装下列飞行和导航仪表:
(1) 空速表。如果空速限制随高度变化,则该表必须指示随高度变化的最大允许空速VMO;
(2) 高度表(灵敏型);
(3) 升降速度表(垂直速度);
(4) 带有侧滑指示器(转弯倾斜仪)的陀螺转弯仪,但按有关营运条例装有在360度俯仰和滚转姿态中均可工作的第三套姿态仪表系统的大型飞机,只需有侧滑指示器;
(5) 倾斜俯仰指示器(陀螺稳定的);
(6) 航向指示器(陀螺稳定的磁罗盘或非磁罗盘)。
(c) 飞机应根据下列规定的情况安装相应的飞行和导航仪表:
(1) 涡轮发动机飞机和VMO/MMO大于0.8VDF/MDF或0.8VD/MD的飞机,需有速度警告装置。当速度超过VMO+6节或MMO+0.01时,速度警告装置必须向驾驶员发出有效的音响警告(要与其它用途的音响警告有明显区别)。该警告装置的制造允差的上限不得超过规定的警告速度;
(2) 有压缩性限制而本条(b)(1)要求的空速指示系统未向驾驶员指示MMO的飞机,在每一驾驶员工作位置处需有马赫数表。
第25.1305条 动力装置仪表
所需的动力装置仪表规定如下:
(a) 各种飞机
(1) 每台发动机一个燃油压力警告装置,或所有发动机一个总警告装置,并有分离各单独警告的措施;
(2) 每个燃油箱一个燃油油量表;
(3) 每个滑油箱一个滑油油量指示器;
(4) 每台发动机的每个独立的滑油压力系统一个滑油压力表;
(5) 每台发动机一个滑油压力警告装置,或所有发动机一个总警告装置,并有分离各单独警告的措施;
(6) 每台发动机一个滑油温度表;
(7) 提供可视和音响警告的火警设备;
(8) 每个加力液箱一个液量指示器(和飞机运行中液体的使用方式相适应)。
(b) 活塞发动机飞机 除本条(a)要求的动力装置仪表外,还需装有下列动力装置仪表:
(1) 每台发动机一个汽化器空气温度表;
(2) 每台气冷发动机一个气缸头温度表;
(3) 每台发动机一个进气压力表;
(4) 每台发动机一个燃油压力表(指示供油压力);
(5) 无自动高度混合控制器的每台发动机,一个燃油流量表或一个油气混合比指示器;
(6) 每台发动机一个转速表;
(7) 属于下列任一情况的每台发动机,一个在飞行中向飞行机组指示功率输出变化的装置:
(i) 装有由功率输出测量系统启动的螺旋桨自动顺桨系统;
(ii) 发动机活塞总排气量等于或大于33,000毫升(2,000英寸3)。
(8) 每具可反桨的螺旋桨一个指示装置,在螺旋桨反桨时向驾驶员发出指示。
(c) 涡轮发动机飞机 除本条(a)要求的动力装置仪表外,还需装有下列动力装置仪表:
(1) 每台发动机一个燃气温度表;
(2) 每台发动机一个燃油流量表;
(3) 每台发动机一个转速表(指示有规定限制转速的转子转速);
(4) 如果发动机起动机既未按连续使用设计,又未设计成在其失效后能防止危险,但是可能被连续使用,则每台起动机应有一种向飞行机组指示其运转状态的装置;
(5) 每台发动机一个动力装置防冰系统功能指示器;
(6) 第25.997条要求的燃油滤网或燃油滤,应有一个指示器,在滤网或油滤的脏污程度影响第25.997(d)条规定的滤通能力之前即指示出现脏污;
(7) 第25.1019条要求的滑油滤网或滑油滤,如果没有旁路,则应有一个警告装置,在滤网或油滤的脏污程度影响第25.1019(a)(2)条规定的滤通能力之前向驾驶员警告出现脏污;
(8) 防止燃油系统部件被冰堵塞的任何加温器,应有一个指示其功能是否正常的指示器。
(d) 涡轮喷气发动机飞机 除本条(a)和(c)要求的动力装置仪表外,还需装有下列动力装置仪表:
(1) 一个向驾驶员指示推力或与推力直接有关的参数的指示器。其指示必须以对推力或该参数的直接测量为依据。该指示器必须能指示发动机故障、损坏或性能降低所造成的推力变化;
(2) 当反推力装置处于下列状态时,位置指示装置向飞行机组发出指示:
(i) 未处于所选位置,和
(ii) 对于每台装有反推力装置的发动机,处于反推力位置。
(3) 一个指示转子系统不平衡状态的指示器。
(e) 涡轮螺旋桨飞机 除本条(a)和(c)要求的动力装置仪表外,还需装有下列动力装置仪表:
(1) 每台发动机一个扭矩表;
(2) 每具螺旋桨一个位置指示器,在螺旋桨桨叶角小于飞行低距位置时向飞行机组发出指示;
(3) [删除]
(f) 装有增大功率(推力)的液体系统(燃油除外)的飞机,必须装有一个经批准的向飞行机组指示该系统功能是否正常的装置。
〔中国民用航空总局1995年12月18日第二次修订,交通运输部2016年3月17日第四次修订〕
第25.1307条 其它设备
所需的其它设备规定如下:
(a) [备用]
(b) 两个或两个以上独立的电源;
(c) 本部规定的电气保护装置;
(d) 两套双向无线电通信系统,每套系统的控制装置可从每个驾驶员的工作位置进行操作,其设计和安装需保证一套系统失效时不影响另一套系统工作。允许使用公共的天线系统,只要表明使用后仍具有足够的可靠性;
(e) 两套无线电导航系统,每套系统的控制装置可从每个驾驶员的工作位置进行操作,其设计和安装需保证一套系统失效时不影响另一套系统工作。允许使用公共的天线系统,只要表明使用后仍具有足够的可靠性;
(f) [删除]
(g) [删除]
(h) [删除]
〔中国民用航空总局1995年12月18日第二次修订〕
第25.1309条 设备、系统及安装
(a) 凡航空器适航标准对其功能有要求的设备、系统及安装,其设计必须保证在各种可预期的运行条件下能完成预定功能。
(b) 飞机系统与有关部件的设计,在单独考虑以及与其它系统一同考虑的情况下,必须符合下列规定:
(1) 发生任何妨碍飞机继续安全飞行与着陆的失效状态的概率为极不可能;
(2) 发生任何降低飞机能力或机组处理不利运行条件能力的其它失效状态的概率为不可能。
(c) 必须提供警告信息,向机组指出系统的不安全工作情况并能使机组采取适当的纠正动作。系统、控制器件和有关的监控与警告装置的设计必须尽量减少可能增加危险的机组失误。
(d) 必须通过分析,必要时通过适当的地面、飞行或模拟器试验,来表明符合本条(b)的规定。这种分析必须考虑下列情况:
(1) 可能的失效模式,包括外界原因造成的故障和损坏;
(2) 多重失效和失效未被检测出的概率;
(3) 在各个飞行阶段和各种运行条件下,对飞机和乘员造成的后果;
(4) 对机组的警告信号,所需的纠正动作,以及对故障的检测能力。
(e) 在表明电气系统和设备的设计与安装符合本条(a)和(b)的规定时,必须考虑临界的环境条件。中国民用航空规章规定具备的或要求使用的发电、配电和用电设备,在可预期的环境条件下能否连续安全使用,可由环境试验、设计分析或参考其它飞机已有的类似使用经验来表明,但适航当局认可的技术标准中含有环境试验程序的设备除外。
(f) 必须按照25.1709条的要求对电气线路互联系统(EWIS)进行评估。
〔交通运输部2016年3月17日第四次修订〕
第25.1310条 电源容量和分配
(a) 对于型号合格审定或运行规章所要求的,并需要用电的每个装置均为电源的“重要负载”。在可能的运行条件和可能的持续时间内,电源和系统必须能够提供电源给下列负载:
(1) 系统正常工作时连接到系统的负载;
(2) 在任何一个主驱动器、电源转换器或储能装置失效后的重要负载;
(3) 在下列失效后的重要负载:
(i) 双发飞机的任何一台发动机,以及
(ii) 三发或以上发动机飞机的任何两台发动机;
(4) 在任何一个电源系统、配电系统或其他用电系统失效或失常后,需要一个备份电源的重要负载。
(b) 判断是否符合本条(a)(2)和(3)时,可以假定电源负载按与经批准的运行类别的安全性相符合的监控程序降低。对于三发或三发以上飞机,双发不工作条件时不是可控飞行所必须的负载可以不考虑。
〔交通运输部2016年3月17日第四次修订〕
第25.1316条 系统闪电防护
(a) 对于其功能失效会影响或妨碍飞机继续安全飞行和着陆的每种电气、电子系统的设计和安装,必须保证在飞机遭遇闪电环境时,执行这些功能的系统的工作与工作能力不受不利影响。
(b) 对于其功能失效会影响或造成降低飞机能力或飞行机组处理不利运行条件能力的各种电气和电子系统的设计与安装,必须保证在飞机遭遇闪电环境之后能及时恢复这些功能。
(c) 必须按照遭遇严重闪电环境来表明对于本条(a)和(b)的闪电防护准则的符合性。申请人必须通过下列办法来设计并验证飞机电气/电子系统对闪电影响的防护能力:
(1) 确定飞机的闪击区;
(2) 建立闪击区的外部闪电环境;
(3) 建立内部环境;
(4) 判定必须满足本条要求的所有电子电气系统及其在飞机上或飞机内的位置;
(5) 确定系统对内部和外部闪电环境的敏感度;
(6) 设计防护措施;
(7) 验证防护措施的充分性。
〔中国民用航空总局1995年12月18日第二次修订〕
第25.1317条 高强辐射场(HIRF)防护
(a) 除本条(d)规定的以外,对于其功能失效会影响或妨碍飞机继续安全飞行和着陆的每个电气和电子系统必须设计和安装,以符合以下要求:
(1) 当飞机暴露于附录L中描述的HIRF环境I时和暴露后,其功能不会受到不利影响;
(2) 飞机暴露于附录L中描述的HIRF环境I后,系统及时地自动恢复其功能的正常运行,除非系统的这种功能恢复与该系统其他运行或功能要求相冲突;和
(3) 当飞机暴露于附录L中描述的HIRF环境II时和暴露后,系统不会受到不利影响。
(b) 对于其功能失效后会严重降低飞机性能或飞行机组对不利运行条件的反应能力的电子和电气系统必须设计和安装,当提供这些功能的设备暴露于附录L中描述的HIRF设备测试水平1或2时,系统不会受到不利影响。
(c) 对于其功能失效后会降低飞机性能或飞行机组对不利运行条件的反应能力的电子和电气系统必须设计和安装,当提供这些功能的设备暴露于附录L中描述的HIRF设备测试水平3时,系统不会受到不利影响。
(d)在2012年12月1日前,如果其功能故障后会妨碍继续安全飞行和着陆的电子或电气系统的设计和安装,在符合以下要求时可以不用满足(a)款的规定:
(1) 系统先前已经符合2016年4月17日前颁发的CCAR 21.16规定的专用条件;
(2) 自从表明符合专用条件后系统的HIRF抗干扰特性没有改变;和
(3) 提供以前表明符合专用条件的数据。
〔交通运输部2016年3月17日第四次修订〕
仪表:安装
第25.1321条 布局和可见度
(a) 必须使任一驾驶员在其工作位置沿飞行航迹向前观察时,尽可能少偏移正常姿势和视线,即可看清供他使用的每个飞行、导航和动力装置仪表。
(b) 第25.1303条所要求的飞行仪表必须在仪表板上构成组列,并尽可能集中在驾驶员向前视线所在的垂直平面附近。此外,必须符合下列规定:
(1) 最有效地指示姿态的仪表必须装在仪表板上部中心位置;
(2) 最有效地指示空速的仪表必须直接装在本条(b)(1)所述仪表的左边;
(3) 最有效地指示高度的仪表必须直接装在本条(b)(1)所述仪表的右边;
(4) 最有效地指示航向的仪表必须直接装在本条(b)(1)所述仪表的下边。
(c) 所要求的动力装置仪表,必须在仪表板上紧凑地构成组列。此外,必须符合下列规定:
(1) 各发动机使用同样的动力装置仪表时,其位置的安排必须避免混淆每个仪表所对应的发动机;
(2) 对飞机安全运行极端重要的动力装置仪表,必须能被有关机组成员看清。
(d) 仪表板的振动不得破坏或降低任何仪表的精度。
(e) 如果装有指出仪表失灵的目视指示器,则该指示器必须在驾驶舱所有可能的照明条件下都有效。
第25.1322条 警告灯、戒备灯和提示灯
如果在驾驶舱内装有警告灯、戒备灯和提示灯,则除适航当局另行批准外,灯的颜色必须按照下列规定:
(a) 红色,用于警告灯(指示危险情况,可能要求立即采取纠正动作的指示灯);
(b) 琥珀色,用于戒备灯(指示将可能需要采取纠正动作的指示灯);
(c) 绿色,用于安全工作灯;
(d) 任何其它颜色,包括白色,用于本条(a)至(c)未作规定的灯,该颜色要足以同本条(a)至(c)规定的颜色相区别,以避免可能的混淆。
第25.1323条 空速指示系统
下列要求适用于每个空速指示系统:
(a) 每个空速指示仪表必须经过批准,并必须加以校准,在施加相应的总压和静压时以尽可能小的仪表校准误差指示真空速(海平面标准大气下);
(b) 空速指示系统必须加以校准,以确定飞行时和地面起飞加速滑跑过程中的系统误差(即指示空速和校准空速的关系)。进行地面滑跑校准时,必须按照下列条件:
(1) 对于批准的高度和重量范围,速度从0.8V1最小值至V2的最大值;
(2) 襟翼位置和发动机功率(推力)的调定按第25.111条制定起飞航迹时所确定的值,但假设临界发动机在V1最小值时失效。
(c) 在下列状态的整个速度范围内,空速的安装误差(不包括空速指示仪表校准误差)不得超过3%或5节,两者中取大值:
(1) 从VMO至1.23VSR1,襟翼在收上位置;
(2) 从1.23VSRO至VFE,襟翼在着陆位置。
(d) 从1.23VSR到失速警告开始的速度,指示空速随校准空速必须明显地变化并且趋势相同,并且在低于失速警告速度的速度下指示空速不得以不正确的趋势发生变化。
(e) 从VMO到VMO+2/3(VDF-VMO),指示空速随校准空速必须明显地变化并且趋势相同,并且在直到VDF的较高速度下指示空速不得以不正确的趋势发生变化。
(f) 在开始抬前轮和飞机获得稳定爬升状态之间的起飞阶段,不得出现导致飞行员过度困难的空速指示。
(g) 空速指示系统的滞后效应不应引起明显的起飞指示空速偏差,或者起飞或加速停止距离的显著误差。
(h) 每个空速指示系统的安排必须尽可能防止由于湿气、尘埃或其它杂物侵入而失灵或产生严重误差。
(i) 每个空速指示系统必须配备有一个可加温的空速管或等效手段,防止由于结冰而失灵。
(j) 如果要求有两套空速表,则其各自的空速管之间必须相隔足够的距离,以免鸟撞时两个空速管都损坏。
〔交通运输部2016年3月17日第四次修订〕
第25.1325条 静压系统
(a) 每个带大气静压膜盒的仪表必须通过合适的管路系统与外界大气连通。
(b) 静压孔的设计和位置必须使静压系统的性能受气流变化或者受湿气或其它外来物的影响最小,而且当飞机遇到本部附录C所规定的连续或间断最大结冰状态时,静压系统内的空气压力和真实的外界大气静压之间的相互关系不变。
(c) 静压系统的设计和安装必须符合下列规定:
(1) 备有可靠的排放水分的措施;要避免导管擦伤和在导管弯曲处过分变形或严重限流;所用的材料应是耐久的,适合于预定用途并能防腐蚀;
(2) 除通大气的孔外静压系统都要气密。必须以下列方法进行验证试验,以演示静压系统的完整性:
(i) 非增压飞机 对静压系统抽气到压差约为3,400帕(25毫米汞柱;l英寸汞柱),或高度表读数高于试验时飞机的海拔高度300米(1,000英尺)。停止抽气一分钟后,指示高度的减小值必须不大于30米(100英尺);
(ii) 增压飞机 对静压系统抽气到压差等于飞机型号合格审定时批准的最大座舱压差,停止抽气一分钟后,指示高度的减小值必须不大于最大座舱压差当量高度的2%或30米(100英尺),两者中取大值。
(d) 每个气压高度表必须经过批准,并且必须加以校准,使之在施加相应的静压时,能以尽可能小的校准误差来指示标准大气下的气压高度。
(e) 每个静压系统的设计和安装必须使在海平面标准大气下所指示的气压高度的误差(不包括仪表校准误差),在1.23VSRO (襟翼展态)至1.7VSR1(襟翼收态)速度范围内对应的飞机形态下,每100节不超过±10米(30英尺),速度小于100节时,气压高度误差允许为±10米(30英尺)。
(f) 如果高度表系统装有高度表指示修正装置,该装置必须设计和安装成当其失灵时能够旁路,除非另有一个备用高度表,每个修正装置必须有措施向飞行机组指示有合理可能的失灵(包括能源失效)。该指示措施在驾驶舱可能出现的任何照明条件下必须有效。
(g) 除本条(h)规定的情况外,如果静压系统包括有主静压源和备用静压源,则静压源选择装置的设计必须满足下列要求:
(1) 选用任一静压源时,另一个静压源断开;
(2) 两个静压源不能同时断开。
(h) 对于非增压飞机,如果能够用演示表明,在选用任一静压源时,静压系统的校准不会因另一静压源的通断而变化,则本条(g)(1)的规定不适用。
〔交通运输部2016年3月17日第四次修订〕
第25.1326条 空速管加温指示系统
如果装有飞行仪表的空速管加温系统,则必须设置指示系统,当空速管加温系统不工作时向飞行机组发出指示,指示系统必须满足下列要求:
(a) 在飞行机组成员清晰可见的视野内有一琥珀色灯;
(b) 其设计应能在出现任一下列情况时提请飞行机组注意:
(1) 空速管加温系统开关在“断开”位置;
(2) 空速管加温系统开关在“接通”位置,而任一空速管加温元件不工作。
第25.1327条 磁航向指示器
(a) 每个磁航向指示器必须安装成使其精度不受飞机振动或磁场的严重影响。
(b) 经补偿的安装偏差,平飞时,在任何航向上均不得大于10度。
第25.1329条 飞行导引系统
(a) 必须给每个驾驶员提供具有快速切断自动驾驶仪和自动推力功能的操纵器件。自动驾驶仪快速切断操纵器件必须装在两个操纵盘(或其等效装置)上。自动推力快速切断操纵器件必须装在推力操纵杆上。当驾驶员在操作操纵盘(或其等效装置)和推力操纵杆时,必须易于接近快速断开操纵器件。
(b) 对驾驶员人工断开自动驾驶仪或自动推力功能的系统,其失效影响必须按照第25.1309条的要求进行评估。
(c) 飞行导引系统、模式、或传感器的衔接或转换导致的飞机航迹瞬变,都不得大于本条(n)(1)中规定的微小瞬变。
(d) 在正常条件下,飞行导引系统的任何自动控制功能的切断导致的飞机航迹瞬变,都不得大于微小瞬变。
(e) 在罕见的正常和不正常条件下,飞行导引系统的任何自动控制功能的切断导致的瞬变都不得大于本条(n)(2)中规定的重大瞬变。
(f) 如有必要,为了防止不适当使用或混淆,每一个指令基准控制器件的功能和运动方向,如航向选择或垂直速度,必须清楚地标示在每一控制器件上或其附近。
(g) 在适于使用飞行导引系统的任何飞行条件下,飞行导引系统不会对飞机产生危险的载荷,也不会产生危险的飞行航迹偏离。这一要求适用于无故障运行和故障情况,前提是假设驾驶员在一段合理的时间内开始采取纠正措施。
(h) 当使用飞行导引系统时,必须提供措施以避免超出正常飞行包线速度范围可接受的裕度。如果飞机飞行速度偏移超出这个范围,必须提供措施防止飞行导引系统导引或控制导致不安全的速度。
(i) 飞行导引系统的功能、操纵器件、指示和警告必须被设计成使飞行机组对于飞行导引系统的工作和特性产生的错误和混淆最小。必须提供措施指示当前的工作模式,包括任何预位模式、转换和复原。选择器电门的位置不能作为一种可接受的指示方式。操纵器件和指示必须合理和统一地进行分类组合和排列。在任何预期的照明条件下,指示都必须能够被每个驾驶员看见。
(j) 自动驾驶仪断开后,必须及时的给每一驾驶员提供与驾驶舱其它警告截然不同的警告(视觉和听觉的)。
(k) 自动推力功能断开后,必须给每一驾驶员提供戒备指示。
(l) 当飞行机组对飞行操纵器件施加超控力时,自动驾驶仪不得产生潜在的危险。
(m) 在自动推力工作期间,飞行机组必须不用过大的力气就能移动推力杆。在飞行机组对推力杆施加超控力时,自动推力不得产生潜在的危险。
(n) 对于本条,瞬变指对控制或飞行航迹的一种干扰,这种干扰对飞行机组输入的响应或环境条件不一致。
(1) 微小瞬变不会严重减小安全裕度,且飞行机组的行为能力还很好。微小瞬变会导致轻微增加飞行机组的工作负担或对旅客和客舱机组带来某些身体的不适。
(2) 重大瞬变会引起安全裕度严重减小、飞行机组工作负担增加、飞行机组不适,或旅客和客舱机组身体伤害,可能还包括非致命的受伤。为了保持或恢复到正常飞行包线内,严重瞬变不要求:
(i) 特殊的驾驶技巧,机敏或体力;
(ii) 超过第25.143(d)条要求的驾驶员力量;
(iii) 会对有保护或无保护的乘员产生进一步危害的飞机的加速度或姿态。
〔交通运输部2016年3月17日第四次修订〕
第25.1331条 使用能源的仪表
(a) 对于第25.1303(b)条要求的使用能源的每个仪表,采用下列规定:
(1) 每个仪表都必须具有与仪表构成一体的目视指示装置,在供能不足以维持仪表正常性能时发出指示。能源必须在进入仪表处或其附近测量。对电气仪表,当电压在批准的范围内时,即认为电源满足要求;
(2) 每个仪表在一个能源一旦失效时,必须由另一能源供能,此转换可以自动或手动完成;
(3) 如果提供导航数据的仪表是从该仪表外部的来源接受信息的,并且丧失这些信息就会使所提供的数据不可靠,则该仪表必须具有目视指示装置,当信息丧失时向机组发出警告,不应再信赖所提供的数据。
(b) 本条所用“仪表”一词,包括装在一个设备内的装置,以及由多个实体上分开但彼此相连的设备或部件所组成的装置(以远读陀螺航向指示器为例,它由磁感应传感器、陀螺装置、放大器和指示器相连而成)。
第25.1333条 仪表系统
第25.1303(b)条要求的,各驾驶员工作位置处的仪表,其工作系统应符合下列规定:
(a) 必须有措施,能使正驾驶员工作位置处的仪表与独立的工作系统相连接(独立于其他飞行机组工作位置处的工作系统或其它设备);
(b) 设备、系统和安装必须设计成,当发生任何单个故障或故障组合后(如未表明其概率极不可能),无需增加机组成员的动作,仍能保留一组可供驾驶员使用的、由仪表提供的、对飞行安全必不可少的信息显示(包括姿态、航向、空速和高度);
(c) 附加的仪表、系统和设备不得连接到所要求的仪表工作的系统上,除非有措施保证,附加的仪表、系统或设备发生任一失灵后(如未表明其概率极不可能),所要求的仪表仍能继续正常工作。
〔交通运输部2016年3月17日第四次修订〕
第25.1335条 [删除]
〔交通运输部2016年3月17日第四次修订〕
第25.1337条 动力装置仪表
(a) 仪表和仪表管路
(1) 动力装置和辅助动力装置仪表的每根管路必须满足第25.993条和第25.1183条的要求。
(2) 每根装有充压可燃液体的管路必须符合下列规定:
(i) 在压力源处有限流孔或其它安全装置,以防管路破损时溢出过多的液体;
(ii) 管路的安装和布置要使液体的溢出不会造成危险。
(3) 使用可燃液体的每个动力装置和辅助动力装置仪表,其安装和布置必须使液体的溢出不会造成危险。
(b) 燃油油量表 必须装有指示装置向飞行机组成员指示飞行中每个油箱内可用燃油油量,单位为升(美加仑),或者当量单位。此外,还必须符合下列规定:
(1) 每个燃油油量表必须经过校准,使得在平飞过程中当油箱内剩余燃油量等于按第25.959条确定的不可用燃油量时,其读数为“零”;
(2) 出口和空间都互通的若干油箱可以视为一个油箱而不必分别设置指示器;
(3) 每个用作燃油油量表的外露式目视油量计必须加以防护,以免损坏。
(c) 燃油流量指示系统 如果装有该系统,则每个测量部件必须具有在该部件发生故障而严重限制燃油流动时使供油旁路的装置。
(d) 滑油油量指示器 必须有油尺或等效装置以指示每个油箱内的滑油量。如果装有滑油转输系统或备用滑油供油系统,则必须具有在飞行中向飞行机组指示每个油箱滑油量的装置。
(e) 涡轮螺旋桨桨叶位置指示器 所要求的涡轮螺旋桨桨叶位置指示器在桨叶角低于飞行低距止动点8度之前必须开始指示。指示信号源必须直接感受桨叶位置。
(f) 燃油压力指示器 在活塞发动机的每一供油系统中,必须具有测量任一燃油泵(燃油注油泵除外)下游燃油压力的装置。此外,还必须符合下列规定:
(1) 如果为了保持正常供油压力而有必要,则应有连通管把汽化器空气入口的静压传递到相应的燃油泵安全阀接嘴上;
(2) 如按本条(f)(1)要求装连通管,则仪表平衡管必须单独接通汽化器入口处的压力,以免使读数错误。
电气系统和设备
第25.1351条 总则
(a) 电气系统容量 对于所需的发电容量、电源数目和种类规定如下:
(1) 必须由电气负载分析确定;
(2) 必须满足第25.1309条的要求。
(b) 发电系统 发电系统包括电源、主电源汇流条、传输电缆以及有关的控制、调节和保护装置。发电系统的设计必须符合下列规定:
(1) 电源在单独工作或并联运行时功能正常;
(2) 任一电源的失效或故障均不得造成危险或损害其余的电源向重要负载供电的能力;
(3) 在任何可能的运行条件下,所有重要负载设备端的系统电压和频率(如果适用)均能保持在该设备的设计限制范围之内;
(4) 因切换、清除故障或其它原因而引起的系统瞬变不会使重要负载不工作,且不会造成冒烟或着火的危险;
(5) 备有在飞行中相应机组成员容易接近的措施,以将各电源与该系统单独断开或一起断开;
(6) 备有措施向相应机组成员指示发电系统安全运行所必需的系统参量,如每台发电机的输出电压和电流。
(c) 外部电源 如果备有设施将外部电源接到飞机上,且该外部电源能与除用于发动机起动之外的其它设备相连接,则必须有措施确保反极性或逆相序的外部电源不能向该飞机的电气系统供电。
(d) 无正常电源时的运行 必须通过分析、试验或两者兼用来表明,当正常电源(除蓄电池之外的电源)不工作、燃油(从熄火和重新起动能力考虑)为临界状态,且飞机最初处于最大审定高度的情况下,飞机能按目视飞行规则安全飞行至少五分钟。电气系统中满足下列条件的部分才可以保持接通:
(1) 包括导线束或接线盒起火在内的单个故障不会导致丧失断开部分和接通部分;
(2) 接通部分在电气上和机械上与断开部分隔离。
(3) [删除]
〔中国民用航空总局1995年12月18日第二次修订〕
第25.1353条 电气设备及安装
(a) 电气设备和控制装置的安装,必须使任何一个部件或部件系统的工作不会对同时工作的、对安全运行起主要作用的其他系统和部件产生不利影响。飞机上任何可能产生的电气干扰不得对飞机或其系统产生危险的影响。
(b) 蓄电池必须按下列要求设计和安装:
(1) 在任何可能的充电或放电状态下,单体蓄电池的温度和压力必须保持在安全范围之内。当蓄电池(在预先安全放电之后)在下列情况重新充电时,单体蓄电池的温度不得有不可控制的升高:
(i) 以调定的最大电压或功率;
(ii) 最长持续飞行期间;
(iii) 服役中很可能出现的最不利的冷却条件
(2) 必须通过试验表明符合本条(b)(1)的要求,但是,如果类似的蓄电池和安装方法的使用经验业已表明,使单位蓄电池保持安全的温度和压力不存在问题,则除外;
(3) 正常工作时,或充电系统或蓄电池装置发生任何可能的故障时,从任何蓄电池逸出的易爆或有毒气体,在飞机内的积聚量不得达到危险程度;
(4) 蓄电池可能逸出的腐蚀性液体或气体,均不得损坏周围的飞机结构或邻近的重要设备;
(5) 每个镉镍蓄电池装置必须有措施防止蓄电池或某个单体蓄电池短路时所发出的最大热量危及结构或重要系统;
(6) 镉镍蓄电池必须具有下列系统之一:
(i) 自动控制蓄电池充电速率的系统,以防止蓄电池过热;
(ii) 蓄电池温度敏感和超温警告系统,该系统具有一旦出现超温情况即可将蓄电池与其充电电源断开的措施;
(iii) 蓄电池失效敏感和警告系统,该系统具有一旦发生蓄电池失效即可将蓄电池与其充电电源断开的措施。
(c) 在具有接地电气系统的飞机上,其电气接地必须能够在正常和故障情况下,提供足够的电气回路。
〔交通运输部2016年3月17日第四次修订〕
第25.1355条 配电系统
(a) 配电系统包括配电汇流条、与其相关联的馈电线及每一控制和保护装置。
(b) [备用]
(c) 如果中国民用航空规章要求由两个独立的电源向某些特定的设备或系统供电,则这些设备或系统的一个电源一旦失效后,另一电源(包括其单独的馈电线)必须能自动或手动接通,以维持设备或系统的工作。
第25.1357条 电路保护装置
(a) 必须采用自动保护装置,在线路发生故障或在系统或所连接的设备发生严重失灵时,最大限度地减小对电气系统的损坏和对飞机的危害。
(b) 发电系统中的保护和控制装置的设计,必须能足够迅速地断电,并将故障电源和输电设备与其相关联的汇流条断开,防止出现危险的过压或其它故障。
(c) 每一可复位型电路保护装置的设计,必须在发生过载或电路故障时,不论其操作位置如何,均能断开电路。
(d) 如果飞行安全要求必需有使某一断路器复位或更换某一熔断器的能力,则这种断路器或熔断器的位置和标识必须使其在飞行中易被复位或更换。在使用熔断器的地方,必须有备用熔断器供飞行中使用,其数量至少应为保护整个电路所需的每种额定熔断器数量的50%。
(e) 每一重要负载电路必须具有单独的电路保护。但不要求重要负载系统中的每一电路(如系统中的每个航行灯电路)都有单独的保护。
(f) 对于正常工作中有必要进行断电或电源复位的飞机系统,该系统必须设计为:其断路器不得作为断电或电源复位的主要手段,除非将断路器特别设计作为开关使用。
(g) 如果对于接至某设备的电缆已有电路保护,则可采用自动复位断路器(如热断路器)作为该电气设备自身装有的保护器。
〔交通运输部2016年3月17日第四次修订〕
第25.1359条 [删除]
〔中国民用航空总局1995年12月18日第二次修订〕
第25.1360条 预防伤害
(a) 触电 电气系统的设计,必须尽量减少下列人员触电的危险:机组人员,旅客,勤务人员和使用正常预防措施的维修人员。
(b) 灼伤 机组人员在正常工作期间可能接触的任何部分的温度,绝不能导致机组人员非故意的危险动作,或者伤害机组人员。
〔交通运输部2016年3月17日第四次修订〕
第25.1362条 应急状态供电
应急着陆或水上迫降后,必须为应急程序所需的各项服务提供适当的电源。这些服务电路的设计、保护和安装必须使在这些应急状态下实施服务的失效风险最小。
〔交通运输部2016年3月17日第四次修订〕
第25.1363条 电气系统试验
(a) 进行电气系统的试验室试验时:
(1) 该试验必须使用与飞机上所用相同的发电设备在实体模型上进行;
(2) 设备必须模拟配电线路和所接负载的电气特性,其模拟程度要能取得可靠的试验结果;
(3) 试验室发电机传动装置,必须模拟飞机上实际的原动机对发电机加载(包括由故障引起的加载)的反应。
(b) 对于在试验室内或通过飞机地面试验不能适当模拟的每种飞行状态,必须进行飞行试验。
第25.1365条 电气设备、马达和变压器
(a) 舱内服务设备的设计和安装必须其在电源或控制系统失效后,满足25.1309条(b)、(c)和(d)的要求。舱内服务设备是指灶面、烤箱、咖啡机、热水器、冰箱和厕所冲水系统等为机上旅客服务的设备。
(b) 厨房和烹饪设备的安装必须使其过热和着火的危险最小。
(c) 舱内服务设备,尤其是厨房区域的设备,必须安装或保护妥当,以防止其正常使用过程中所产生的或溢出的流体或蒸气损坏或污染其他设备或系统,该损坏或污染可能产生危险状况。
(d) 除非以25.1357条(a)要求的电路保护装置来符合25.1309条(b),电气马达和变压器(包括舱内服务设备所用的马达和变压器)在正常工作和失效状态下,如果过热会产生烟雾或火情危险,必须具有适当的热保护装置以防过热。
〔交通运输部2016年3月17日第四次修订〕
灯
第25.1381条 仪表灯
(a) 仪表灯必须满足下列要求:
(1) 提供足够的照明,使安全运行所必需的每个仪表、开关或其它装置易于判读,除非有其它光源提供的充足照明。
(2) 灯的安装应做到:
(i) 遮蔽直射驾驶员眼睛的光线;
(ii) 使驾驶员看不到有害的反光。
(b) 除非在每一预期的飞行条件下,不可调节亮度的仪表灯已令人满意,否则必须有措施控制照明强度。
〔中国民用航空总局1995年12月18日第二次修订〕
第25.1383条 着陆灯
(a) 每个着陆灯必须经过批准,其安装必须做到:
(1) 使驾驶员看不到有害的眩光;
(2) 使驾驶员不受晕影的不利影响;
(3) 为夜间着陆提供足够的光线。
(b) 除了装在同一部位的几个着陆灯可以共用一个开关控制之外,每个着陆灯必须有一个单独的开关。
(c) 必须有手段,当着陆灯在放出位置时,向驾驶员发出指示。
第25.1385条 航行灯系统的安装
(a) 总则 航行灯系统中的每一部分必须满足本条中的有关要求,并且整个系统必须满足第25.1387条至第25.1397条的要求。
(b) 前航行灯 前航行灯必须由红灯和绿灯组成,其横向间距要尽可能大,朝前装在飞机上,当飞机处于正常飞行姿态时,灯的光色为左红右绿。每个灯必须经过批准。
(c) 后航行灯 后航行灯必须是白灯,要尽可能向后地装在尾部或每一机翼翼尖上,并且必须经过批准。
(d) 灯罩和滤色镜 每个灯罩或滤色镜必须至少是阻燃的,在正常使用中不得改变颜色或形状,也不得有任何明显的灯光透射损失。
第25.1387条 航行灯系统二面角
(a) 除本条(e)规定者外,所装的每个前、后航行灯在本条规定的二面角内,必须显示无间断的灯光。
(b) 左二面角 (L)由两个相交的垂直平面组成,当沿着飞机纵轴向前看时,一个平面与飞机纵轴平行,而另一个向左偏离第一个平面110度。
(c) 右二面角(R)由两个相交的垂直平面组成,当沿着飞机纵轴向前看时,一个平面与飞机纵轴平行,而另一个向右偏离第一个平面110度。
(d) 后二面角(A)由两个相交的垂直平面组成,当沿着飞机纵轴向后看时,这两个平面分别向左、向右偏离通过飞机纵轴的垂直平面各70度。
(e) 如果根据第25.1385(c)条尽可能向后安装的后航行灯,在本条(d)所定义的二面角A内不能显示出无间断的灯光,则在该二面角内允许有一个或几个被遮蔽的立体角,但其总和在下述圆锥体内不得超过0.04球面度,该圆锥体以后航行灯为顶点,母线与通过后航行灯的垂直线成30度夹角。
〔交通运输部2016年3月17日第四次修订〕
第25.1389条 航行灯灯光分布和光强
(a) 总则 本条规定的光强必须用装有灯罩和滤色镜的新灯来测定。光强测定必须在光源发光达到稳定值后进行(该稳定值指光源在飞机正常工作电压时的平均输出光通)。每一航行灯灯光分布和光强必须满足本条(b)的要求。
(b) 前、后航行灯 前、后航行灯灯光分布和光强必须以左、右和后二面角范围内水平平面内的最小光强、任一垂直平面内的最小光强和最大掺入光强表示,且必须满足下列要求:
(1) 水平平面内的光强 水平平面(包含飞机纵轴并垂直于飞机对称平面的平面)内各范围的光强必须等于或大于第25.1391条规定的相应值;
(2) 任一垂直平面内的光强 任一垂直平面(垂直于水平平面的平面)内各范围的光强必须等于或大于第25.1393条规定的相应值,其中,I为第25.1391条中规定的该水平平面内相应角度的最小光强;
(3) 相邻光源间的掺入光强 相邻光源间的任何掺入光强均不得超过第25.1395条中规定的相应值,但是当主光束的光强远大于第25.1391条和第25.1393条中规定的最小值时,如果与主光束光强相比,掺入光强对主光源清晰度无不利影响,则可允许有更大的掺入光强,当前航行灯光强峰值大于100坎时,如果A区内的掺入光强不大于航行灯光强峰值的10%,B区内的掺入光强不大于航行灯光强峰值的2.5%,则前航行灯之间的掺入光强最大值可以超过第25.1395条中规定的相应值。
第25.1391条 前、后航行灯水平平面内的最小光强
每个航行灯的光强必须等于或大于下表规定的相应值:
第25.1393条 前、后航行灯任一垂直平面内的最小光强
每个航灯的光强必须等于或大于下表规定的相应值:
〔交通运输部2016年3月17日第四次修订〕
第25.1395条前、后航行灯的最大掺入光强
除第25.1389(b)(3)条规定者外,航行灯掺入光强均不得超过下表规定的相应值:
表中:
(a) A区包括在相邻的二面角内通过光源并与共同边界面相交成大于10°但小于20°角的所有方向;
(b) B区包括在相邻的二面角内通过光源并与共同边界面相交成大于20°角的所有方向。
第25.1397条 航行灯颜色规格
每一航行灯的颜色必须具有国际照明委员会规定的下列相应色度坐标值:
(a) 航空红色
“y”不大于0.335;
“z”不大于0.002。
(b) 航空绿色
“x”不大于0.440-0.320y;
“x”不大于y-0.170;
“y”不小于0.390-0.170x。
(c) 航空白色
“x”不小于0.300且不大于0.540;
“y”不小于“x-0.040”或“yo-0.010”,取小者;
“y”不大于“x+0.020”,也不大于“0.636-0.400x”;
其中,“yo”为普朗克幅射器相对于所论“x”值的“y”坐标值。
第25.1399条 停泊灯
(a) 水上飞机或水陆两用飞机所需要的每个停泊灯的安装必须符合下列规定:
(1) 在大气洁净的夜间至少能够在2海里的距离内显示白光;
(2) 当该飞机在水上停泊或漂泊时,应尽可能显示最大无间断的灯光。
(b) 可以使用外部吊灯。
第25.1401条 防撞灯系统
(a) 总则 飞机必须具有满足下列要求的防撞灯系统:
(1) 由一个或几个经批准的防撞灯组成,其安装部位应使其发射的光线不影响机组的视觉,也不损害航行灯的明显性;
(2) 满足本条(b)至(f)的要求。
(b) 作用范围 该系统必须有足够数量的灯,以照亮飞机周围重要的区域(从飞机的外部形态和飞行特性考虑)。其作用范围必须至少达到飞机水平平面上、下各75度范围内的所有方向,但向后绕飞机纵轴等于0.15球面度的立体角内,允许有一个或几个被遮蔽的立体角,其总和不得超过0.03球面度。
(c) 闪光特性 该系统的布局,即光源数目、光束宽度、旋转速度以及其它特性,必须给出40至100次/分的有效闪光频率,有效闪光频率指从远处看到的整个飞机防撞灯系统的闪光频率。当系统有一个以上的光源时,对有效闪光频率的规定也适用于有重迭部分的灯光区。在重迭区内,闪光频率可以超过100次/分,但不得超过180次/分。
(d) 颜色 防撞灯必须为航空红色或航空白色,且必须满足第25.1397条的有关要求。
(e) 光强 装上红色滤色镜(如使用时)测定并以“有效”光强表示的所有垂直平面内的最小光强,必须满足本条(f)的要求。必须采用下列关系式:

式中:
Ie为有效光强(坎德位);
I(t)为作为时间的函数的瞬时光强;
t2-t1为闪光持续时间(秒)。
通常,选择t2和t1使有效光强等于t2和t1时的瞬时光强,即可得到有效光强的最大值。
(f) 防撞灯的最小有效光强 每个防撞灯的有效光强必须等于或大于下表规定的相应值:
第25.1403条 机翼探冰灯
除非使用限制规定在已知或预报有结冰条件下禁止作夜间飞行,否则必须有措施来照亮或以其它方式确定机翼临界部位(从积冰观点考虑)的冰聚积情况。所采用的照明方式必须不会产生妨碍机组成员执行其任务的眩光或反光。
安全设备
第25.1411条 总则
(a) 可达性 机组应急使用的安全设备必须易于接近。
(b) 存放设施 必须备有存放所需应急设备的设施,该存放设施必须满足下列要求:
(1) 布置得使应急设备可以直接取用,而且其位置明显易见;
(2) 能保护安全设备免受无意中的损坏。
(c) 应急出口离机设备 第25.810(a)条要求的应急出口离机设备的存放设施,必须设置在规定使用这些设备的每个应急出口处。
(d) 救生筏
(1) 第25.1415条所述救生筏的存放设施,必须能够存放足够数量的救生筏,以容纳对于申请水上迫降合格审定的最大乘员数目;
(2) 救生筏必须存放在出口附近,在意外水上迫降时能够通过该出口投出救生筏;
(3) 自动地或遥控地投到机外的救生筏,必须用第25.1415条规定的固定绳连接在飞机上;
(4) 每一手提式救生筏的存放设施必须使救生筏能够迅速解脱,带往非原定的出口处使用。
(e) 远距信号发射装置 第25.1415条要求的远距信号装置的存放设施,必须靠近意外水上迫降时可以使用的出口处。
(f) 救生衣存放设施 第25.1415条规定的救生衣存放设施必须根据申请水上迫降合格审定的乘员总数,能为每个乘员存放一件救生衣,每件救生衣必须存放在每个就座的乘员易取的部位。
(g) 救生绳存放设施 如果按第25.801条规定申请水上迫降合格审定,则必须备有存放救生绳的设施。对这些设施规定如下:
(1) 能够在机身两侧各系一根救生绳;
(2) 布置得使乘员在水上迫降后,能依靠这些救生绳暂留在机翼上。
〔中国民用航空总局1995年12月18日第二次修订,交通运输部2016年3月17日第四次修订〕
第25.1413条 [删除]
〔中国民用航空总局1995年12月18日第二次修订〕
第25.1415条 水上迫降设备
(a) 根据第25.801条规定申请水上迫降合格审定的飞机所用的以及中国民用航空局有关营运规定要求的水上迫降设备,必须满足本条要求。
(b) 救生筏和救生衣必须经过批准。此外,还应符合下列规定:
(1) 除非备有足够容量的多余救生筏,否则在额定容量最大的一只救生筏一旦损失时,其余救生筏的浮力和超额装载容量,必须能容纳机上全部乘员;
(2) 每只救生筏必须带有一根拖曳绳和一根固定绳。固定绳要设计成能把救生筏系留在飞机附近,而在飞机完全沉入水中时又能脱开。
(c) 每只救生筏上必须备有经批准的营救设备。
(d) 其中一只救生筏上必须有一台经批准的营救型应急定位发射机供使用。
(e) 飞机未按第25.801条水上迫降的规定来作合格审定,又无经批准的救生衣时,必须为每个乘员提供经批准的漂浮装置。此种漂浮装置必须放在每个就座的乘员易取的部位,而且必须能很快从飞机上取下。
〔中国民用航空总局1995年12月18日第二次修订〕
第25.1416条 [删除]
〔中国民用航空总局1995年12月18日第二次修订〕
第25.1419条 防冰
如果申请结冰条件下的飞行验证,飞机必须能在附录C确定的连续和间断的最大结冰状态下安全运行。为确认这一点,采用下列验证方法:
(a) 必须通过分析确认,飞机在各种运行形态下其各种部件的防冰是足够的。
(b) 为了验证防冰分析结果,检验各种结冰异常情况,演示防冰系统及其部件的有效性,必须对飞机或其部件在各种运行形态和经测定的自然大气结冰条件下进行飞行试验,而且在必要时,还应采用下列一种或几种方法进行验证:
(1) 对部件或部件的模型进行实验室干燥空气试验或模拟结冰试验,或两者的组合;
(2) 对整个防冰系统或单独对系统部件在干燥空气中进行飞行试验;
(3) 对飞机或飞机部件在测定的模拟结冰条件下进行飞行试验。
(c) 当防冰或除冰系统的功能不正常时,必须有琥珀色戒备灯或等效的戒备信息向机组报警。
(d) 对涡轮发动机飞机,本条的防冰规定可视为主要适用于机体。至于动力装置的安装,可以认为本部E分部中的某些附加规定是适用的。
〔中国民用航空总局1995年12月18日第二次修订,交通运输部2016年3月17日第四次修订〕
第25.1421条 扩音器
如果装有扩音器,必须有固定措施,在扩音器受到第25.561(b)(3) 条规定的极限惯性力时能够将其固定住。
第25.1423条 机内广播系统
中国民用航空局有关规定要求的机内广播系统必须满足以下要求:
(a) 当飞机在飞行中或地面停放时,当所有发动机和辅助动力装置关车或失效后,或者依靠发动机和辅助动力装置连续工作的所有电源断开或失效后,仍然能够按下列时间要求向机内广播系统供电:
(1) 在与机内广播系统使用同一电源的所有其它用电设备继续被供电,而所有其它电源均不工作的情况下,至少连续工作10分钟时间,其中由飞行机组成员和客舱机组成员发布通告的累计时间至少为5分钟;和
(2) 还须加上机内广播系统处于准备状态所需的时间,或者由同一电源供电和安全飞行必不可少的或应急情况下必需的任何其它用电设备所需的供电时间。
(b) 能够在话筒从存储箱中取出3秒内开始工作。
(c) 能被所有在旅客座位上、厕所内、空中服务员座位上和工作位置处的人员听明白。
(d) 使系统设计成不会因话筒不使用、未收存的影响而不能工作。
(e) 能独立工作而与任何必要的机组机内通话系统无关。
(f) 能从驾驶舱两个飞行机组成员工作位置中任一处直接取用。
(g) 对于每一个和空中服务员座位邻近的、所要求的与地板齐平的旅客应急出口,应设置一个使坐着的空中服务员易于取用的话筒,若出口之间非常接近,当坐着的空中服务员能够直接口头联系时,一个话筒也可供一个以上的出口使用。
〔中国民用航空总局1995年12月18日第二次修订,交通运输部2016年3月17日第四次修订〕
其它设备
第25.1431条 电子设备
(a) 在表明无线电和电子设备及其安装符合第25.1309(a)和(b)条的要求时,必须考虑临界环境条件。
(b) 无线电和电子设备的供电必须按照第25.1355(c)条的要求。
(c) 无线电和电子设备、控制装置和导线,必须安装成在任一部件或系统工作时,对中国民用航空规章所要求的任何其它无线电和电子部件或系统的同时工作不会有不利影响。
(d) 电子设备必须被设计和安装成当由于电源供电瞬变或其他原因产生的瞬变时不会导致重要负载不工作。
〔交通运输部2016年3月17日第四次修订〕
第25.1433条 真空系统
除了正常的释压以外,还必须有措施能在输出空气温度变为不安全时,自动地释放真空泵排气管路中的压力。
〔中国民用航空总局1995年12月18日第二次修订〕
第25.1435条 液压系统
(a) 元件设计。液压系统的每个元件,必须设计成:
(1) 能承受测试压力而不产生妨碍其预定功能的永久变形,而且能承受极限压力而不断裂。测试压力和极限压力由设计使用压力(DOP)作如下定义:
(2) 能承受设计使用压力和作用于其上的结构限制载荷而不产生妨碍其预定功能的变形。
(3) 能无损坏地承受1.5倍的设计工作压力与合理地可能同时产生的结构极限载荷的组合载荷。
(4) 能承担包括瞬态的和相关外部诱导载荷的所有循环压力的疲劳效应,同时需考虑元件失效的后果。
(5) 能够在飞机预定的所有环境条件下工作。
(b) 系统设计。每一个液压系统必须:
(1) 在以下情况下,具有位于机组成员工作位置的说明系统的合适参数的措施:
(i) 执行为持续安全飞行和着陆的必要功能;或者
(ii) 在液压系统失效的情况下,机组必须为保证持续安全飞行和着陆采取必要的纠正措施;
(2) 具有确保系统压力在每个元件的设计容量之内的措施,满足第25.1435条(a)(1)到(a)(5)的要求。系统压力包括瞬时压力和由于元件内流体体积变化造成的压力,该元件能够在变化发生时保持密闭足够长的时间;
(3) 具有措施确保在飞行中尽可能少的释放有害或危险浓度的液压液体或蒸气进入到驾驶舱和客舱;
(4) 如果使用了可燃性的液压流体,需要达到第25.863条、第25.1183条、第25.1185条和第25.1189条的应用要求;
(5) 设计中使用飞机制造商指定的液压流体,该流体必须具有满足第25.1541条要求的合适的标牌加以识别。
(c) 试验。必须进行液压系统和(或)子系统及元件的试验,除非进行可靠和适当的分析能够替代或完善试验。所有内部和外部因素都应被考虑并评估其影响,确保可靠的系统和元件的功能和完整性。元件或系统的失效或不可接受的缺陷都必须纠正,必要时要进行充分的重新试验。
(1) 系统、子系统或元件必须满足代表地面和飞行使用中的性能、疲劳和耐久性的试验。
(2) 完整系统必须进行包括在相关失效条件下模拟在内的试验以确定其合适的性能和与其它系统的关系,并证明或验证元件的设计。
(3) 完整液压系统必须在飞机正常的所有相关用户系统运行的操作状态下进行功能试验。试验必须在系统释压状态下或在系统压力释放装置不是系统一部分的情况下在1.25DOP状态下实施。液压系统和其它系统或结构元件之间的间隙必须充分且对系统或元件没有不利影响。
〔中国民用航空总局1995年12月18日第二次修订,交通运输部2016年3月17日第四次修订〕
第25.1438条 增压系统和气动系统
(a) 增压系统元件必须分别进行压力值为最大正常工作压力2倍的破坏压力试验和1.5倍的验证压力试验。
(b) 气动系统元件必须分别进行压力值为最大正常工作压力3倍的破坏压力试验和1.5倍的验证压力试验。
(c) 可以用分析或分析和试验相结合的方法,来代替本条(a)或(b)要求的各项试验,条件是适航当局认为该方法与所要求的试验等效。
第25.1439条 防护性呼吸设备
(a) 必须装有固定的(固定的或内建的)防护性呼吸设备供飞行机组使用,并且至少有一个便携的防护性呼吸设备位于驾驶舱或驾驶舱附近,供飞行机组成员使用。而且,必须装有便携的防护性呼吸设备,供相应的机组成员使用,用于在飞行中可接近的非驾驶舱的舱中进行救火。这包括在飞行中允许有机组成员的单独隔舱和上下厨房。必须按照在任何运行情况下该区域内预计会有的机组成员最多人数来安装设备。
(b) 对于本条(a)或中国民用航空规章任何营运规则所要求的防护性呼吸设备,采用下列规定:
(1) 防护性呼吸设备的设计,必须保护飞行机组在驾驶舱执勤和货舱灭火时不受烟、二氧化碳和其它有害气体的影响;
(2) 防护性呼吸设备必须含有下列任一种面罩:
(i) 盖住眼、鼻和嘴的面罩;
(ii) 盖住鼻、嘴的面罩,另加保护眼睛的附属设备。
(3) 包括便携设备的设备在使用过程中必须能够与其他机组成员通信。飞行机组必须能在其指定位置上使用无线电设备;
(4) 防护性呼吸设备保护眼睛的部分,不得对视觉有明显的不利影响,还必须允许佩戴矫正视力的眼镜;
(5) 在2,400米(8,000英尺)压力高度下,在BTPD状态下每分钟呼吸30升,该设备必须能向每名机组成员持续输送15分钟用氧量。该设备和系统必须被设计成,能够防止任何向设备内部的向内泄漏和防止任何引起当地周围大气的氧气含量显著增加的向外泄漏。如果采用肺式供氧系统,则在21℃(70oF)和101,325帕(760毫米汞柱)压力下能供300升自由氧,即认为能在规定高度和分钟量条件下持续供氧15分钟。如果采用连续供氧防护性呼吸系统,则在2,400米(8,000英尺)时氧气流量为每分钟60升(海平面为每分钟45升),并且在21℃(70oF)和101,325帕(760毫米汞柱)压力下能供600升自由氧,即认为能在规定高度和分钟量条件下持续供氧15分钟。连续供氧系统不得使得本地大气的周围氧气含量超过肺式系统的氧气含量。BTPD指体温条件(即在周围压力干燥环境下为37℃)。
(6) 防护性呼吸设备必须满足第25.1441条的要求。
〔交通运输部2016年3月17日第四次修订〕
第25.1441条 氧气设备和供氧
(a) 如果申请装有补氧设备的合格审定,则该设备必须满足本条和第25.1443条至第25.1453条的要求。
(b) 氧气系统本身、其使用方法以及对其它部件的影响必须均无危险性。
(c) 必须具有使机组在飞行中能迅速确定每个供氧源可用氧量的装置。
(d) 如果飞机按在12,000米(40,000英尺)以上运行申请合格审定,则其氧气流量和氧气设备必须经过批准。
第25.1443条 最小补氧流量
(a) 如果装有飞行机组成员使用的连续供氧设备,则每分钟呼吸15升(BTPS,即体内温度37℃,周围压力及饱和水气),且(保持固定呼吸时间间隔的) 最大潮气量为700毫升时,每一机组成员所需的最小补氧流量,不得小于保持吸气平均气管氧分压为19,865帕(149毫米汞柱)所需的氧流量。
(b) 如果装有飞行机组成员使用的肺式供氧设备,则每分钟呼吸20升(BTPS)时,每一机组成员所需的最小补氧流量,座舱压力高度低于和等于10,500米(35,000英尺)时,不得小于保持吸气平均气管氧分压为16,265帕(122毫米汞柱)所需的氧流量;座舱压力高度在10,500米至12,000米(35,000至40,000英尺)之间时,不得小于保持含氧百分比为95所需的氧流量。此外,必须具有可供机组成员选用纯氧的手段。
(c) 对于旅客和客舱服务员,在不同的座舱压力高度上每人所需的最小补氧流量,不得小于在使用氧气设备(包括面罩)时保持下述吸气平均气管氧分压所需的氧流量:
(1) 座舱压力高度超过3,000米(10,000英尺)直到5,600米(18,500英尺),每分钟呼吸15升(BTPS),且(保持固定呼吸时间间隔的)潮气量为700毫升时,平均气管氧分压为13,332帕(100毫米汞柱);
(2) 座舱压力高度超过5,600米(18,500英尺)直至12,000米(40,000英尺),每分钟呼吸30升(BTPS),且(保持固定呼吸时间间隔的)潮气量为1,100毫升时,平均气管氧分压为11,172帕(83.8毫米汞柱)。
(d) 如果装有急救供氧设备,则供每人使用的最小氧流量每分钟不得少于4升(STPD,即标准状态:0℃,101,325帕(760毫米汞柱),干燥气体)。然而,可使用某种手段在任何座舱高度下将每分钟氧流量减到不少于2升(STPD),以急救用氧者每人每分钟3升的平均氧流量为依据来确定需用氧量。
(e) 如果装有供机组成员使用的手提式氧气设备,则最小补氧流量与本条(a)或(b)规定的相同,取适用者。
第25.1445条 氧气分配系统设置的规定
(a) 当向机组和旅客均供氧时,分配系统必须按下列两种方式之一进行设计:
(1) 一个氧源供给值勤的飞行机组,另用单独的氧源供给旅客和其他机组成员;
(2) 共用一个氧源,但是应有设施能为值勤的飞行机组单独保留所需的最小用氧量。
(b) 手提的连续供氧式、稀释肺式或纯氧肺式供氧装置均可用来满足机组或旅客呼吸的要求。
第25.1447条 分氧装置设置的规定
如果装有分氧装置,则采用下列规定:
(a) 每一需要补氧的乘员必须有各自的分氧装置,分氧装置必须设计成能盖住口鼻,并且必须具有合适的手段将其保持在面部,飞行机组的补氧面罩必须备有使用通话器的设施;
(b) 如果申请运行高度低于和等于7,600米(25,000英尺)的合格审定,则供每一机组成员立即使用的供氧接头和分氧设备,必须位于易取处,其他乘员所用的供氧接头和分氧设备,必须设置在能够满足中国民用航空规章营运规则的要求来使用氧气的位置上;
(c) 如果申请运行高度超过7,600米(25,000英尺)的合格审定,则必须有符合下列规定的分氧设备:
(1) 必须有接在供氧接头上可供每个乘员就座时立即使用的分氧装置,并且在每个厕所至少要有两个接在供氧接头上的分氧装置。分氧装置和供氧口的总数必须比座位数至少多10%,多余的分氧装置必须尽可能均匀地分布在整个座舱内。如果申请运行高度超过9,000米(30,000英尺)的合格审定,则提供所需氧流量的分氧装置必须在座舱压力高度超过4,500米(15,000英尺)之前自动送达乘员处,并且必须为机组设置手动装置,在自动系统失效时能使分氧装置立即可供使用;
(2) 在驾驶舱内值勤的每一飞行机组成员,必须拥有连接至供氧接头的速戴型分氧装置,且必须当机组成员坐在自己工作位置上时可以立即取用,该分氧装置的设计与安装应满足下列要求:
(i) 能用单手在五秒钟内把分氧装置从其待用位置上取下戴到脸上,正确地固定好,密封妥当并按需要供氧,而不碰掉眼镜或延误执行应急任务;
(ii) 在戴上分氧装置时,能够完成正常的通信联络任务;
(3) 飞行机组的分氧装置必须是:
(i) 飞机在7,600米(25,000英尺)以上飞行时,稀释肺式、压力肺式(有一个稀释肺式压力呼吸调节器的压力肺式面罩)或其它经批准的能表明其提供有相同保护水平的氧气设备;
(ii) 如果不是概率极不可能的释压会使机组处于座舱压力高度超过10,200米(34,000英尺)时,面罩装有调节器的压力肺式(有一个稀释肺式压力呼吸调节器的压力肺式面罩)类型或其它经批准的能表明可为机组提供相同保护水平的氧气设备;
(4) 手提式供氧设备必须能提供每个客舱服务员立即使用。手提式供氧设备必须有与手提式氧气供应装置相连的氧气分配单元。
〔中国民用航空总局2001年5月14日第三次修订,交通运输部2016年3月17日第四次修订〕
第25.1449条 判断供氧的措施
必须设置使机组能够判定是否正在向分氧装置供氧的措施。
第25.1450条 化学氧气发生器
(a) 本条所述的化学氧气发生器定义为通过化学反应产生氧气的装置。
(b) 化学氧气发生器必须按照下列要求进行设计和安装:
(1) 发生器在工作时所产生的表面温度,不得对飞机或机上乘员造成危害;
(2) 必须备有释放可能有危险的内部压力的措施。
(c) 除了满足本条(b)的要求外,能靠更换发生器元件连续工作的携带式化学氧气发生器,还必须附有标牌来说明下列事项:
(1) 氧气流量(升/分);
(2) 可更换的发生器元件的持续供氧时间(分钟);
(3) 警告可更换的发生器元件可能发热,除非元件的构造使其表面温度不会超过38℃(100°F)。
第25.1451条 [删除]
〔中国民用航空总局1995年12月18日第二次修订〕
第25.1453条 防止氧气设备破裂的规定
加压氧气瓶和氧气瓶与切断阀之间的管路必须满足下列要求:
(a) 对不安全的温度应有防护措施;
(b) 其位置应使撞损着陆时破裂的概率和危险减至最小。
第25.1455条 易冻液体的排放
如果在飞行中或地面运行时可以将易冻液体排出机外,则排放嘴的设计和位置必须防止由于排液而在飞机上结成危险量的冰。
第25.1457条 驾驶舱录音机
(a) 中国民用航空规章营运规则所要求的每台驾驶舱录音机必须经过批准,并且其安装必须能够记录下列信息:
(1) 通过无线电在飞机上发出或收到的通话;
(2) 驾驶舱内飞行机组成员的对话;
(3) 驾驶舱内飞行机组成员使用飞机内话系统时的通话;
(4) 进入耳机或扬声器中的导航或进场设备的通话或音频识别信号;
(5) 飞行机组成员使用旅客广播系统时的通话(如果装有旅客广播系统,并根据本条(c)(4)(ii)的要求有第四通道可用);
(6) 如果安装了数据链通信设备,那么所有数据链通信,应使用经批准的数据信息集。数据链信息必须作为通信设备的输出信号被记录,该通信设备可将信号转换为可用数据。
(b) 必须在驾驶舱内安装一只区域话筒来满足本条(a)(2)的记录要求。话简要安装在最佳位置,能够记录正、副驾驶员工作位置上进行的对话,以及记录驾驶舱内其他机组成员面向正、副驾驶员工作位置时的对话,话筒的定位必须使得在飞行中驾驶舱噪声条件下所记录和重放的录音通信的可懂度尽可能高,如有必要,应对录音机的前置放大器和滤波器进行调整或补偿。评价可懂度时可以把记录反复重放,用听觉或目视来判断。
(c) 每台驾驶舱录音机的安装必须将本条(a)规定的通话或音频信号根据不同声源分别录在下列通道上:
(1) 第一通道,来自正驾驶员工作位置上的每个吊杆式、氧气面罩式或手持式话筒、耳机或扬声器;
(2) 第二通道,来自副驾驶员工作位置上的每个吊杆式、氧气面罩式或手持式话筒、耳机或扬声器;
(3) 第三通道,来自安装在驾驶舱内的区域话筒;
(4) 第四通道:
(i) 来自第三和第四名机组成员工作位置上的每个吊杆式、氧气面罩式或手持式话筒、耳机或扬声器;
(ii) 来自驾驶舱内与旅客广播系统一起使用的每个话筒,如果此信号未被别的通道所拾取(条件是不要求配置本条(c)(4)(i)中规定的工作位置,或该工作位置的信号由另一通道所拾取);
(5) 不论机内通话话筒按键开关处于何种位置,必须将本条(c)(1)、(2)和(4)所述的话筒接收到的所有声音尽可能不间断地记录下来。该设计必须保证只有在使用机内通话机、乘客广播系统或无线电发送机时才会对飞行机组产生侧音。
(d) 每台驾驶舱录音机的安装必须符合下列规定:
(1)(i) 其供电应来自对驾驶舱录音机的工作最为可靠的汇流条,而不危及对重要负载或应急负载的供电;
(ii) 驾驶舱录音机必须尽可能长时间地保持电力,又不危及飞机的应急操作。
(2) 应备有自动装置,在撞损冲击后10分钟内,能使录音机停止工作并停止各抹音装置的功能;
(3) 应备有音响或目视装置,能在飞行前检查录音机工作是否正常;
(4) 任何记录器以外的单一电气故障,不能使驾驶舱录音机和飞行记录器停止工作;
(5) 具有符合以下要求的独立的电源:
(i) 提供10±1分钟的电源支持驾驶舱录音机和安装在驾驶舱的区域话筒;
(ii) 安装位置尽可能靠近驾驶舱录音机;和
(iii) 如果发生了驾驶舱录音机的所有其它电源由于正常关闭或任何其它电气汇流条的电源丢失引起的中断,驾驶舱录音机和座舱安装的区域话筒能够自动开启;和
(6) 当两者都要求时,应当与飞行记录器分开放置在单独的容器中;如果只用于符合驾驶舱录音机的要求,可以安装一个组合装置。
(e) 记录容器的位置和安装,必须能将坠撞冲击使该容器破裂,以及随之起火而毁坏记录的概率减至最小。
(1) 除了本条(e)(2)的规定,记录器容器必须尽可能安装在后部,但不必装在增压舱之外,不得装在冲击时尾吊发动机可能撞坏容器的部位。
(2) 如果安装了两个独立的数字飞行记录器和驾驶舱录音机组合装置,代替一个驾驶舱录音机和一个数字飞行记录器,已安装的符合驾驶舱录音机要求的组合装置,可放置在驾驶舱附近。
(f) 如果驾驶舱录音机装有抹音装置,其安装设计必须使误动的概率以及在撞损冲击时抹音装置工作的概率减至最小。
(g) 每个记录容器必须符合下列规定:
(1) 外观为鲜橙色或鲜黄色;
(2) 在其外表面固定有反射条,以利于发现它在水下的位置;
(3) 当中国民用航空规章的营运规则有要求时,在容器上装有或联有水下定位装置,其固定方式要保证在撞损冲击时不大可能分离。
〔中国民用航空总局1990年7月18日第一次修订,交通运输部2016年3月17日第四次修订〕
第25.1459条 飞行记录器
(a) 中国民用航空规章营运规则所要求的每一飞行记录器的安装必须满足下列要求:
(1) 飞行记录器应获得空速、高度和航向数据,数据的来源符合第25.1323条、第25.1325条和第25.1327条中相应的精度要求;
(2) 垂直加速度传感器应刚性固定,其纵向位置在批准的飞机重心范围之内,或在这一范围前或后不超过飞机平均气动力弦25%处;
(3)(i) 其供电应来自对飞行记录器的工作最为可靠的汇流条,而不危及对重要负载或应急负载的供电;
(ii) 飞行记录器必须尽可能长时间地保持电力,又不危及飞机的应急操作。
(4) 应备有音响或目视装置,能在飞行前检查记录器是否正常在储存装置中记录数据。
(5) 除了由发动机驱动的发电机系统单独供电的记录器外,应备有自动装置,在撞损冲击后10分钟内,能使具有数据抹除装置的记录器停止工作并停止各抹除装置的功能;
(6) 应备有记录下述信息的手段,能够由该信息来确定同空中交通管制中心进行每一次无线电联络的时间;
(7) 任何记录器以外的单一电气故障,不能使驾驶舱录音机和飞行记录器停止工作;且
(8) 当两者都要求时,应当与驾驶舱录音机分开放置在单独的容器中;如果只用于符合飞行记录器的要求,可以安装一个组合装置。如果安装一个组合装置是为了驾驶舱录音机符合25.1457(e)(2)条,那么组合装置必须符合本飞行记录器的要求。
(b) 每个非弹出式记录器容器的位置和安装必须能将撞损冲击使该容器破裂,以及随之起火而毁坏记录的概率减至最小。为满足这一要求,该容器必须尽可能安装在后部,但不得装在冲击时尾吊发动机可能撞坏容器的部位(不必装在增压舱之后)。
(c) 必须确定飞行记录器的空速、高度和航向读数同正驾驶员仪表上相应读数(考虑修正系数)之间的相互关系,此关系必须覆盖飞机飞行的空速范围、飞机的高度限制范围和360°航向范围,相互关系可在地面上用合适的方法确定。
(d) 每个记录容器必须符合下列规定:
(1) 外观为鲜橙色或鲜黄色;
(2) 在其外表面固定有反射条,以利于发现它在水下的位置;
(3) 当中国民用航空规章的营运规则有要求时,在容器上装有或联有水下定位装置,其固定方式要保证在撞损冲击时不大可能分离。
(e) 应对飞机的任何新颖或独持的设计或使用特性进行评价,以决定是否有专用参数必须记录在飞行记录器上以增加或代替现有要求。
〔中国民用航空总局1990年7月18日第一次修订,交通运输部2016年3月17日第四次修订〕
第25.1461条 含高能转子的设备
(a) 含高能转子的设备必须符合本条(b)或(c),或(d)的规定。
(b) 设备中的高能转子必须能承受因故障、振动、异常速度和异常温度引起的损伤。此外,还要满足下列要求:
(1) 辅助转子机匣必须能包容住高能转子叶片破坏所引起的损伤;
(2) 设备控制装置、系统和仪表设备必须合理地保证,在服役中不会超过影响高能转子完整性的使用限制。
(c) 必须通过试验表明,含高能转子的设备能包容住高能转子在最高速度下发生的任何破坏(当正常的速度控制装置不工作时能达到的最高速度)。
(d) 含高能转子的设备必须安装在转子破坏时既不会危及乘员,也不会对继续安全飞行有不利影响的部位。
G分部 使用限制和资料
第25.1501条 总则
(a) 必须制定第25.1503条至第25.1533条所规定的每项使用限制以及为安全运行所必需的其它限制和资料。
(b) 必须按第25.1541条至第25.1587条的规定,使这些使用限制和为安全运行所必需的其它资料可供机组人员使用。
使用限制
第25.1503条 空速限制:总则
当空速限制是重量、重量分布、高度或M数的函数时,必须制定与这些因素的每种临界组合相应的限制。
第25.1505条 最大使用限制速度
最大使用限制速度(VMO/MMO—空速或M数,在特定高度取其临界者)指在任何飞行状态(爬升、巡航或下降)下,都不得故意超过的速度,但在试飞或驾驶员训练飞行中,经批准可以使用更大的速度。VMO/MMO必须制定成不高于设计巡航速度VC,并充分低于VD/MD或VDF/MDF,使得飞行中很不可能无意中超过后一速度。VMO/MMO与VD/MD或VDF/MDF,之间的速度余量不得小于按第25.335(b)条确定的余量,或按第25.253条进行试飞时认为是必需的余量。
〔交通运输部2016年3月17日第四次修订〕
第25.1507条 机动速度
必须制定机动速度。该速度不得超过按第25.335(c)条确定的设计机动速度VA。
第25.1511条 襟翼展态速度
必须制定对应于各襟翼位置和发动机功率(推力)的襟翼展态速度VFE。该速度不得超过按第25.335(e)条和第25.345条所选定的设计襟翼速度VF。
第25.1513条 最小操纵速度
必须将按第25.149条确定的最小操纵速度VMC制定为使用限制。
第25.1515条 有关起落架的速度
(a) 所制定的起落架收放速度VLO,不得超过按第25.729条和由飞行特性所确定的安全收、放起落架的飞行速度。如果放起落架的飞行速度和收起落架的速度不同,则必须将这两种速度分别标为VLO(EXT)和VLO(RET)。
(b) 所制定的起落架伸态速度VLE,不得超过起落架锁定在完全放下位置时能安全飞行的速度和按第25.729条确定的速度。
第25.1516条 其它速度限制
必须制定与速度相关的其它限制条款。
〔交通运输部2016年3月17日第四次修订〕
第25.1517条 颠簸气流速度,VRA
必须建立颠簸气流速度VRA,作为第25.1585(a)(8)条所要求的紊流穿越空速的建议值,该值必须:
(1) 不大于确定VB时最大突风强度下的设计空速,并且
(2) 不小于第25.335(d)条确定的VB最小值,并且
(3) 充分小于VMO,以确保在遭遇紊流时很可能发生的空速改变不会导致过速警告的频繁发生。如果选取其它值缺少合理依据,VRA必须小于VMO-35节(TAS)。
〔中国民用航空总局2001年5月14日第三次修订〕
第25.1519条 重量、重心和载重分布
必须将按第25.23条至第25.27条确定的飞机重量、重心和载重分布的限制制定为使用限制。
第25.1521条 动力装置限制
(a) 总则 必须制定本条规定的动力装置限制,该限制不得超过发动机或螺旋桨型号合格证中的相应限制,也不得超过作为符合本部任何其它要求依据的限制值。
(b) 活塞发动机装置 对活塞发动机装置,必须制定与下列参数有关的使用限制:
(1) 在临界压力高度和海平面压力高度下并在下述功率下的马力或扭矩、转速、进气压力和持续时间:
(i) 最大连续功率(根据适用情况,相应于非增压工作状态或每一种增压工作状态);
(ii) 起飞功率(根据适用情况,相应于非增压工作状态或每一种增压工作状态);
(2) 燃油品级或规格;
(3) 汽缸头温度和滑油温度;
(4) 其限制值已定为发动机型号合格证构成部分的任一其它参数,但对于因装置的设计或其它规定限制而不会在正常工作期间超过的参数,则不必制定限制值。
(c) 涡轮发动机装置 对涡轮发动机装置,必须制定与下列参数有关的使用限制:
(1) 在下述功率下的发动机马力、扭矩或推力、转速、燃气温度和持续时间:
(i) 最大连续功率或推力(根据适用情况,相应于加力或非加力工作状态);
(ii) 起飞功率或推力(根据适用情况,相应于加力或非加力工作状态);
(2) 燃油牌号或规格;
(3) 其限制值已定为发动机型号合格证构成部分的任一其它参数,但对于因装置的设计或其它规定限制而不会在正常工作期间超过的参数,则不必制定限制值。
(d) 周围温度 必须制定周围温度限制(如装有防寒装置,包括对该装置的限制),其值为按照第25.1043(b)条制定的最高周围大气温度。
〔中国民用航空总局1995年12月18日第二次修订〕
第25.1522条 辅助动力装置限制
如果飞机上装有辅助动力装置,必须将为辅助动力装置制定的各项限制,包括使用类别,规定为飞机的使用限制。
第25.1523条 最小飞行机组
必须考虑下列因素来规定最小飞行机组,使其足以保证安全运行:
(a) 每个机组成员的工作量;
(b) 有关机组成员对必需的操纵器件的可达性和操作简易性;
(c) 按第25.1525条所核准的运行类型。
附录D阐述了按本条要求确定最小飞行机组时采用的准则。
第25.1525条 运行类型
飞机限用的运行类型按其适航审定所属类别及所装设备来制定。
第25.1527条 周围大气温度和使用高度
必须制定受飞行、结构、动力装置、功能或设备的特性限制所允许运行的最大周围大气温度和最大高度。
〔交通运输部2016年3月17日第四次修订〕
第25.1529条 持续适航文件
申请人必须根据本部附录H编制适航当局可接受的持续适航文件。如果有计划保证在交付第一架飞机之前或者在颁发标准适航证之前完成这些文件,则这些文件在型号合格审定时可以是不完备的。
第25.1531条 机动飞行载荷系数
必须制定载荷系数限制。该限制不得超过由第25.333(b)条中的机动包线确定的正限制载荷系数。
第25.1533条 附加使用限制
(a) 必须制定下列附加使用限制:
(1) 必须制定最大起飞重量,对于这些重量应表明飞机符合本部有关条款(包括在不同高度和周围温度下满足第25.121(a)至(c)条的起飞爬升的规定);
(2) 必须制定最大着陆重量,对于这些重量应表明飞机符合本部有关条款(包括在不同高度和周围温度下满足第25.119条和第25.121(d)条的着陆爬升和进场爬升的规定);
(3) 必须制定最小起飞距离,对这些距离应表明飞机在平整硬质道面上符合本部的有关条款(包括在不同重量、高度、温度、风分量、跑道道面情况(干、湿道面)和跑道坡度下满足第25.109条和第25.113条的规定)。另外,根据用户申请,对带沟槽或多孔摩擦道面,也可以制定湿跑道起飞距离并得到批准,只要该种道面的设计、建造及维护方法为适航当局所接受。
(b) 各种可变因素(例如高度、温度、风和跑道坡度)的极限值,均指表明飞机符合本部有关条款的极限值。
〔中国民用航空总局1995年12月18日第二次修订,2001年5月14日第三次修订〕
第25.1535条 ETOPS批准
除非第25.3条另有规定,每一个寻求ETOPS型号设计批准的申请人必须符合本部附录K的条款。
〔交通运输部2016年3月17日第四次修订〕
标记和标牌
第25.1541条 总则
(a) 飞机必须装有:
(1) 规定的标记和标牌;
(2) 如果具有不寻常的设计、使用或操纵特性,为安全运行所需的附加的信息、仪表标记和标牌。
(b) 本条(a)中规定的每一标记和标牌必须符合下列要求:
(1) 示于醒目处;
(2) 不易擦去、走样或模糊。
第25.1543条 仪表标记:总则
每一仪表标记必须符合下列要求:
(a) 当标记位于仪表的玻璃罩上时,有使玻璃罩与刻度盘盘面保持正确定位的措施;
(b) 每一仪表标记必须使相应机组人员清晰可见。
〔中国民用航空总局1995年12月18日第二次修订〕
第25.1545条 空速限制信息
第25.1583(a)条所要求的空速限制信息必须为飞行机组易于辨读和理解。
第25.1547条 磁航向指示器
(a) 在磁航向指示器上或其近旁必须装有符合本条要求的标牌。
(b) 标牌必须标明在发动机工作的平飞状态该仪表的校准结果。
(c) 标牌必须说明是在无线电接收机打开还是关闭的情况下进行上述校准。
(d) 每一校准读数必须用增量不大于45°的磁航向角表示。
第25.1549条 动力装置和辅助动力装置仪表
每个需用的动力装置和辅助动力装置仪表,必须根据仪表相应的型别,符合下列要求:
(a) 最大安全使用限制和(如有)最小安全使用限制用红色径向射线或红色直线标示;
(b) 正常使用范围用绿色弧线或绿色直线标示,但不得超过最大和最小安全使用限制;
(c) 起飞和预警范围用黄色弧线或黄色直线标示;
(d) 发动机、辅助动力装置或螺旋桨因振动应力过大而需加以限制的转速范围用红色弧线或红色直线标示。
第25.1551条 滑油油量指示器
滑油油量指示器的标记必须迅速而准确地指示滑油油量。
〔中国民用航空总局1995年12月18日第二次修订〕
第25.1553条 燃油油量表
如果任一油箱的不可用燃油超过3.8升(1美加仑)和该油箱容量的5%中之大者,必须在其油量表上从校准的零读数到平飞姿态下能读得的最小读数用红色弧线标示。
第25.1555条 操纵器件标记
(a) 除飞行主操纵器件和功能显而易见的操纵器件外,必须清晰地标明驾驶舱内每一操纵器件的功能和操作方法。
(b) 每一气动力操纵器件必须按第25.677条和第25.699条的要求来标示。
(c) 对动力装置燃油操纵器件有下列要求:
(1) 必须对燃油箱转换开关的操纵器件作出标记,指明相应于每个油箱的位置和相应于每种实际存在的交叉供油状态的位置;
(2) 为了安全运行,如果要求按特定顺序使用某些油箱,则在此组油箱的转换开关上或其近旁必须标明该顺序;
(3) 每台发动机的每个阀门操纵器件必须作出标记,指明相应于所操纵的发动机的位置。
(d) 对附件、辅助设备和应急装置的操纵器件有下列要求:
(1) 每个应急操纵器件(包括应急放油操纵器件和液流切断操纵器件)必须为红色;
(2) 如果采用可收放起落架,则必须对第25.729(e) 条所要求的每个目视指示器作出标记,以便在任何时候当机轮锁住在收起或放下的极限位置时驾驶员能够判明。
第25.1557条 其它标记和标牌
(a) 行李舱、货舱和配重位置 每个行李舱和货舱以及每一配重位置必须装有标牌,说明按装载要求需要对装载物作出的任何限制,包括重量限制。但设计用来存放重量不超过9公斤(20磅)的随身物品的座席下空间不必设置装载限制标牌。
(b) 动力装置液体加注口 采用以下规定:
(1) 必须在燃油加油口盖上或其近旁作如下标记:
(i) “燃油”字样;
(ii) 最低燃油品级(对活塞发动机);
(iii) 许用燃油牌号(对涡轮发动机);
(iv) 压力加油系统的最大许用加油压力和最大许用抽油压力。
(2) 在滑油加油口盖上或其近旁必须标有“滑油”字样。
(3) 在加力液加注口口盖上或其近旁必须有标出所要求的液体的标记。
(c) 应急出口标牌 每个应急出口标牌必须满足第25.811条的要求。
(d) 门 通往任一所需应急出口的必经之门必须有合适的标牌,说明在起飞和着陆时该门必须闩在打开的位置。
〔中国民用航空总局1995年12月18日第二次修订〕
第25.1561条 安全设备
(a) 每个在应急情况下由机组操作的安全设备操纵器件,例如自动投放救生筏的操纵器件,必须清晰地标明其操作方法。
(b) 装有灭火瓶、信号装置或其它救生设备的位置,例如锁柜或隔间,必须相应作出标记。
(c) 存放所需应急设备的设施必须有醒目的标记,以识别其中存放的设备并便于取用。
(d) 每个救生筏必须有标记明显的使用说明。
(e) 经批准的救生设备必须有识别标记,且必须标出其使用方法。
第25.1563条 空速标牌
必须在每个驾驶员的清晰视界内安装标有襟翼在起飞、进场和着陆位置时最大空速的标牌。
飞机飞行手册
第25.1581条 总则
(a) 应提供的资料 必须为每架飞机提供飞机飞行手册。该手册必须包含以下内容:
(1) 第25.1583条至第25.1587条要求的资料;
(2) 由于设计、使用或操作特性而为安全运行所必需的其它资料。
(3) 任何为了符合中国民用航空局有关噪声规定要求而确定的限制、程序或其它数据。
(b) 经批准的资料 第25.1583条至第25.1587条所列适用于该飞机的飞行手册每一部分内容必须提供、证实和批准,并且必须单独编排,加以标识,将其同该手册中未经批准部分分开。
(c) 〔备用〕
(d) 根据手册的复杂程度,如有必要,飞机飞行手册必须有目录表。
〔中国民用航空总局1995年12月18日第二次修订〕
第25.1583条 使用限制
(a) 空速限制 必须提供下列空速限制和安全运行所必需的其它空速限制:
(1) 最大使用限制速度VMO/MMO,并需说明:“除经批准在试飞或驾驶员训练飞行中可使用更大的速度外,在任何飞行状态(爬升、巡航或下降)下,均不得故意超越该速度限制”;
(2) 如果空速限制取决于压缩性效应。则需提供对该效应的说明和资料(关于该效应的征兆、飞机可能出现的反应以及荐用的改出程序);
(3) 机动速度VA,并需说明:“方向舵和副翼操纵器件作全行程操纵,以及在使用接近失速的迎角作机动时,均应限制飞行速度低于此值”;
(4) 襟翼展态速度VFE以及与之相应的襟翼位置和发动机功率(推力);
(5) 起落架收放速度,以及按第25.1515(a)条解释这些速度的说明;
(6) 起落架伸态速度VLE(如大于VLO),并需说明:“该速度为起落架放下后飞机能安全飞行的最大速度”。
(b) 动力装置限制 必须提供下列资料:
(1) 第25.1521条和第25.1522条要求的限制;
(2) 对限制的解释(当需要时);
(3) 按第25.1549条至第25.1553条的要求对仪表作标记所必需的资料。
(c) 重量和载重分布 在飞机飞行手册中必须提供按第25.1519条所要求的重量和重心限制。所有下列资料必须列入飞机飞行手册内,或列入飞机飞行手册引用的单独的重量、平衡控制与装载文件内:
(1) 飞机的状态和根据第25.29条规定计入空重的项目;
(2) 必需的装载说明,以保证飞机装载在其重量和重心限制以内,并且在飞行中保持装载不超出此限制;
(3) 如果申请多个重心范围的合格审定,则必须提供相应于每个重心范围的重量和装载程序的限制。
(d) 飞行机组 必须提供按第25.1523条确定的最小飞行机组的人数及其职能。
(e) 运行类型 必须提供按第25.1525条经批准的运行类型。
(f) 周围大气温度和高度 必须提供按第25.1527条制定的周围大气温度和高度。
(g) [备用]
(h) 附加使用限制 必须提供按第25.1533条制定的使用限制。
(i) 机动飞行载荷系数 必须提供以加速度(g)表示的并证明结构符合要求的正机动限制载荷系数。
〔中国民用航空总局1995年12月18日第二次修订,交通运输部2016年3月17日第四次修订〕
第25.1585条 使用程序
(a) 必须提供以下使用程序:
(1) 针对具体型号或型别的关于例行运行的正常程序;
(2) 在发生故障和失效条件下使用特殊系统或正常系统的备用系统情况下的非正常程序;
(3) 对于可预见的非常情况下的紧急程序,此时飞行员采取及时准确的动作充分地减少灾难发生的危险。
(b) 不得包括与适航不直接相关的或者不受飞行机组控制的资料或程序,也不得包括作为基本飞行技术的程序。
(c) 必须提供判明燃油系统每种工作状态的资料,在此状态下为安全起见,燃油系统需按第25.953条规定独立供油,同时提供将燃油系统配置成用以表明符合该条要求的状态的说明。
(d) 必须提供按第25.251条确定的抖振包线。如果提供了计及不同重心位置影响的修正量,则所提出的抖振包线可反映巡航飞行中飞机正常装载的重心。
(e) 必须提供资料指明,平飞中燃油油量表读数为“零”时,不能在飞行中安全使用油箱中任何数量的余油。
(f) 必须提供关于每个燃油箱可用燃油总油量的资料。
〔交通运输部2016年3月17日第四次修订〕
第25.1587条 性能资料
(a) 如果采用非自由大气温度计来满足第25.1303(a)(1)条的要求,则飞机飞行手册必须含有可将指示温度换算成自由大气温度的资料。
(b) 飞机飞行手册必须含有在该飞机使用限制范围内按本部有关条款(包括第25.115条、第25.123条和第25.125条针对的各种重量、高度、温度、风分量和跑道坡度,如果有的话)算得的性能资料,并且必须列入以下内容:
(1) 在每一种情况下,各种功率、形态和速度等条件,以及对性能信息有实质影响的飞机和任何系统的操作程序。
(2) 按第25.103条确定的VSR。
(3) 下列性能资料(在最大着陆重量和最大起飞重量之间的范围内用外推法确定和算得):
(i) 以着陆形态爬升;
(ii) 以进场形态爬升;
(iii) 着陆距离。
(4) 按照第25.101条(f)和(g)制定的与第25.1533条和本条要求的各种限制和资料有关的程序。该程序必须具有指导性文件的形式,并包括任何有关的限制或资料。
(5) 飞机重要的或不寻常的飞行或地面操纵特性的解释。
(6) 空速、高度和外部大气温度显示值的修正。
(7) 包含在着陆距离说明中的对运行着陆跑道长度因素的解释(如适用)。
〔中国民用航空总局1995年12月18日第二次修订,交通运输部2016年3月17日第四次修订〕
H分部 电气线路互联系统(EWIS)
第25.1701条 定义
(a) 中国民用航空规章中所用的电气线路互联系统是指:任何导线、线路装置,或其组合,包括端点装置,安装于飞机的任何部位用于两个或多个端点之间传输电能(包括数据和信号)。这包括:
(1) 导线和电缆。
(2) 汇流条。
(3) 电气装置的端点,包括继电器、断路器、开关、接触器、接线块、跳开关和其他电路保护装置的端点。
(4) 插头,包括贯穿插头。
(5) 插头附件。
(6) 电气接地和搭铁装置及其相应的连接。
(7) 接线片。
(8) 给导线提供附加保护的材料,包括导线绝缘,导线套管,用于搭铁具有电气端点的导管。
(9) 屏蔽线和编织线。
(10) 卡箍或其他用于布线和固定导线束的装置。
(11) 电缆束缚装置。
(12) 标牌或其他识别措施。
(13) 压力封严。
(14)在支架、面板、设备架、连接盒、分配面板和设备架的背板内部的EWIS组件,包括但不限于电路板的背板、线路集成单元和设备外部线路。
(b) 除本条(a)(14)指明的设备外,下列设备内的EWIS部件,和该设备的外部插头不包括在本条(a)段的定义中:
(1) 经下列环境条件和试验程序合格鉴定的电子电气设备,
(i) 适合于预定功能和工作环境,和
(ii) 中国民用航空局适航部门所接受的。
(2) 不作为飞机型号设计一部分的便携式电气设备,包括个人娱乐设备和便携式计算机。
(3) 光纤。
〔交通运输部2016年3月17日第四次修订〕
第25.1703条 功能和安装:EWIS
(a) 飞机任何区域安装的每个EWIS部件必须:
(1) 与其预定功能的性质和设计相适应。
(2) 按照EWIS部件特定的限制进行安装。
(3) 完成其预定功能而不降低飞机的适航性。
(4) 设计和安装使机械应变最小化
(b) 导线的选择必须考虑与安装和应用相关的导线已知特性,以使导线损坏(包括任何电弧现象)的风险减至最低。
(c) 机身主电源电缆(包括发电机电缆)的设计和安装必须允许合理程度的变形和拉伸而不会失效。
(d) 在已知潮湿区域的EWIS部件必须受到保护,使潮湿引起的危险影响降至最低。
〔交通运输部2016年3月17日第四次修订〕
第25.1705条 系统和功能:EWIS
(a) 要求进行型号合格审定或者运行规章所要求的EWIS及相关的任何系统必须被视为该系统的一个组成部分,并且必须表明对该系统适用要求的符合性。
(b) 对于适用下列规章的系统,EWIS的部件及相关的这些系统必须被视为该系统的一个组成部分,并且必须表明对该系统适用要求的符合性。
(1) 第25.773条(b)(2) 驾驶舱视界
(2) 第25.981条 燃油箱点燃预防
(3) 第25.1165条 发动机点火系统
(4) 第25.1310条 电源容量和分配
(5) 第25.1316条 系统闪电防护
(6) 第25.1331条(a)(2) 使用电源的仪表
(7) 第25.1351条 总则
(8) 第25.1355条 配电系统
(9) 第25.1360条 预防伤害
(10) 第25.1362条 应急状态的供电
(11) 第25.1365条 电气设备,马达和变压器
(12) 第25.1431条(c)和(d) 电子设备
〔交通运输部2016年3月17日第四次修订〕
第25.1707条 系统分离:EWIS
(a) 每个EWIS的设计和安装必须与其他EWIS和飞机系统具有足够的物理分离,以使EWIS部件的失效不会产生危险状况。除非另有说明,本条的目的是通过分开一定的距离,或通过与分开距离等效的隔离保护来实现物理分离。
(b) 每个EWIS的设计和安装必须使任何在飞机上可能发生的电气干扰,不会对飞机或其系统造成危险影响。
(c) 承载大电流的电线和电缆(及其相关的EWIS部件),其设计和安装必须确保足够的物理分离和电气隔离,使得在故障情况下,对主要功能相关电路的损害最小。
(d) 与独立飞机电源或几个电源组合连接相关的每个EWIS的设计和安装必须确保足够的物理分离和电气隔离,使得任何一个飞机电源EWIS的故障不会对任何其他独立电源产生负面影响。此外:
(1) 飞机独立电源之间不得共用同一接地端。
(2) 飞机系统的静电接地不得与任何飞机独立电源共用同一接地端。
(e) 除非有必要对燃油系统部件提供电气连接,EWIS的设计和安装必须与燃油管路和其他燃油系统部件具有足够的物理分离,使得:
(1) EWIS部件的失效不会产生危险状况。
(2) 任何燃油渗漏至EWIS部件不会产生危险状况。
(f) 除非有必要对液压系统部件提供电气连接,EWIS的设计和安装必须与液压管路和其他液压系统部件具有足够的物理分离,使得:
(1) EWIS部件的失效不会产生危险状况。
(2) 任何液压油渗漏至EWIS部件不会产生危险状况。
(g) 除非有必要对氧气系统部件提供电气连接,EWIS的设计和安装必须与氧气管路和其他氧气系统部件具有足够的物理分离,使得EWIS部件的失效不会产生危险状况。
(h) 除非有必要对水/废水系统部件提供电气连接,EWIS的设计和安装必须与水/废水管路和其他水/废水系统部件具有足够的物理分离,使得:
(1) EWIS部件的失效不会产生危险状况。
(2) 任何水/废水渗漏至EWIS部件不会产生危险状况。
(i) EWIS的设计和安装必须与飞行或其他机械控制系统钢索和相关系统部件具有足够的物理分离,使得:
(1) 防止摩擦、卡阻或其他干扰。
(2) EWIS部件的失效不会产生危险状况。
(3) 任何飞行或其他机械控制系统钢索和相关系统部件的失效,不会损坏EWIS并产生危险状况。
(j) EWIS的设计和安装必须与加温设备、热空气管路具有足够的物理分离,使得:
(1) 任何EWIS部件的失效不会产生危险状况。
(2) 任何热空气渗漏或对EWIS部件产生的热量不会产生危险状况。
(k) 对于合格审定规章、运行规章或作为第25.1709条评估结果所要求具有冗余设计的系统,与这些系统相关的EWIS部件的设计和安装必须具有足够的物理分离。
(l) 每个EWIS的设计和安装必须使其与其他飞机部件和飞机结构具有足够的物理分离,保护EWIS避免锐利的边角,将潜在的磨损、振动损坏和其他类型的机械损伤降至最低。
〔交通运输部2016年3月17日第四次修订〕
第25.1709条 系统安全:EWIS
每个EWIS的设计和安装必须使得:
(a) 灾难性失效状态
(1) 是极不可能的,和
(2) 不会因单个失效而引起。
(b) 每个危险失效状况是极小的。
〔交通运输部2016年3月17日第四次修订〕
第25.1711条 部件识别:EWIS
(a) EWIS部件必须标注或用其他一致的方法识别EWIS部件、其功能、设计限制或其他内容。
(b) 对于合格审定规章、中国民用航空规章的营运要求或作为第25.1709条评估结果所要求具有冗余设计的系统,与这些系统相关的EWIS部件必须特别标明部件号、功能和导线束的分离要求。
(1) 标识必须沿导线、电缆、导线束,按适当的间隔,在飞机区域使机务、修理和改装人员容易看到。
(2) 如果无法在一个EWIS部件上标识,必须提供其他标识方法。
(c) 本条(a)和(b)段要求的识别标记,在EWIS部件整个预期使用寿命过程中,必须保持清晰易读。
(d) 用于本条要求的EWIS部件标识的方法,在EWIS部件整个预期使用寿命过程中,不会对其性能造成负面影响。
(e) 对型号设计进行EWIS改装的标识,必须与原先型号设计的标识方案相一致。
〔交通运输部2016年3月17日第四次修订〕
第25.1713条 防火:EWIS
(a) 所有EWIS部件必须符合第25.831(c)条适用的防烟防火要求。
(b) 位于指定火区和应急程序使用的EWIS部件必须是耐火的。
(c) 安装于飞机任何区域的电气导线和电缆的绝缘,以及对导线和电缆提供额外保护的材料,按本部附录F第I部分的适用部分进行测试,必须是自熄的。
〔交通运输部2016年3月17日第四次修订〕
第25.1715条 电气接地和防静电保护:EWIS
(a) 用于电气接地和防静电保护的EWIS部件必须符合第25.899条的要求。
(b) 对于具有接地电气系统的飞机,由EWIS部件提供的电气接地必须能够提供承载正常和故障电流的电气回路,而不对EWIS部件、其他飞机系统部件或飞机结构产生电冲击或损坏。
〔交通运输部2016年3月17日第四次修订〕
第25.1717条 电路保护装置:EWIS
电气导线和电缆的设计和安装,必须与第25.1357条要求的电路保护装置相兼容,使得在短时或连续故障状态下不会产生火警或烟雾的危险。
〔交通运输部2016年3月17日第四次修订〕
第25.1719条 可达性规定:EWIS
任何EWIS部件必须可以接近,以对其进行持续适航所需的检查和更换。
〔交通运输部2016年3月17日第四次修订〕
第25.1721条 EWIS的保护
(a) 任何货舱或行李舱不得含有任何其损坏或失效会影响安全运行的EWIS,除非EWIS得到保护使其:
(1) 不会由于舱内货物或行李的移动而损坏。
(2) 损坏或失效不会产生着火危险。
(b) EWIS的设计和安装必须使其在所有飞行阶段、维护和勤务过程中,由于机内人员的移动造成EWIS损坏或损坏的风险降至最低。
(c) EWIS的设计和安装必须使其由于旅客或客舱机组所带物品造成EWIS损坏或损坏的风险降至最低。
〔交通运输部2016年3月17日第四次修订〕
第25.1723条 可燃液体防火:EWIS
由于流体系统渗漏可能引起可燃液体或蒸气溢出,位于这些区域的EWIS部件必须被视为潜在的点火源,并且必须满足第25.863条的要求。
〔交通运输部2016年3月17日第四次修订〕
第25.1725条 动力装置:EWIS
(a) 按第25.903(b)条要求,与任何动力装置相关的EWIS的设计和安装,必须使得一个EWIS部件的失效不会阻止剩余动力装置的持续安全运行,或需要任何机组成员立即采取动作以保证继续安全运行。
(b) 按第25.903(d)(1)条要求,必须采取设计预防措施,能在一旦发动机转子损坏或发动机内起火烧穿发动机机匣时,由于EWIS损坏对飞机的危害减至最小。
〔交通运输部2016年3月17日第四次修订〕
第25.1727条 可燃液体切断措施:EWIS
按25.1189条的要求,与每个可燃液体切断措施和控制相关的EWIS必须是防火的,或必须安置和防护得使火区内的任何着火不会影响可燃液体切断工作。
〔交通运输部2016年3月17日第四次修订〕
第25.1729条 持续适航文件:EWIS
申请人必须按照本部附录H,第H25.4和H25.5条的要求,编制适用于EWIS的持续适航文件,并由局方批准。
〔交通运输部2016年3月17日第四次修订〕
第25.1731条 动力装置和APU火警探测系统:EWIS
(a) 作为火区内每个火警或过热探测系统一部分的EWIS必须是耐火的。
(b) 任何火区的火警或过热探测系统的EWIS部件不得穿过另一火区,但具备下列条件之一者除外:
(1) 能够防止由于所穿过的火区着火而发生假火警的可能性;
(2) 所涉及的火区是由同一探测器和灭火系统同时进行防护的。
(c) 作为火区内每个火警或过热探测系统一部分的EWIS必须满足第25.1203条的要求。
〔交通运输部2016年3月17日第四次修订〕
第25.1733条 火警探测系统,总则:EWIS
与任何安装的火警保护系统相关的EWIS,包括第25.854和25.858条所要求的,必须被视为该系统的一个组成部分,并且必须表明对该系统适用要求的符合性。
〔交通运输部2016年3月17日第四次修订〕
I分部 附 则
第25.2001条 施行时间
本规章自2016年4月17日起施行。

无障碍通道


粤公网安备 44049202000001 号

